4-硝基苯酚
用作染料中间体、医药及农药的原料
用作酸碱指示剂和分析试剂,也用于有机合成
【用途三】
用作染料、医药及农药的中间体,也用作酸碱指示剂
【用途四】
用作皮革防腐剂。
【用途五】
对硝基苯酚是一种重要的有机合成原料,可作为有机磷杀虫剂对硫磷、甲基对硫磷的中间体,也可用于合成氟铃脲的中间体 2,6-二氯-4-硝基酚和杀铃脲的中间体 4-三氟甲氧基硝基苯。此外,它还是医药工业和染料工业的重要中间体。
【用途六】
用作农药、医药、染料等精细化学品的中间体。用于制造非那西丁、扑热息痛、农药1605、显影剂米妥尔、硫化草绿GN、硫化还原黑CL、硫化还原黑CLB、硫化还原蓝RNX、硫化红棕B3R。也用作皮革防霉剂以及酸值指示剂。
【用途七】
酸碱指示剂,pH5.6(无色)-7.6(黄色),有机合成。
【用途八】
用于染料制造,药物制造及用作试剂。校准仪器和装置;评价方法;工作标准;质量保证/质量控制;其他。
【用途九】
用于染料制造,药物制造及用作试剂。用于ICP-AES、AAS、AFS、ICP-MS、离子色谱等。滴定分析用标准溶液。
-
中文名4-硝基苯酚
-
英文名4-Nitrophenol
-
中文别名对硝基苯酚
-
英文别名
4-Nitrophenol p-nitrophenol PNP EINECS 202-811-7 p-nitro-Phenol paranitrophenol MFCD00007331 1-Hydroxy-4-nitrobenzene para-Nitrophenol Phenol, 4-nitro- Sorafenib Impurity 21 -
常用名4-硝基苯酚
-
C A S号100-02-7
-
密度1.4±0.1 g/cm3
-
沸点279.0±0.0 °C at 760 mmHg
-
熔点112 °C
-
化学式C6H5NO3
-
结构式
1、摩尔折射率:34.67
2、摩尔体积(cm3/mol):99.7
3、等张比容(90.2K):277.7
4、表面张力(dyne/cm):60.2
5、介电常数:
6、偶极距(10-24cm3):
7、极化率:13.74
-
闪点169 ºC
-
分子量139.109
-
精确质量139.026947
-
P S A66.05000
-
外观形状黄色至棕色晶体
-
储存条件
1.储存注意事项 储存于阴凉、通风的库房。远离火种、热源。包装密封。应与氧化剂、还原剂、碱类、食用化学品分开存放,切忌混储。采用防爆型照明、通风设施。禁止使用易产生火花的机械设备和工具。储区应备有合适的材料收容泄漏物。
2.用复合编织袋内衬聚乙烯避光袋包装,每袋净重50kg或100kg。应存放于阴凉、通风、干燥的库房中。远离火种,不得和食品添加剂共贮混运。
-
稳定性
-
水溶解性
-
形态
-
H L B值
-
粘度
-
PH值
用作染料中间体、医药及农药的原料
用作酸碱指示剂和分析试剂,也用于有机合成
【用途三】
用作染料、医药及农药的中间体,也用作酸碱指示剂
【用途四】
用作皮革防腐剂。
【用途五】
对硝基苯酚是一种重要的有机合成原料,可作为有机磷杀虫剂对硫磷、甲基对硫磷的中间体,也可用于合成氟铃脲的中间体 2,6-二氯-4-硝基酚和杀铃脲的中间体 4-三氟甲氧基硝基苯。此外,它还是医药工业和染料工业的重要中间体。
【用途六】
用作农药、医药、染料等精细化学品的中间体。用于制造非那西丁、扑热息痛、农药1605、显影剂米妥尔、硫化草绿GN、硫化还原黑CL、硫化还原黑CLB、硫化还原蓝RNX、硫化红棕B3R。也用作皮革防霉剂以及酸值指示剂。
【用途七】
