 
                        溴莫普林
苄基嘧啶类二氢叶酸还原酶抑制剂。用于成人和儿童的慢性支气管炎和上呼吸道感染等。
本品为二氢叶酸还原酶抑制剂类抗菌新药,对G-菌和G+菌具有广谱、高效抗菌活性,优于磺胺甲氧异唑、红霉素等.临床用于呼吸道、消化道、泌尿道等部位感染的治疗.它与氨苄西林、阿莫西林、口服头孢菌素、强力霉素、红霉素、罗红霉素、交沙霉素等多种抗菌药物比较,在治疗支气管炎、咽炎、扁桃体炎、尿道炎、窦炎、中耳炎等感染性疾患方面,疗效更为显著,且生物利用度高达90%,半衰期长(t1/2=34h),更适用于儿童.
- 
                                   中文名溴莫普林
- 
                                   英文名Brodimoprim
- 
                                   中文别名5-(3,5-二甲氧基-4-溴苄基)-2,4-二氨基嘧啶 | 5-[(4-溴-3,5-二甲氧基苯基)甲基]-2,4-嘧啶二胺 | 溴烯尿苷
- 
                                   英文别名5-(4-bromo-3,5-dimethoxybenzyl)pyrimidine-2,4-diamine 2,4-Pyrimidinediamine, 5-[(4-bromo-3,5-dimethoxyphenyl)methyl]- Brodimoprim 5-(4-Bromo-3,5-dimethoxybenzyl)-2,4-pyrimidinediamine 5-[(4-bromo-3,5-dimethoxyphenyl)methyl]pyrimidine-2,4-diamine 5-[(4-Bromo-3,5-dimethoxyphenyl)methyl]-2,4-pyrimidinediamine Ro-10-5970 EINECS 260-238-8 
- 
                                   常用名溴莫普林
- 
                                   C A S号56518-41-3
- 
                                    密度1.5±0.1 g/cm3
- 
                                    沸点563.8±60.0 °C at 760 mmHg
- 
                                    熔点225-228°
- 
                                    化学式C13H15BrN4O2
- 
                                    结构式1、 摩尔折射率:81.26 2、 摩尔体积(cm3/mol):224.0 3、 等张比容(90.2K):622.1 4、 表面张力(dyne/cm):59.4 5、 极化率(10-24cm3):32.21 
- 
                                    闪点294.7±32.9 °C
- 
                                    分子量339.188
- 
                                    精确质量338.037842
- 
                                    P S A96.28000
- 
                                    外观形状
- 
                                    储存条件
- 
                                    稳定性
- 
                                    水溶解性
- 
                                    形态
- 
                                    H L B值
- 
                                    粘度
- 
                                    PH值
苄基嘧啶类二氢叶酸还原酶抑制剂。用于成人和儿童的慢性支气管炎和上呼吸道感染等。
本品为二氢叶酸还原酶抑制剂类抗菌新药,对G-菌和G+菌具有广谱、高效抗菌活性,优于磺胺甲氧异唑、红霉素等.临床用于呼吸道、消化道、泌尿道等部位感染的治疗.它与氨苄西林、阿莫西林、口服头孢菌素、强力霉素、红霉素、罗红霉素、交沙霉素等多种抗菌药物比较,在治疗支气管炎、咽炎、扁桃体炎、尿道炎、窦炎、中耳炎等感染性疾患方面,疗效更为显著,且生物利用度高达90%,半衰期长(t1/2=34h),更适用于儿童.
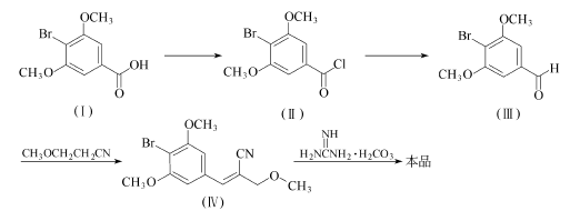
1. 4-溴-3,5-二甲氧基苯甲酸转化为其酰氯,然后还原为4-溴-3,5-二甲氧基苯甲醛.再和3-甲氧基丙腈缩合,得化合物(IV).然后和碳酸胍环合,得到溴莫普林.
