 
                        司盘85
                                
					1.用作乳化剂、润滑剂、润湿剂、分散剂、增稠剂等气相色谱固定液。非离子型表面活性剂。   2. 本品在采油业作乳化剂、增溶剂、防锈剂。   3.主要用于医药、化妆品、纺织、涂料、石油产品、采油等。
					 
					
				                            
                        产品名称
                           - 
                                   中文名三油酸山梨酯
- 
                                   英文名Sorbitan, tri-(9Z)-9-octadecenoate
- 
                                   中文别名斯盘85 | 清凉茶醇三油酸酯 | 司班85 | 脱水山梨醇三油酸酯 | 失水山梨醇油酸三酯 | 司本85 | 司班-85 | 司盘85 | 山梨糖醇酐三油酸酯 | 山油酸山梨醇酯
- 
                                   英文别名1,4-anhydro-2,3,6-tri-O--(9Z)-octadec-9-enoyl-D-glucitol emsorb2503 te33 SPAN NO 85 EINECS 247-569-3 Sorbitane trioleate Sorbitan, tri-(9Z)-9-octadecenoate 1,4-anhydro-2,3,6-tri-O--(9Z)-octadec-9-enoyl-L-iditol ionets85 SPAN 85 (Sorbitan Trioleate) L-iditol, 1,4-anhydro-2,3,6-tris-O-[(9Z)-1-oxo-9-octadecenyl]- SPAN(R) 85 L-Iditol, 1,4-anhydro-2,3,6-tris-O-[(9Z)-1-oxo-9-octadecen-1-yl]- MFCD00133820 op85r glycomulto crill5 1,4-Anhydro-2,3,6-tri-O--(9Z)-9-octadecenoyl-L-iditol emasol430 
- 
                                   常用名司盘85
- 
                                   C A S号26266-58-0
物理性质
                            - 
                                    密度1.0±0.1 g/cm3
- 
                                    沸点887.4±65.0 °C at 760 mmHg
- 
                                    熔点N/A
- 
                                    化学式C60H108O8
- 
                                    结构式
- 
                                    闪点223.7±27.8 °C
- 
                                    分子量957.495
- 
                                    精确质量956.804443
- 
                                    P S A108.36000
- 
                                    外观形状
- 
                                    储存条件密封阴凉干燥保存。 
- 
                                    稳定性
- 
                                    水溶解性
- 
                                    形态
- 
                                    H L B值
- 
                                    粘度
- 
                                    PH值
作用/用途
                            
                                
					1.用作乳化剂、润滑剂、润湿剂、分散剂、增稠剂等气相色谱固定液。非离子型表面活性剂。   2. 本品在采油业作乳化剂、增溶剂、防锈剂。   3.主要用于医药、化妆品、纺织、涂料、石油产品、采油等。
					 
					
				                            
