4-氯-3,5-二硝基三氟甲苯
【用途一】
用作有机合成中间体
用作有机合成中间体
【用途二】
3,5-二硝基-4-氯三氟甲苯是植物生长调节剂氟节胺和除草剂氟乐灵的中间体。
【用途三】
本品主要用于生产农药,是旱田除草剂氟乐灵的中间体,该药是优良的旱田除草剂。本品也是医药、染料的重要中间体。
3,5-二硝基-4-氯三氟甲苯是植物生长调节剂氟节胺和除草剂氟乐灵的中间体。
【用途三】
本品主要用于生产农药,是旱田除草剂氟乐灵的中间体,该药是优良的旱田除草剂。本品也是医药、染料的重要中间体。
产品名称
-
中文名4-氯-3,5-二硝基三氟甲苯
-
英文名3,5-Dinitro-4-chlorobenzotrifluoride
-
中文别名3,5-二硝基三氟甲基苯 | 4-氯-3,5-二硝基三氟甲基苯 | 3,5-二硝基-4-氯三氟甲苯 | 1,3-二硝基-2-氯-5-三氟甲基苯 | 4-氯-3,5-二硝基苯并三氟
-
英文别名
Benzene, 2-chloro-1,3-dinitro-5-(trifluoromethyl)- 4-chloro-3,5-dinitro-benzotrifluorid 2-chloro-1,3-dinitro-5-trifluoromethylbenzene 2,6-dinitro-4-trifluoromethyl-1-chlorobenzene 2-Chloro-1,3-dinitro-5-(trifluoromethyl)benzene 5-dinitrobenzotrifluoride 1,3-dinitro-2-chloro-5-trifluoromethylbenzene 1,3-Dinitro-2-chloro EINECS 206-889-3 MFCD00007068 4-Chloro-3,5-dinitrobenzotrifluoride 2,6-dinitro-4-trifluoromethyl-chlorobenzene Toluene, 4-chloro-α,α,α-trifluoro-3,5-dinitro- 4-trifluoromethyl-2,6-dinitrochlorobenzene CDNT,DNT-Cl DNT-CL Chloralin CDNT CDNT DNT-Cl 4-chloro-3,5-dinitrotrifluoromethylbenzene 3,5-dinitro-4-chloro-α,α,α-trifluorotoluene 4-chloro-3,5-di 3,5-Dinitro-4-chlorobenzotrifluoride Benzene, 2-chloro-1,3-dinitro-5- (trifluoromethyl)- -
常用名4-氯-3,5-二硝基三氟甲苯
-
C A S号393-75-9
物理性质
-
密度1.7±0.1 g/cm3
-
沸点278.6±35.0 °C at 760 mmHg
-
熔点50-55 °C(lit.)
-
化学式C7H2ClF3N2O4
-
结构式
1、 摩尔折射率:49.21
2、 摩尔体积(cm3/mol):158.5
3、 等张比容(90.2K):411.3
4、 表面张力(dyne/cm):45.2
5、 极化率(10-24cm3):19.51
-
闪点122.3±25.9 °C
-
分子量270.550
-
精确质量269.965515
-
P S A91.64000
-
外观形状本品为淡黄色固体,m.p.56~58℃,相对密度 1.6085,溶于苯、甲苯等有机溶剂。
-
储存条件
-
稳定性
-
水溶解性
-
形态
-
H L B值
-
粘度
-
PH值
作用/用途
【用途一】
用作有机合成中间体
用作有机合成中间体
【用途二】
3,5-二硝基-4-氯三氟甲苯是植物生长调节剂氟节胺和除草剂氟乐灵的中间体。
【用途三】
本品主要用于生产农药,是旱田除草剂氟乐灵的中间体,该药是优良的旱田除草剂。本品也是医药、染料的重要中间体。
