罗库溴铵
【用途一】
肌肉松弛药。非去极化神经肌肉阻断剂。用于住院和门诊患者全身麻醉和常规气管插管时的辅助用药,能使手术和机械换气期间骨骼肌肉松弛。
产品名称
-
中文名罗库溴铵
-
英文名Rocuronium bromide
-
中文别名L-[(2Β,3Α,5Α,16Β,17Β)-17-(乙酰氧基)-3-羟基-2-(4-吗啉基)雄甾-16-基]-1-丙烯基吡咯铵溴化物
-
英文别名
RocuroniuM BroMide IsoMers (2β,3α,5α,16β,17β)-17-(acetyloxy)-3-hydroxy-2-morpholin-4-yl-16-(1-prop-2-en-1-ylpyrrolidinium-1-yl)androstane bromide (2β,3α,5α,16β,17β)-17-(acetyloxy)-3-hydroxy-2-(morpholin-4-yl)-16-[1-(prop-2-en-1-yl)pyrrolidinium-1-yl]androstane bromide (2β,3α,5α,16β,17β)-17-Acetoxy-16-(1-allyl-1-pyrrolidiniumyl)-3-hydroxy-2-(4-morpholinyl)androstane bromide Rocuronium bromide EINECS 214-776-5 androstane-3,17-diol, 2-(4-morpholinyl)-16-[1-(2-propenyl)-1-pyrrolidiniumyl]-, bromide, 17-acetate, (2β,3α,5α,16β,17β)- Esmeron (+)-Rocuronium bromide Org-9426 (2β,3α,5α,16β,17β)-17-Acetoxy-16-(1-allylpyrrolidinium-1-yl)-3-hydroxy-2-(morpholin-4-yl)androstane bromide Pyrrolidinium Androstane-3,17-diol, 2-(4-morpholinyl)-16-[1-(2-propen-1-yl)-1-pyrrolidiniumyl]-, bromide, 17-acetate, (2β,3α,5α,16β,17β)- (1:1) Eslax Zemuron,Esmeron MFCD00867768 ROCURONIUN BROMIDE 1-((2b,3a,5a,16b,17b)-17-(acetyloxy)-3-hydroxy-2-(4-morpholinyl)androstan-16-yl)-1-(2-propenyl)pyrrolidinium bromide Pyrrolidinium, 1-((2β,3α,5α,16β,17β)-17-(acetyloxy)-3-hydroxy-2-(4-morpholinyl)androstan-16-yl)-1-(2-propenyl)-, bromide Zemuron -
常用名罗库溴铵
-
C A S号119302-91-9
物理性质
-
密度N/A
-
沸点N/A
-
熔点162-1640C
-
化学式C32H53BrN2O4
-
结构式
-
闪点N/A
-
分子量609.678
-
精确质量608.318848
-
P S A59.00000
-
外观形状白色或灰白色粉末
-
储存条件Room temp
-
稳定性
-
水溶解性
-
形态
-
H L B值
-
粘度
-
PH值
作用/用途
【用途一】
肌肉松弛药。非去极化神经肌肉阻断剂。用于住院和门诊患者全身麻醉和常规气管插管时的辅助用药,能使手术和机械换气期间骨骼肌肉松弛。
制备方法
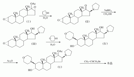
(2α,3α,5α,16α,17β)-2,3,16,17-二环氧雄甾-17-醇乙酸酯(Ⅰ)和四氢吡咯水溶液回流1h,得到的17-酮(Ⅱ)和硼氢化钠,在甲醇中搅拌,还原得到化合物(Ⅲ)。和吗啡水溶液回流3d,得到化合物(Ⅳ)。部分乙酰化,再和烯丙基溴反应,即得产物。
安全提醒
MSDS
|
罗库溴铵
模块1. 化学品 产品名称: Rocuronium Bromide 模块2. 危险性概述 GHS分类 物理性危害未分类 健康危害