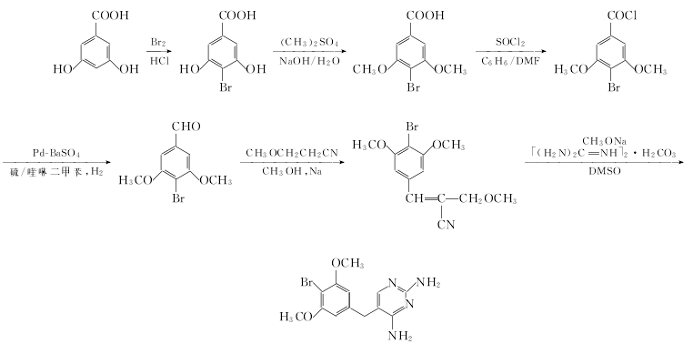
2.4-溴-3,5-二羟基苯甲酸的制备
在反应瓶中加入3,5-二羟基苯甲酸100g(0.65mol) 和盐酸(18%)500ml, 搅拌混合, 加热到106 ºC., 物料全溶后, 缓慢滴加溴103.6g(0.65mol), 约3h滴完. 滴毕, 在107~108 ºC保温搅拌3h. 冷至室温, 产生结晶过滤, 得白色固体4-溴-3,5-二羟基苯甲酸142g, 母液浓缩又得4-溴-3,5-二羟基苯甲酸2.5g, 总计144.5g, 收率95.4%,mp256~258 ºC.
3. 4-溴-3,5-二甲氧基苯甲酸的制备
在反应瓶中加入4-溴-3,5-二羟基苯甲酸100g(0.43mol)、硫酸二甲酯180ml(1.90mol), 搅拌混合, 搅拌下滴加30%氢氧化钠水溶液500ml, 在滴加过程保持pH8~9, 加毕, 在30~35 ºC保温搅拌20min. 缓慢升至95 ºC, 回流1h. 热过滤. 液用浓盐酸调至pH2. 产生白色沉淀, 过滤,滤饼水洗至中性,得白色固体,干燥(100 ºC以下), 得4-溴-3,5-二甲氧基苯甲酸108g, 收率96.2%,mp140~142 ºC.
4. 4-溴-3,5-二甲氧基苯甲酰氯的制备
在反应瓶中加入115g(0.44mol)、纯苯300ml和DMF6.25ml, 搅拌悬浮均匀, 再在搅拌下向悬浮液中滴加氯化亚砜59.5g(0.50mol), 加毕, 搅拌回流3h. 将反应液真空蒸发至干. 剩余物溶于25ml, 纯苯, 然后减压蒸除溶剂, 该操作重复一次, 所得剩余物溶于少量苯, 过滤, 然后用低沸程石油醚处理, 在真空下过滤, 分离沉淀酸性氯化物, 干燥, 得4-溴-3,5-二甲氧基苯甲酰氯110g, 收率90%,mp128~130 ºC.
5. 4-溴-3,5-二甲氧基苯甲醛的制备
在反应瓶中加入4-溴-3,5-二甲氧基苯甲酰氯20g(0.072mol)、PdBaSO420g、硫/喹啉复合毒化剂16滴和二甲苯300ml, 搅拌加热, 通氮气置换空气, 当内温达114 ºC时开始通氢气. 以碱性酚酞液控制反应进程, 约需通氢反应6h. 反应毕, 过滤, 滤液浓缩至原体积的一半, 加入40%亚硫酸氢钠水溶液300ml, 强搅拌后静置过夜. 得到的黏稠悬浮液, 用水稀释, 水层用苯洗, 在搅拌下和冷却下用50%NaOH水溶液调至Ph10, 产生的醛固体真空过滤分离出, 用苯溶解, 溶液用无水硫酸镁干燥, 过滤, 滤液蒸除溶剂, 得到固体用庚烷重结晶. 过滤, 低温真空干燥, 得白色固体4-溴-3,5-二甲氧基苯甲醛13.64g, 收率76.2%,mp112~113 ºC.
6. 4-溴-3,5-二甲氧基-a-(甲氧基甲基) 肉桂腈的制备
在反应瓶中加入经蒸馏的β-甲氧基丙腈41.2g(0.484mol) 和4-溴-3,5-二甲氧基苯甲醛60g(0.242mol) 和纯甲醇130ml, 搅拌溶解. 在另一反应瓶中加入纯甲醇103ml和金属钠2.84g(0.123mol), 开搅拌混合, 控制温度不超过25 ºC, 搅拌反应至Na全溶. 然后将含4-溴-3,5-二甲氧基苯甲醛的上述混合液加到该溶液中, 加热搅拌至沸回流3h. 可检测到该反应溶液几乎无4-溴-3,5-二甲氧基苯甲醛存在后, 将反应液冷却置于冰箱过夜, 析出结晶抽滤收集, 用少量冷甲醇洗滤饼, 抽干, 干燥, 用甲醇重结晶, 干燥, 得4-溴-3,5-二甲氧基-a-(甲氧基甲基) 肉桂腈52g, 收率69%,mp113~114 ºC.
7. 溴莫普林的合成
在反应瓶中加入纯甲醇55ml和金属钠4.18g(0.18mol), 搅拌反应, 并控制温度25 ºC, 待Na全部溶解后加入4-溴-3,5-二甲氧基-a-(甲氧基甲基) 肉桂腈50g(0.16mol) 溶于DMSO28ml溶液. 混合物用油浴加热(70 ºC), 加热至内温达70 ºC, 在该温度搅拌反应1h. 然后在搅拌下加入碳酸胍15.9g(0.09mol), 将混合物缓慢加热直到内温达110 ºC, 在此期间, 大约30ml甲醇在装置于反应瓶上的水分离器中冷凝下来, 再在110 ºC搅拌反应1h后冷却至5 ºC, 加入水65ml, 冷却下搅拌30min. 析出结晶沉淀, 真空过滤, 用冷水充分洗滤饼, 苯洗, 将所得的结晶加入约250ml1mol/L盐酸捣碎分散, 真空过滤, 得到溴莫普林盐酸盐, 用热水和活性炭重结晶, 热过滤, 滤液冷却析晶, 过滤, 干燥, 得精制溴莫普林盐酸盐,mp280~285 ºC. 在室温下, 将该盐酸盐于反应瓶中加入3mol/L氨水100ml, 搅拌30min. 过滤, 抽干, 水洗, 真空干燥, 得溴莫普林40g, 收率73.7%,mp234~235 ºC.
| 海关编码 | 2933599090 | 
|---|
 
        
 
                                     
                    
 
                 
            







 
                             
                 
                        