3,5-二硝基-4-氯三氟甲苯是植物生长调节剂氟节胺和除草剂氟乐灵的中间体。
【用途三】
本品主要用于生产农药,是旱田除草剂氟乐灵的中间体,该药是优良的旱田除草剂。本品也是医药、染料的重要中间体。
制备方法
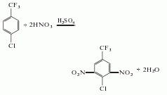
以对氯三氟甲基苯为原料,经一硝化制得4-氯-3-硝基三氟甲基苯,再经二硝化制得产品。
原料消耗定额:对氯三氟甲基苯780kg/t;硝酸1000kg/t;硫酸4500kg/t。
安全提醒
MSDS
|
4-氯-3,5-二硝基三氟甲苯
修改号码:5
模块1. 化学品 产品名称: 4-Chloro-3,5-dinitrobenzotrifluoride 修改号码: 5 模块2. 危险性概述 GHS分类 物理性危害未分类
健康危害 急性毒性(经口) 第4级 急性毒性(经皮) 第2级 皮肤腐蚀/刺激 第2级 严重损伤/刺激眼睛 2A类 环境危害未分类 GHS标签元素 图标或危害标志 信号词危险 危险描述吞咽有害。 皮肤接触致命 造成皮肤刺激 造成严重眼刺激 防范说明 [预防]切勿碰到眼睛,皮肤或衣服。 使用本产品时切勿吃东西,喝水或吸烟。 处理后要彻底清洗双手。 穿戴防护手套/护目镜/防护面具。 4-氯-3,5-二硝基三氟甲苯 修改号码:5 模块2. 危险性概述 [急救措施] 食入:若感不适,呼叫解毒中心/医生。漱口。 眼睛接触:用水小心清洗几分钟。如果方便,易操作,摘除隐形眼镜。继续冲洗。 眼睛接触:求医/就诊 皮肤接触:用大量肥皂和水轻轻洗。 若皮肤刺激:求医/就诊。 立即去除/脱掉所有被污染的衣物。 被污染的衣物清洗后方可重新使用。 立即呼叫解毒中心/医生。 [储存]存放处须加锁。 [废弃处置] 根据当地政府规定把物品/容器交与工业废弃处理机构。 模块3. 成分/组成信息 单一物质/混和物单一物质 化学名(中文名): 4-氯-3,5-二硝基三氟甲苯 百分比: >97.0%(GC) CAS编码: 393-75-9 俗名: 2-Chloro-1,3-dinitro-5-(trifluoromethyl)benzene 分子式: C7H2ClF3N2O4 模块4. 急救措施 吸入: 将受害者移到新鲜空气处,保持呼吸通畅,休息。立即呼叫解毒中心/医生。 皮肤接触: 立即去除/脱掉所有被污染的衣物。用大量肥皂和水轻轻洗。 立即呼叫解毒中心/医生。 眼睛接触:用水小心清洗几分钟。如果方便,易操作,摘除隐形眼镜。继续清洗。 立即呼叫解毒中心/医生。 食入: 若感不适,呼叫解毒中心/医生。漱口。 紧急救助者的防护:救援者需要穿戴个人防护用品,比如橡胶手套和气密性护目镜。 模块5. 消防措施 合适的灭火剂:干粉,泡沫,雾状水,二氧化碳 特殊危险性:一旦发生火警,有爆炸的危险。由于爆炸的危险,远距离灭火。 小心,燃烧或高温下可能分解产生毒烟。 特定方法:从上风处灭火,根据周围环境选择合适的灭火方法。 非相关人员应该撤离至安全地方。 周围一旦着火:喷水,保持容器冷却。如果安全,消除一切火源。 消防员的特殊防护用具:灭火时,一定要穿戴个人防护用品。 模块6. 泄漏应急处理 个人防护措施,防护用具, 使用特殊的个人防护用品(针对有毒颗粒的P3过滤式空气呼吸器)。远离溢出物/泄露 紧急措施:处并处在上风处。 泄露区应该用安全带等圈起来,控制非相关人员进入。 环保措施:防止进入下水道。 控制和清洗的方法和材料:清扫收集粉尘,封入密闭容器。注意切勿分散。附着物或收集物应该立即根据合适的 法律法规处置。 模块7. 操作处置与储存 处理 4-氯-3,5-二硝基三氟甲苯 修改号码:5 模块7. 操作处置与储存 技术措施:在通风良好处进行处理。穿戴合适的防护用具。切勿引起泄漏、溢出或分散。切勿产 生不必要的蒸气。远离热源/火花/明火/热表面。禁烟。采取措施防止静电积累。使用 防爆设备。避免冲击和摩擦。处理后彻底清洗双手和脸。 注意事项:如果可能,使用封闭系统。如果粉尘或浮质产生,使用局部排气。 操作处置注意事项:避免接触皮肤、眼睛和衣物。 