皮肤腐蚀/刺激 第3级 严重损伤/刺激眼睛 2B类 环境危害未分类 GHS标签元素 图标或危害标志无 信号词警告 危险描述造成轻微皮肤刺激 造成眼刺激 防范说明 [急救措施]眼睛接触:用水小心清洗几分钟。如果方便,易操作,摘除隐形眼镜。继续冲洗。 眼睛接触:求医/就诊 处理后要彻底清洗双手。 若皮肤刺激:求医/就诊。 模块3. 成分/组成信息 单一物质/混和物单一物质 化学名(中文名):罗库溴铵 百分比: >98.0%(T) CAS编码: 119302-91-9 分子式: C32H53BrN2O4 模块4. 急救措施 吸入: 将受害者移到新鲜空气处,保持呼吸通畅,休息。若感不适请求医/就诊。 皮肤接触: 立即去除/脱掉所有被污染的衣物。用大量肥皂和水轻轻洗。 若皮肤刺激或发生皮疹:求医/就诊。 眼睛接触:用水小心清洗几分钟。如果方便,易操作,摘除隐形眼镜。继续清洗。 如果眼睛刺激:求医/就诊。 食入: 若感不适,求医/就诊。漱口。 罗库溴铵 紧急救助者的防护:救援者需要穿戴个人防护用品,比如橡胶手套和气密性护目镜。 模块5. 消防措施 合适的灭火剂:干粉,泡沫,雾状水,二氧化碳 特殊危险性:小心,燃烧或高温下可能分解产生毒烟。 特定方法:从上风处灭火,根据周围环境选择合适的灭火方法。 非相关人员应该撤离至安全地方。 周围一旦着火:如果安全,移去可移动容器。 消防员的特殊防护用具:灭火时,一定要穿戴个人防护用品。 模块6. 泄漏应急处理 个人防护措施,防护用具, 使用个人防护用品。远离溢出物/泄露处并处在上风处。 紧急措施:泄露区应该用安全带等圈起来,控制非相关人员进入。 环保措施:防止进入下水道。 控制和清洗的方法和材料:清扫收集粉尘,封入密闭容器。注意切勿分散。附着物或收集物应该立即根据合适的 法律法规处置。 模块7. 操作处置与储存 处理 技术措施:在通风良好处进行处理。穿戴合适的防护用具。防止粉尘扩散。处理后彻底清洗双手 和脸。 注意事项:如果粉尘或浮质产生,使用局部排气。 操作处置注意事项:避免接触皮肤、眼睛和衣物。 贮存 储存条件:保持容器密闭。冷藏储存。 远离不相容的材料比如氧化剂存放。 热敏 包装材料:依据法律。 模块8. 接触控制和个体防护 工程控制:尽可能安装封闭体系或局部排风系统,操作人员切勿直接接触。同时安装淋浴器和洗 眼器。 个人防护用品 呼吸系统防护:防尘面具。依据当地和政府法规。 手部防护:防护手套。 眼睛防护:安全防护镜。如果情况需要,佩戴面具。 皮肤和身体防护:防护服。如果情况需要,穿戴防护靴。 模块9. 理化特性 固体 外形(20°C): 外观: 晶体-粉末 颜色: 白色-浅红黄色 气味:无资料 pH:无数据资料 熔点: 169°C 沸点/沸程无资料 闪点:无资料 爆炸特性 爆炸下限:无资料 爆炸上限:无资料 罗库溴铵 模块9. 理化特性 密度:无资料 溶解度: [水]无资料 [其他溶剂]无资料 模块10. 稳定性和反应性 化学稳定性:一般情况下稳定。 危险反应的可能性:未报道特殊反应性。 须避免接触的物质氧化剂 危险的分解产物: 一氧化碳, 二氧化碳, 氮氧化物 (NOx), 溴化氢 模块11. 毒理学信息 急性毒性:无资料 对皮肤腐蚀或刺激:无资料 对眼睛严重损害或刺激:无资料 生殖细胞变异原性:无资料 致癌性: IARC =无资料 NTP =无资料 生殖毒性:无资料 模块12. 生态学信息 生态毒性: 鱼类:无资料 甲壳类:无资料 藻类:无资料 残留性 / 降解性:无资料 潜在生物累积 (BCF):无资料 土壤中移动性 log水分配系数:无资料 土壤吸收系数 (Koc):无资料 亨利定律无资料 constant(PaM3/mol): 模块13. 废弃处置 如果可能,回收处理。请咨询当地管理部门。建议在可燃溶剂中溶解混合,在装有后燃和洗涤装置的化学焚烧炉中 焚烧。废弃处置时请遵守国家、地区和当地的所有法规。 模块14. 运输信息 联合国分类:与联合国分类标准不一致 UN编号:未列明 模块15. 法规信息 《危险化学品安全管理条例》(2002年1月26日国务院发布,2011年2月16日修订): 针对危险化学品的安全使用、 生产、储存、运输、装卸等方面均作了相应的规定。 罗库溴铵 模块16 - 其他信息 N/A |
原料简介
应用范围
毒性和生态
安全信息
| 个人防护装备 | Eyeshields;Gloves;type N95 (US);type P1 (EN143) respirator filter |
|---|---|
| 安全声明 (欧洲) | S24/25 |
| 危险品运输编码 | NONH for all modes of transport |
| WGK德国 | 3 |
| 海关编码 | 2934999090 |
是否危险品
危险性
危险类别码
危险等级
触发危险方式
安全技术说明书
环境影响程度
包装与储运
相关供应商

搜索