                        制备方法
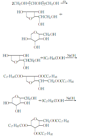
                            1.将1 mol山梨醇投入反应釜中,抽真空脱水后,将预热的精制油酸打入釜内,油酸加入量为3 mol,再加入适量的氢氧化钠作催化剂。然后在真空下逐渐升温至210℃左右,保温反应8 h。取样测酸值14~15 mgKOH/g酯化反应结束。静置分层,将下层液抛掉,上层液打入脱色釜,用双氧水脱色后,减压脱水,脱水完毕后出料包装即为成品。反应式如下:
安全提醒
                            MSDS
                            | 模块1. 化学品 1.1 产品标识符 : Span® 85 产品名称 1.2 鉴别的其他方法 Sorbitane trioleate  
1.3 有关的确定了的物质或混合物的用途和建议不适合的用途
 仅用于研发。不作为药品、家庭或其它用途。 模块2. 危险性概述 2.1 GHS-分类 皮肤刺激 (类别 2) 眼睛刺激 (类别 2B) 2.2 GHS 标记要素,包括预防性的陈述 象形图 警示词警告 危险申明 H315造成皮肤刺激。 H320造成眼刺激。 警告申明 预防 P264操作后彻底清洁皮肤。 P280戴防护手套。 响应 P302 + P352如皮肤接触:用大量肥皂和水清洗。 P305 + P351 + P338如与眼睛接触,用水缓慢温和地冲洗几分钟。如戴隐形眼镜并可方便地取 出,取出隐形眼镜,然后继续冲洗. P321具体治疗(见本标签上提供的急救指导)。 P332 + P313如发生皮肤刺激:求医/ 就诊。 P337 + P313如仍觉眼睛刺激:求医/就诊。 P362脱掉沾染的衣服,清洗后方可重新使用。 2.3 其它危害物 - 无 模块3. 成分/组成信息 3.1 物 质 : Sorbitane trioleate 别名 : C60H108O8 分子式 : 957.52 g/mol 分子量 组分浓度或浓度范围 Anhydro-D-glucitol trioleate - 化学文摘登记号(CAS26266-58-0 No.)247-569-3 EC-编号 模块4. 急救措施 4.1 必要的急救措施描述 一般的建议 请教医生。 向到现场的医生出示此安全技术说明书。 吸入 如果吸入,请将患者移到新鲜空气处。 如呼吸停止,进行人工呼吸。 请教医生。 皮肤接触 用肥皂和大量的水冲洗。 请教医生。 眼睛接触 用大量水彻底冲洗至少15分钟并请教医生。 食入 切勿给失去知觉者通过口喂任何东西。 用水漱口。 请教医生。 4.2 主要症状和影响,急性和迟发效应 据我们所知,此化学,物理和毒性性质尚未经完整的研究。 4.3 及时的医疗处理和所需的特殊处理的说明和指示 无数据资料 模块5. 消防措施 5.1 灭火介质 灭火方法及灭火剂 用水雾,抗乙醇泡沫,干粉或二氧化碳灭火。 5.2 源于此物质或混合物的特别的危害 碳氧化物 5.3 给消防员的建议 如必要的话,戴自给式呼吸器去救火。 5.4 进一步信息 无数据资料 模块6. 泄露应急处理 6.1 作业人员防护措施、防护装备和应急处置程序 使用个人防护用品。 避免吸入蒸气、烟雾或气体。 保证充分的通风。 6.2 环境保护措施 不要让产品进入下水道。 6.3 泄漏化学品的收容、清除方法及所使用的处置材料 用惰性吸附材料吸收并当作危险废物处理。 放入合适的封闭的容器中待处理。 6.4 参考其他部分 丢弃处理请参阅第13节。 模块7. 操作处置与储存 7.1 安全操作的注意事项 避免接触皮肤和眼睛。 避免吸入蒸气和烟雾。 一般性的防火保护措施。 7.2 安全储存的条件,包括任何不兼容性 贮存在阴凉处。 使容器保持密闭,储存在干燥通风处。 7.3 特定用途 无数据资料 模块8. 接触控制和个体防护 8.1 容许浓度 最高容许浓度 没有已知的国家规定的暴露极限。 8.2 暴露控制 适当的技术控制 根据良好的工业卫生和安全规范进行操作。 休息前和工作结束时洗手。 个体防护设备 眼/面保护 带有防护边罩的安全眼镜符合 EN166要求请使用经官方标准如NIOSH (美国) 或 EN 166(欧盟) 检测与批准的设备防护眼部。 皮肤保护 戴手套取 手套在使用前必须受检查。 请使用合适的方法脱除手套(不要接触手套外部表面),避免任何皮肤部位接触此产品. 使用后请将被污染过的手套根据相关法律法规和有效的实验室规章程序谨慎处理. 请清洗并吹干双手 所选择的保护手套必须符合EU的89/686/EEC规定和从它衍生出来的EN 376标准。 身体保护 防渗透的衣服, 防护设备的类型必须根据特定工作场所中的危险物的浓度和数量来选择。 呼吸系统防护 如危险性评测显示需要使用空气净化的防毒面具,请使用全面罩式多功能防毒面具(US)或ABEK型 (EN 14387)防毒面具筒作为工程控制的候补。如果防毒面具是保护的唯一方式,则使用全面罩式送风防 毒面具。 呼吸器使用经过测试并通过政府标准如NIOSH(US)或CEN(EU)的呼吸器和零件。 模块9. 