2-氨基-5-氯-4-甲基苯磺酸
【用途一】
用作染料金光红C的中间体
用作染料金光红C的中间体
【用途二】
染料中间体,用于生产大红色淀C立索尔大红2G等。
染料中间体,用于生产大红色淀C立索尔大红2G等。
产品名称
-
中文名5-氨基-2-氯甲苯-5-磺酸
-
英文名2-Amino-5-chloro-4-methylbenzenesulfonic acid
-
中文别名2-胺-5-氯-4-甲苯磺酸 | 4-氯间甲苯胺-6-磺酸 | 3-氨基-6-氯甲苯-4-磺酸 | 5-氨基-2-氯甲苯-4-磺酸 | 6-氯间-甲苯胺-4-磺酸 | 2-氨基-5-氯-4-甲基苯磺酸 | 2-氨基-5-氯对甲苯磺酸 | CLT酸 | 3-氨基-4-磺酸-6-氯甲苯 | 6-氯-3-氨基甲苯-4-磺酸
-
英文别名
2-AMINO-4-METHYL-5-CHLOROBENZENESULFONIC ACID 2-AMINO-5-CHLOROTOLUENE-4-SULFONIC ACID EINECS 205-020-5 2-AMINO-5-CHLOROTOLUENE-4-SULPHONIC ACID 2-Amino-5-chloro-4-methylbenzenesulfonic acid 5-AMINO-2-CHLOROTOLUENE-4-SULFONICACID MFCD00043924 2-AMINO-5-CHLORO-P-TOLUENESULFONIC ACID CLT ACID -
常用名2-氨基-5-氯-4-甲基苯磺酸
-
C A S号88-53-9
物理性质
-
密度1.553 g/cm3
-
沸点394ºC
-
熔点109ºC
-
化学式C7H8ClNO3S
-
结构式
1、 摩尔折射率:50.17
2、 摩尔体积(cm3/mol):142.7
3、 等张比容(90.2K):403.6
4、 表面张力(dyne/cm):63.9
5、 极化率(10-24cm3):19.88
-
闪点N/A
-
分子量221.66100
-
精确质量220.99100
-
P S A88.77000
-
外观形状白色至淡微红的粉末
-
储存条件
本品应密封阴凉干燥保存。
采用内衬塑料袋的木桶或铁桶包装。贮存于阴凉、通风、干燥处,防热、防潮。按有毒化学品规定贮运。
-
稳定性
-
水溶解性
-
形态白色结晶
-
H L B值
-
粘度
-
PH值
作用/用途
【用途一】
用作染料金光红C的中间体
用作染料金光红C的中间体
【用途二】
染料中间体,用于生产大红色淀C立索尔大红2G等。
染料中间体,用于生产大红色淀C立索尔大红2G等。
制备方法
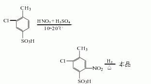
将3-氯-4-甲苯磺酸在30℃以下用硝酸进行硝化,反应3h后用100℃的饱和食盐水盐析,得到2-硝基-5-氯对甲苯磺酸:将2-硝基-5-氯对甲苯磺酸加入水中,加乙酸和铁粉,在沸腾条件下还原。将反应滤去铁粉,加盐酸使滤液呈酸性结晶出2-氨基-5-氯对甲苯磺酸。
安全提醒
MSDS
|
模块1. 化学品 1.1 产品标识符 : 5-Amino-2-chlorotoluene-4-sulphonic acid 产品名称 1.2 鉴别的其他方法 无数据资料
1.3 有关的确定了的物质或混合物的用途和建议不适合的用途
