马尼地平
-
中文名马尼地平
-
英文名Manidipine
-
中文别名2-(4-(二苯基甲基)-1-哌嗪基)乙基 甲基 2,6-二甲基-4-(3-硝基苯基)-1,4-二氢吡啶-3,5-二羧酸酯 | 1,4-二氢-2,6-二甲基-4-间硝基苯基-3,5-吡啶二羧酸甲酯2-(4-二苯甲基-1-哌嗪基)乙酯
-
英文别名
2-[4-(Diphenylmethyl)-1-piperazinyl]ethylmethyl (±)-1,4-dihydro-2,6-dimethyl-4-(m-nitrophenyl)-3,5-pyridinecarboxylate 2-[4-(diphenylmethyl)piperazin-1-yl]ethyl methyl 2,6-dimethyl-4-(3-nitrophenyl)-1,4-dihydropyridine-3,5-dicarboxylate MANIDIPINE: MANIDIPINE DIHYDROCHLORIDE 1,4-Dihydro-2,6-dimethyl-4-(3-nitrophenyl)-3,5-pyridinedicarboxylic Acid 2-[4-(Diphenylmethyl)-1-piperazinyl]ethyl Methyl Ester 1-diphenylmethyl-4-(2-hydroxyethyl)piperazine 2-[4-(Diphenylmethyl)-1-piperazinyl]ethyl methyl 2,6-dimethyl-4-(3-nitrophenyl)-1,4-dihydro-3,5-pyridinedicarboxylate 3-{2-[4-(diphenylMethyl)piperazin-1-yl]ethyl} 5-Methyl 2,6-diMethyl-4-(3-nitrophenyl)-1,4-dihydropyridine-3,5-dicarboxylate Manidipine 6300 Manidipine UNII:6O4754US88 CV-4093,2-(4-diphenylmethyl-1-piperazinyl)ethyl methyl 1,4-dihydro-2,6-dimethyl-4-(3-nitrophenyl)-3,5-pyridinedicarboxylate Manidipine (Manyper) 2-(4-(Diphenylmethyl)-1-piperazinyl)ethyl methyl 2,6-dimethyl-4-(3-nitrophenyl)-1,4-dihydropyridine-3,5-dicarboxylate (+/-)-1,4-dihydro-2,6-dimethyl-4-(3-nitrophenyl)-3,5-pyridinedicarboxylic acid 2-[4-(diphenylmethyl)-1-piperazinyl]ethyl methyl ester 2-(4-Diphenylmethyl-1-piperazinyl)ethyl methyl-1,4-dihydro-2,6-dimethyl-4-(3-nitrophenyl)-3,5-pyridinedicarboxylate 2-(4-benzhydryl-1-piperazinyl)ethyl methyl 2,6-dimethyl-4-(3-nitrophenyl)-1,4-dihydropyridine-3,5-dicarboxylate Franidipine 3,5-Pyridinedicarboxylic acid, 1,4-dihydro-2,6-dimethyl-4-(3-nitrophenyl)-, 2-[4-(diphenylmethyl)-1-piperazinyl]ethyl methyl ester -
常用名马尼地平
-
C A S号89226-50-6
-
密度1.2±0.1 g/cm3
-
沸点722.0±60.0 °C at 760 mmHg
-
熔点125-128ºC
-
化学式C35H38N4O6
