卡屈嗪
使动脉平滑肌松弛而使外周血管阻力减小达到降低血压作用。用于高血压。
产品名称
-
中文名卡屈嗪
-
英文名ethyl N-[[6-[ethyl(2-hydroxypropyl)amino]pyridazin-3-yl]amino]carbamate
-
中文别名2-[6-[乙基(2-羟丙基)氨基]-3-哒嗪基]肼羧酸乙酯 | 卡柔比星
-
英文别名
DC-826 Cadralazine [INN:BAN:JAN] 2-[6-[Ethyl(2-Hydroxypropyl)Amino]-3-Pyridazinyl]-Hydrazinecarboxylic Acid Ethyl Ester Cadralazina [INN-Spanish] ISF 2469 Cadralazine Cadralazina [Spanish] Cadralazinum [INN-Latin] N'-{6-[ethyl-(2-hydroxy-propyl)-amino]-pyridazin-3-yl}-hydrazinecarboxylic acid ethyl ester -
常用名卡屈嗪
-
C A S号64241-34-5
物理性质
-
密度1.253 g/cm3
-
沸点425.88°C (rough estimate)
-
熔点160-162°
-
化学式C12H21N5O3
-
结构式
1、 摩尔折射率:76.38
2、 摩尔体积(cm3/mol):226.0
3、 等张比容(90.2K):622.2
4、 表面张力(dyne/cm):57.4
5、 极化率(10-24cm3):30.28
-
闪点N/A
-
分子量283.32700
-
精确质量283.16400
-
P S A99.61000
-
外观形状
-
储存条件库房通风低温干燥
-
稳定性
-
水溶解性
-
形态
-
H L B值
-
粘度
-
PH值
作用/用途
使动脉平滑肌松弛而使外周血管阻力减小达到降低血压作用。用于高血压。
制备方法
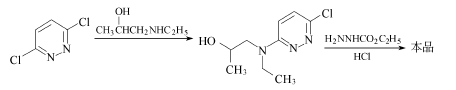
在约70℃时,6h内往1L N-乙基-2-羟基丙胺中,加入583g 3,6-二氯酞嗪,在95℃下搅拌16h。然后加入1.5 L水、470ml 37%盐酸和884ml肼基甲酸乙酯,回流20h。用液氨调反应液的Ph值为8.5,得776g卡屈嗪。
安全提醒
MSDS
原料简介
应用范围
毒性和生态
安全信息
是否危险品
危险性
危险类别码
危险等级
触发危险方式
安全技术说明书
环境影响程度
包装与储运
相关供应商

搜索







