派来霉素
抗肿瘤抗生素。临床用于治疗鳞癌,如头部鳞癌、舌癌、口底癌、颊粘膜癌、皮肤鳞癌、恶性淋巴瘤等,对肺癌、前列腺癌和恶性黑色素瘤也有一定疗效。
产品名称
-
中文名派来霉素
-
英文名N1-[3-[(1-Phenylethyl)amino]propyl]bleomycinamide
-
中文别名培普利欧霉素 | (S)-N^^-(1-苯基乙基)博莱霉素A2'-B
-
英文别名
PLM N1-[3-[[(S)-a-Methylbenzyl]amino]propyl]bleomycinamide NK-631{PEP Peplocin Bleomycin PEP Pepleocine Pepreomycin (2R,3S,4S,5R,6R)-2-{[(2R,3S,4S,5S,6S)-2-[2-{[(6-Amino-2-{3-amino-1-[(2,3-diamino-3-oxopropyl)amino]-3-oxopropyl}-5-methyl-4-pyrimidinyl)carbonyl]amino}-3-{[3-hydroxy-5-({3-hydroxy-1-oxo-1-[(2-{4-[(3-{[(1S)-1-phenylethyl]amino}propyl)carbamoyl]-2,4'-bi-1,3-thiazol-2'-yl}ethyl)amino]-2-butanyl}amino)-4-methyl-5-oxo-2-pentanyl]amino}-1-(1H-imidazol-5-yl)-3-oxopropoxy]-4,5-dihydroxy-6-(hydroxymethyl)tetrahydro-2H-pyran-3-yl]oxy}-3,5-dihydroxy-6 Pepleomycin PEP-Bleomycin 3((S)-1'-Phenylethylamino)-propylaminbleomycin N1-[3-[(1-Phenylethyl)amino]propyl]bleomycinamide -
常用名派来霉素
-
C A S号68247-85-8
物理性质
-
密度1.6±0.1 g/cm3
-
沸点N/A
-
熔点N/A
-
化学式C61H88N18O21S2
-
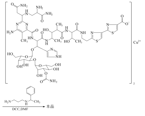
结构式
-
闪点N/A
-
分子量1473.589
-
精确质量1472.581299
-
P S A695.58000
-
外观形状
-
储存条件库房通风低温干燥
-
稳定性
-
水溶解性
-
形态
-
H L B值
-
粘度
-
PH值
作用/用途
抗肿瘤抗生素。临床用于治疗鳞癌,如头部鳞癌、舌癌、口底癌、颊粘膜癌、皮肤鳞癌、恶性淋巴瘤等,对肺癌、前列腺癌和恶性黑色素瘤也有一定疗效。
制备方法
方法1:合成法。下列博来霉素的游离酸的铜盐和N-(1-苯基乙基)丙二胺在二甲基甲酰胺中,在环己基碳化二亚胺存在下反应,可得培洛霉素。
方法2:发酵法。往轮枝链霉菌(Streptomyces verticillus)ATCCl5003菌株的发酵液中,加入N-(1-苯基乙基)丙二胺,进行发酵培养。培养液的滤液以Amberlite IRC-50(H+型)离子交换树脂进一步纯化,得到培洛霉素。
安全提醒
MSDS
原料简介
应用范围
毒性和生态
安全信息
是否危险品
危险性
危险类别码
危险等级
触发危险方式
安全技术说明书
环境影响程度
包装与储运
相关供应商