酸碱指示剂,pH5.6(无色)-7.6(黄色),有机合成。
【用途八】
用于染料制造,药物制造及用作试剂。校准仪器和装置;评价方法;工作标准;质量保证/质量控制;其他。
【用途九】
用于染料制造,药物制造及用作试剂。用于ICP-AES、AAS、AFS、ICP-MS、离子色谱等。滴定分析用标准溶液。
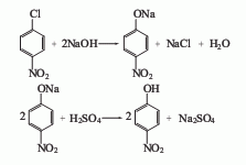
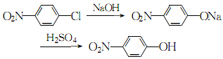
1.制备方法为对硝基氯苯水解酸化得到对硝基苯酚。
将浓度为 137~140 g/L 的氢氧化钠溶液加入水解釜中,再加入熔融的对硝基氯苯。加热至 152℃,釜内压力为 0.4 MPa,然后停止加热,水解反应放热使温度和压力自然上升到165℃,约 0.6 MPa。保持 3h 后取样检查反应终点,反应结束后将水解产物冷至 120℃。将该水解产物和一定量的浓硫酸及水加入结晶釜内,并冷却到 50℃ 左右。再加浓硫酸使刚果红试纸呈紫色,继续冷至 30℃,抽滤,离心除水,即得到含量为 90%以上的对硝基苯酚。
2.由苯酚经硝化成邻硝基苯酚和对硝基苯酚,再经蒸气蒸馏分出邻硝基苯酚后而制得,也可由对氯硝基苯经水解而成。
3.将熔融的对硝基氯苯和13%左右的氢氧化钠以1∶ 4.5的配比加到压力水解釜中,边搅拌边加热至150℃,压力达到0.4MPa ,停止加热,温度压力将继续上升至165℃和0.6MPa,保温3h以上检查反应终点:
反应结束后,将水解产物冷至120℃,压到事先配制好的13%的硫酸溶液中,并冷到50℃左右。搅拌下慢慢加入浓硫酸使刚果红试纸呈紫色,继续冷至30℃,过滤,离心甩干。用少量冷水洗涤结晶至合格,甩干后干燥即得对硝基苯酚。
2.对环境的影响: 一、健康危害 侵入途径:吸入、食入、经皮吸收。 健康危害:本品对皮肤有强烈刺激作用。能经皮肤和呼吸道吸收。动物实验可引起高铁血红蛋白血症,体温升高,肝肾损害。 二、毒理学资料及环境行为 急性毒性:LD
50250mg/kg(大鼠经口);467mg/kg(小鼠经口)
致突变性:DMA损伤:大肠杆菌50umlo/L。DNA抑制:人成纤维细胞1mmol/L。 污染来源:生产对硝基苯酚的有机化工厂和石油化工厂可能会产生对硝基苯酚的污染。农药、染料及其它化学品合成企业也常使用对硝基苯酚。在以上行业的生产过程及在对硝基苯酚的储运过程中都有可能由于意外事故而污染环境。 对生物防解的影响:水中浓度20mg/L时,荧光假单孢菌对葡萄糖的降解受到抑制。浓度100mg/L时,大肠杆菌对葡萄糖降解受到抑制。 危险特性:遇高热、明火或与氧化剂接触,有引起燃烧的危险。受热分解放出有毒的氧化氮烟气。 燃烧(分解)产物:一氧化碳、二氧化碳、氧化氮。 3.现场应急监测方法: 快速检测管法;便携式气相色谱法《突发性环境污染事故应急监测与处理处置技术》万本太主编 直接进水样气相色谱法 4.实验室监测方法: 气相色谱法《城市和工业废水中有机化合物分析》王克欧等编 气相色谱法;色谱/质谱法《固体废弃物试验分析评价手册》中国环境监测总站等译 色谱/质谱法《水和废水标准检验法》19版译文,江苏省环境监测中心 5.环境标准:
6.应急处理处置方法: 一、泄漏应急处理 隔离泄漏污染区,周围设警告标志,建议应急处理人员戴好防毒面具,穿化学防护服。不要直接接触泄漏物,用沙土、干燥石灰或苏打灰混合,用清洁的铲子收集于干燥净洁有盖的容器中,运至废物处理场所。也可以用大量水冲洗,经稀释的洗水放入废水系统。如大量泄漏,收集回收或无害处理后废弃。 ⑴水体被污染的情况主要有:水体沿岸上游污染源的事故排放;陆地事故(如交通运输过程中的翻车事故)发生后经土壤流入水体,也有槽罐直接翻入路边水体的情况。可按以下方法处理: ①查明水体沿岸排放废水的污染源,阻止其继续向水体排污。 ②如果是液体4-硝基(苯)酚的槽车发生交通事故,应设法堵住裂缝,或迅速筑一道土堤拦住液流;如果是在平地,应围绕泄漏地区筑隔离堤;如果泄漏发生在斜坡上,则可沿污染物流动路线,在斜坡的下方筑拦液堤。在某些情况下,在液体流动的下方迅速挖一个坑也可以达到阻载泄漏的污染物的同样效果。 ③在拦液堤或拦液坑内收集到的液体须尽快移到安全密封的容器内操作时采取必要的安全保护措施。 ④已进入水体中的液体或固体4-硝基(苯)酚处理较困难,通常采用适当措施将被污染水体与其它水体隔离之手段,如可在较小的河流上筑坝将其拦住,将被污染的水抽排到其它水体或污水处理厂。 ⑵土壤污染的主要情况有各种高浓度废水(包括液体4-硝基(苯)酚)直接污染土壤,固体4-硝基(苯)酚由于事故倾洒在土壤中。 ①固体4-硝基(苯)酚污染土壤的处理方法较为简单,使用简单工具将其收集至容器中,视情况决定是否要将表层土剥离作焚烧处理。 ②液体4-硝基(苯)酚污染土壤时,应迅速设法制止其流动,包括筑堤、挖坑等措施,以防止污染面扩大或进一步污染水体。 ③最为广泛应用的方法是使用机械清除被污染土壤并在安全区进行处置,如焚烧。 ④如环境不允许大量挖掘和清除土壤时,可使用物理、化学和生物方法消除污染。如对地表乾封闭处理;地下水位高的地方采用注水法使水位上升,收集从地表溢出的水;让土壤保持休闲或通过翻耕以促进苯酚蒸发的自然降解法等等。 废弃物处置方法:用控制焚烧法。要保证充分燃烧,焚烧大量的废料时,焚烧炉排出的氮氧化物要通过洗涤器除去。从废水中回收硝基酚。 二、防护措施 呼吸系统防护:空气中浓度较低高时,佩带防毒面具。紧急事态抢救或逃生时,应该佩带自给式呼吸器。 眼睛防护:戴安全防护眼镜。 防护服:穿紧袖工作服,长统胶鞋。 手防护:戴橡皮手套。 其它:工作现场禁止吸烟、进食和饮水。及时换洗工作服。工作前后不饮酒,用温水洗澡,进行就业前和定期体检。 三、急救措施 皮肤接触:立即脱去污染的衣着,用肥皂水及清水彻底冲洗。 眼睛接触:立即提起眼睑,用大量流动清水或生理盐水冲洗。 吸入:迅速脱 离现场至空气新鲜处。必要时进行人工呼吸。就医。 食入:患者清醒时立即给饮植物油15~30ml。催吐,尽快彻底洗胃。就医。 灭火方法:雾状水、泡沫、二氧化碳、二粉、砂土。 |
| 符号 |
GHS06, GHS08 |
|---|---|
| 信号词 | Danger |
| 危害声明 | H301-H312 + H332-H373 |
| 警示性声明 | P261-P301 + P310 + P330-P302 + P352 + P312-P304 + P340 + P312 |
| 个人防护装备 | Eyeshields;Gloves;half-mask respirator (US);multi-purpose combination respirator cartridge (US) |
| 危害码 (欧洲) | Xn:Harmful |
| 风险声明 (欧洲) | R20/21/22;R33 |
| 安全声明 (欧洲) | S28-S28A-S45-S36/37-S16-S7 |
| 危险品运输编码 | UN 1663 6.1/PG 3 |
| WGK德国 | 2 |
| RTECS号 | SM2275000 |
| 包装等级 | III |
| 危险类别 | 6.1 |
| 海关编码 | 2908991010 |

搜索