仅用于研发。不作为药品、家庭或其它用途。 模块2. 危险性概述 2.1 GHS-分类 急性毒性, 经口 (类别 5) 皮肤腐蚀 (类别 1B) 严重眼睛损伤 (类别 1) 2.2 GHS 标记要素,包括预防性的陈述 象形图 警示词危险 危险申明 H303吞咽可能有害。 H314造成严重皮肤灼伤和眼损伤。 警告申明 预防措施 P260不要吸入粉尘或烟雾。 P264操作后彻底清洁皮肤。 P280戴防护手套/穿防护服/戴护目镜/戴面罩. 事故响应 P301 + P330 + P331如果吞咽:漱口,不要催吐。 P303 + P361 + P353如果皮肤(或头发)接触:立即除去/脱掉所有沾污的衣物,用水清洗皮肤/淋 浴。 P304 + P340如吸入: 将患者移到新鲜空气处休息,并保持呼吸舒畅的姿势。 P305 + P351 + P338如与眼睛接触,用水缓慢温和地冲洗几分钟。如戴隐形眼镜并可方便地取 出,取出隐形眼镜,然后继续冲洗. P310立即呼叫中毒控制中心或医生. P321具体处置(见本标签上提供的急救指导)。 P363沾污的衣服清洗后方可再用。 安全储存 P405存放处须加锁。 废弃处置 P501将内容物/ 容器处理到得到批准的废物处理厂。 2.3 其它危害物 - 无 模块3. 成分/组成信息 3.1 物 质 : C7H8ClNO3S 分子式 : 221.66 g/mol 分子量 组分浓度或浓度范围 5-Amino-2-chlorotoluene-4-sulphonic acid <=100% 化学文摘登记号(CAS 88-53-9 No.) 201-839-7 EC-编号 模块4. 急救措施 4.1 必要的急救措施描述 一般的建议 请教医生。 向到现场的医生出示此安全技术说明书。 吸入 如果吸入,请将患者移到新鲜空气处。 如呼吸停止,进行人工呼吸。 请教医生。 皮肤接触 立即脱掉被污染的衣服和鞋。 用肥皂和大量的水冲洗。 请教医生。 眼睛接触 用大量水彻底冲洗至少15分钟并请教医生。 食入 禁止催吐。 切勿给失去知觉者通过口喂任何东西。 用水漱口。 请教医生。 4.2 主要症状和影响,急性和迟发效应 咳嗽, 呼吸短促, 头痛, 恶心, 呕吐 4.3 及时的医疗处理和所需的特殊处理的说明和指示 无数据资料 模块5. 消防措施 5.1 灭火介质 灭火方法及灭火剂 用水雾,抗乙醇泡沫,干粉或二氧化碳灭火。 5.2 源于此物质或混合物的特别的危害 碳氧化物, 氮氧化物, 硫氧化物, 氯化氢气体 5.3 给消防员的建议 如必要的话,戴自给式呼吸器去救火。 5.4 进一步信息 无数据资料 模块6. 泄露应急处理 6.1 作业人员防护措施、防护装备和应急处置程序 使用个人防护用品。 避免粉尘生成。 避免吸入蒸气、烟雾或气体。 保证充分的通风。 人员疏散到安全区域。 避免吸入粉尘。 6.2 环境保护措施 不要让产品进入下水道。 6.3 泄漏化学品的收容、清除方法及所使用的处置材料 收集和处置时不要产生粉尘。 扫掉和铲掉。 放入合适的封闭的容器中待处理。 6.4 参考其他部分 丢弃处理请参阅第13节。 模块7. 操作处置与储存 7.1 安全操作的注意事项 避免形成粉尘和气溶胶。 在有粉尘生成的地方,提供合适的排风设备。 7.2 安全储存的条件,包括任何不兼容性 贮存在阴凉处。 使容器保持密闭,储存在干燥通风处。 吸湿的. 7.3 特定用途 无数据资料 模块8. 接触控制和个体防护 8.1 容许浓度 最高容许浓度 没有已知的国家规定的暴露极限。 8.2 暴露控制 适当的技术控制 根据良好的工业卫生和安全规范进行操作。 休息前和工作结束时洗手。 个体防护设备 眼/面保护 面罩與安全眼鏡请使用经官方标准如NIOSH (美国) 或 EN 166(欧盟) 检测与批准的设备防护眼部。 皮肤保护 戴手套取 手套在使用前必须受检查。 请使用合适的方法脱除手套(不要接触手套外部表面),避免任何皮肤部位接触此产品. 使用后请将被污染过的手套根据相关法律法规和有效的实验室规章程序谨慎处理. 请清洗并吹干双手 所选择的保护手套必须符合EU的89/686/EEC规定和从它衍生出来的EN 376标准。 身体保护 全套防化学试剂工作服, 防护设备的类型必须根据特定工作场所中的危险物的浓度和数量来选择。 呼吸系统防护 如危险性评测显示需要使用空气净化的防毒面具,请使用全面罩式多功能微粒防毒面具N100型(US )或P3型(EN 143)防毒面具筒作为工程控制的候补。如果防毒面具是保护的唯一方式,则使用全面罩式送风防毒 面具。 