理化特性 9.1 基本的理化特性的信息 a) 外观与性状 形状: 透明, 粘稠液体 颜色: 深棕 b) 气味 无数据资料 c) 气味阈值 无数据资料 d) pH值 无数据资料 e) 熔点/凝固点 无数据资料 f) 沸点、初沸点和沸程 无数据资料 g) 闪点 113 °C - 闭杯 h) 蒸发速率 无数据资料 i) 易燃性(固体,气体) 无数据资料 j) 高的/低的燃烧性或爆炸性限度 无数据资料 k) 蒸气压 无数据资料 l) 蒸汽密度 无数据资料 m) 密度/相对密度 0.952 g/cm3 n) 水溶性 无数据资料 o) n-辛醇/水分配系数 无数据资料 p) 自燃温度 无数据资料 q) 分解温度 无数据资料 r) 粘度 无数据资料 模块10. 稳定性和反应活性 10.1 反应性 无数据资料 10.2 稳定性 无数据资料 10.3 危险反应 无数据资料 10.4 应避免的条件 无数据资料 10.5 不相容的物质 强氧化剂 10.6 危险的分解产物 其它分解产物 - 无数据资料 模块11. 毒理学资料 11.1 毒理学影响的信息 急性毒性 无数据资料 皮肤刺激或腐蚀 皮肤 - 兔子 - 皮肤刺激 眼睛刺激或腐蚀 眼睛 - 兔子 - 轻度的眼睛刺激 呼吸道或皮肤过敏 无数据资料 生殖细胞突变性 无数据资料 致癌性 IARC: 此产品中没有大于或等于 0。1%含量的组分被 IARC鉴别为可能的或肯定的人类致癌物。 生殖毒性 无数据资料 特异性靶器官系统毒性(一次接触) 无数据资料 特异性靶器官系统毒性(反复接触) 无数据资料 吸入危险 无数据资料 潜在的健康影响 吸入吸入可能有害。 引起呼吸道刺激。 摄入如服入是有害的。 皮肤通过皮肤吸收可能有害。 造成皮肤刺激。 眼睛引起眼睛刺激。 接触后的征兆和症状 据我们所知,此化学,物理和毒性性质尚未经完整的研究。 附加说明 化学物质毒性作用登记: WG2934550 模块12. 生态学资料 12.1 生态毒性 无数据资料 12.2 持久性和降解性 无数据资料 12.3 潜在的生物累积性 无数据资料 12.4 土壤中的迁移性 无数据资料 12.5 PBT 和 vPvB的结果评价 无数据资料 12.6 其它不良影响 无数据资料 模块13. 废弃处置 13.1 废物处理方法 产品 将剩余的和不可回收的溶液交给有许可证的公司处理。 联系专业的拥有废弃物处理执照的机构来处理此物质。 受污染的容器和包装 按未用产品处置。 模块14. 运输信息 14.1 联合国危险货物编号 欧洲陆运危规: -国际海运危规: -国际空运危规: - 14.2 联合国运输名称 欧洲陆运危规: 非危险货物 国际海运危规: 非危险货物 国际空运危规: 非危险货物 14.3 运输危险类别 欧洲陆运危规: -国际海运危规: -国际空运危规: - 14.4 包裹组 欧洲陆运危规: -国际海运危规: -国际空运危规: - 14.5 环境危险 欧洲陆运危规: 否国际海运危规国际空运危规: 否 海洋污染物(是/否): 否 14.6 对使用者的特别提醒 无数据资料 模块 15 - 法规信息 N/A 模块16 - 其他信息 N/A | 
原料简介
                            应用范围
                            毒性和生态
                            安全信息
                            | 个人防护装备 | Eyeshields;full-face respirator (US);Gloves;multi-purpose combination respirator cartridge (US);type ABEK (EN14387) respirator filter | 
|---|---|
| 危害码 (欧洲) | Xi | 
| 风险声明 (欧洲) | R38 | 
| 安全声明 (欧洲) | S26 | 
| 危险品运输编码 | NONH for all modes of transport | 
| WGK德国 | 1 | 
| RTECS号 | WG2934550 | 
| 海关编码 | 2932190090 | 
是否危险品
                            危险性
                            危险类别码
                            危险等级
                            触发危险方式
                            安全技术说明书
                            环境影响程度
                            包装与储运
                            相关供应商
     
        
 
                                     
                    
 
                 
            






 
                             
                 
                        