贮存 储存条件:保持容器密闭。存放于凉爽、阴暗处。 存放处须加锁。 确保容器不会受到未测影响,比如跌落或脱落。 远离不相容的材料比如氧化剂存放。 包装材料:依据法律。 模块8. 接触控制和个体防护 工程控制:尽可能安装封闭体系或局部排风系统。同时安装淋浴器和洗眼器。 个人防护用品 呼吸系统防护: 防尘面具,自携式呼吸器(SCBA),供气呼吸器等。使用通过政府标准的呼吸器。依 据当地和政府法规。 手部防护:防渗手套。 眼睛防护:护目镜。如果情况需要,佩戴面具。 皮肤和身体防护:防渗防护服。如果情况需要,穿戴防护靴。 模块9. 理化特性 固体 外形(20°C): 外观: 晶体-粉末 颜色: 浅黄色-黄色 气味:无资料 pH:无数据资料 熔点: 56°C 沸点/沸程无资料 闪点:无资料 爆炸特性 爆炸下限:无资料 爆炸上限:无资料 密度:无资料 溶解度: [水]无资料 [其他溶剂]无资料 模块10. 稳定性和反应性 化学稳定性:一般情况下稳定。 危险反应的可能性:热、撞击、摩擦等条件下可能爆炸分解。 避免接触的条件: 热, 冲击, 摩擦 须避免接触的物质氧化剂 危险的分解产物: 一氧化碳, 二氧化碳, 氮氧化物 (NOx), 氟化氢, 氯化氢 模块11. 毒理学信息 急性毒性: orl-rat LD50:930 mg/kg skn-rbt LD50:161 mg/kg 对皮肤腐蚀或刺激:无资料 对眼睛严重损害或刺激:无资料 4-氯-3,5-二硝基三氟甲苯 修改号码:5 模块11. 毒理学信息 生殖细胞变异原性:无资料 致癌性: IARC =无资料 NTP =无资料 生殖毒性:无资料 RTECS 号码: XS9065000 模块12. 生态学信息 生态毒性: 鱼类:无资料 甲壳类:无资料 藻类:无资料 残留性 / 降解性:无资料 潜在生物累积 (BCF):无资料 土壤中移动性 log水分配系数:无资料 土壤吸收系数 (Koc):无资料 亨利定律无资料 constant(PaM3/mol): 模块13. 废弃处置 如果可能,回收处理。请咨询当地管理部门和专家。建议在可燃溶剂中溶解混合,然后在装有后燃和洗涤装置的化 学焚烧炉中慢慢焚烧。如果一次性焚烧大量物质,可能发生爆炸。废弃处置时请遵守国家、地区和当地的所有法规 。 模块14. 运输信息 联合国分类: 第1项 毒害品。 UN编号: 2811 正式运输名称: 有毒固体, 有机物, 不另作详细说明 包装等级: II 模块15. 法规信息 《危险化学品安全管理条例》(2002年1月26日国务院发布,2011年2月16日修订): 针对危险化学品的安全使用、 生产、储存、运输、装卸等方面均作了相应的规定。 模块16 - 其他信息 N/A |
原料简介
应用范围
毒性和生态
安全信息
| 符号 |
GHS06 |
|---|---|
| 信号词 | Danger |
| 危害声明 | H302-H310 |
| 警示性声明 | P280-P302 + P350-P310 |
| 个人防护装备 | Eyeshields;Faceshields;Gloves;type P2 (EN 143) respirator cartridges |
| 危害码 (欧洲) | T,Xi |
| 风险声明 (欧洲) | R22:Harmful if swallowed. R24:Toxic in contact with skin. R36/37/38:Irritating to eyes, respiratory system and skin . |
| 安全声明 (欧洲) | S36/37-S45 |
| 危险品运输编码 | UN 2811 6.1/PG 2 |
| WGK德国 | 3 |
| RTECS号 | XS9065000 |
| 包装等级 | II |
| 危险类别 | 6.1 |
| 海关编码 | 2904909090 |
是否危险品
危险性
危险类别码
危险等级
触发危险方式
安全技术说明书
环境影响程度
包装与储运
相关供应商

搜索