呼吸器使用经过测试并通过政府标准如NIOSH(US)或CEN(EU)的呼吸器和零件。 模块9. 理化特性 9.1 基本的理化特性的信息 a) 外观与性状 形状: 固体 b) 气味 无数据资料 c) 气味阈值 无数据资料 d) pH值 无数据资料 e) 熔点/凝固点 熔点/凝固点: > 305 °C f) 沸点、初沸点和沸程 > 400 °C 在 1,013 hPa g) 闪点 无数据资料 h) 蒸发速率 无数据资料 i) 易燃性(固体,气体) 无数据资料 j) 高的/低的燃烧性或爆炸性限度 无数据资料 k) 蒸气压 无数据资料 l) 蒸汽密度 无数据资料 m) 密度/相对密度 无数据资料 n) 水溶性 无数据资料 o) n-辛醇/水分配系数 辛醇--水的分配系数的对数值: -1.355 p) 自燃温度 无数据资料 q) 分解温度 无数据资料 r) 粘度 无数据资料 模块10. 稳定性和反应活性 10.1 反应性 无数据资料 10.2 稳定性 无数据资料 10.3 危险反应 无数据资料 10.4 应避免的条件 避潮。 10.5 不相容的物质 强氧化剂, 强碱 10.6 危险的分解产物 其它分解产物 - 无数据资料 模块11. 毒理学资料 11.1 毒理学影响的信息 急性毒性 皮肤刺激或腐蚀 无数据资料 眼睛刺激或腐蚀 无数据资料 呼吸道或皮肤过敏 无数据资料 生殖细胞致突变性 无数据资料 致癌性 IARC: 此产品中没有大于或等于 0。1%含量的组分被 IARC鉴别为可能的或肯定的人类致癌物。 生殖毒性 无数据资料 特异性靶器官系统毒性(一次接触) 无数据资料 特异性靶器官系统毒性(反复接触) 无数据资料 吸入危险 无数据资料 潜在的健康影响 吸入吸入可能有害。 该物质对组织、粘膜和上呼吸道破坏力强 摄入如服入是有害的。 引致灼伤。 皮肤通过皮肤吸收可能有害。 引起皮肤灼伤。 眼睛引起眼睛灼伤。 接触后的征兆和症状 咳嗽, 呼吸短促, 头痛, 恶心, 呕吐 附加说明 化学物质毒性作用登记: DB4807000 模块12. 生态学资料 12.1 生态毒性 无数据资料 12.2 持久性和降解性 无数据资料 12.3 潜在的生物累积性 无数据资料 12.4 土壤中的迁移性 无数据资料 12.5 PBT 和 vPvB的结果评价 无数据资料 12.6 其它不良影响 无数据资料 模块13. 废弃处置 13.1 废物处理方法 产品 将剩余的和不可回收的溶液交给有许可证的公司处理。 与易燃溶剂相溶或者相混合,在备有燃烧后处理和洗刷作用的化学焚化炉中燃烧 受污染的容器和包装 按未用产品处置。 模块14. 运输信息 14.1 联合国危险货物编号 欧洲陆运危规: 2585国际海运危规: 2585国际空运危规: 2585 14.2 联合国运输名称 欧洲陆运危规: ARYLSULPHONIC ACID, SOLID 国际海运危规: ARYLSULPHONIC ACIDS, SOLID 国际空运危规: Arylsulphonic acids, solid 14.3 运输危险类别 欧洲陆运危规: 8国际海运危规: 8国际空运危规: 8 14.4 包裹组 欧洲陆运危规: III国际海运危规: III国际空运危规: III 14.5 环境危险 欧洲陆运危规: 否国际海运危规国际空运危规: 否 海洋污染物(是/否): 否 14.6 对使用者的特别提醒 无数据资料 模块 15 - 法规信息 N/A 模块16 - 其他信息 N/A |
原料简介
应用范围
毒性和生态
安全信息
| 危害码 (欧洲) | Xi |
|---|---|
| 风险声明 (欧洲) | R36/37/38 |
| 安全声明 (欧洲) | S26-S36/37/39 |
| 海关编码 | 2921430090 |
是否危险品
危险性
危险类别码
危险等级
触发危险方式
安全技术说明书
环境影响程度
包装与储运
相关供应商

搜索