-
结构式
-
闪点390.4±32.9 °C
-
分子量610.699
-
精确质量610.279114
-
P S A116.93000
-
外观形状
-
储存条件-20°C Freezer
-
稳定性
-
水溶解性
-
形态
-
H L B值
-
粘度
-
PH值
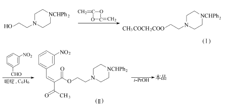
方法1:一锅煮。2.66g 3-硝基苯甲醛、6.09g化合物(Ⅰ)和2.03g 3-氨基丁烯酸甲酯溶于25ml异丙醇,搅拌回流6h。浓缩后,剩余物用硅胶层析,己烷-乙酸乙酯(1:1,体积比)洗脱。洗脱液浓缩,剩余的油状物溶于小量异丙醚,加入己烷于0℃搅拌,得到7.35g淡黄色的分析纯的马尼地平,收率75.2%。
3.90g马尼地平溶于10ml二氯甲烷,加入微过量的盐酸的二氧六烷溶液,在0℃加入小量的水一起搅拌。过滤收集析出的结晶,用乙醚洗,得4.23g二盐酸马尼地平单水合物,收率94.4%。该结晶可用下列方法来提纯:将该结晶溶于二氯甲烷-甲醇混合液中,再把溶剂蒸去,剩余物溶于乙酸乙酯,加入小量水,冰冷却后得淡黄色结晶,熔点167~170℃。
方法2:大量制备,所有的中间体均无需分离。将,552g油状的4-二苯甲基-1-哌嗪乙醇加热至约70℃,在搅拌下滴入175ml二乙烯酮,滴加的速度保持反应液不超过80℃。加毕,在70~80℃搅拌2h。减压蒸去过量的二乙烯酮,得739.8g淡棕色油状的化合物(I)的粗品。该油状物、281.0g3-硝基苯甲醛、30ml哌啶和2000ml苯,一起回流5h,并不断移去生成的水。反应结束后,苯层用水洗,无水硫酸镁干燥。浓缩后,得油状的化合物(Ⅱ)的粗品。将该粗品和200g 3-氨基丁烯酸甲酯溶于2500ml异丙醇,搅拌回流7h。减压蒸去溶剂,剩余物在3500ml氯仿和1000ml水之间进行分配。分出氯仿层,用1000ml水洗,无水硫酸镁干燥。蒸去溶剂后,剩余物用502g 16.2%盐酸的甲醇溶液处理后,减压浓缩。剩余物溶于1200ml热乙酸乙酯,用700ml乙醚稀释,室温放置过夜。过滤析出的黄色沉淀,用丙酮洗,得467.9g二盐酸马尼地平,总收率36.8%。纯二盐酸马尼地平有两种晶体,可通过下列方法得到。
α-晶型:461.1g粗二盐酸马尼地平溶于3300ml热的95%乙醇,依其放置过夜。过滤析出的沉淀,用约400ml乙醇洗,于60℃真空干燥,得316.4gα-晶型的二盐酸马尼地平,熔点157~163℃。
β-晶型:314.2gα-晶型的二盐酸马尼地平悬浮于5000ml丙酮,搅拌3h后,在室温放置过夜。其间,黄色的α-晶型转化为淡黄色的细微的β-晶型。过滤收集,用1000ml丙酮洗,于75~80℃真空干燥,得273.4gβ-二盐酸马尼地平,熔点174~180℃。如用开口的毛细管测,其熔点204~206.5℃(分解)。
马尼地平游离碱的制备:6.0gβ-二盐酸马尼地平溶于乙醚,用5%氨水处理。分出乙醚层,用水洗,无水硫酸镁干燥。浓缩后,用异丙醚-己烷重结晶,得4.78g淡黄色的马尼地平,收率89.2%,熔点125~128℃。
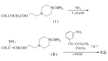
方法3:3.0g化合物(Ⅰ)溶于5ml乙醇,加入过量的20%氨的乙醇溶液,在冰箱中放置过夜。减压除去溶剂,得油状的化合物(Ⅲ)粗品。该粗品和1.97g化合物(Ⅳ)溶于30ml异丙醇,搅拌回流10h。和方法1同样处理后得0.83g二盐酸马尼地平单水合物,收率15.0%,熔点164~169℃。
方法4:3.21g化合物(Ⅲ)的粗品、0.88g 3-硝基苯甲醛和1.15g乙酰乙酸甲酯溶于15ml异丙醇,搅拌回流6h。和方法1同样处理后得1.06g二盐酸马尼地平单水合物,收率17.8%,熔点166~169℃。
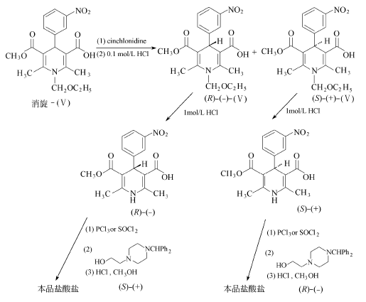
方法5:其光学活性的异构体可从化合物(V)出发,经和辛可尼丁(cinchonidine)成盐进行光学拆分为(R)-(-)型和(S)-(+)型后,再经水解,酯化,成盐得二盐酸马尼地平。

搜索











