 
                        S-83乳化剂
1.本品在医药、化妆品、纺织、油漆工业中作乳化剂、增溶剂、稳定剂、柔软剂、抗静电剂。
产品名称
                           - 
                                   中文名山梨糖醇酐倍半异硬脂酸酯
- 
                                   英文名sorbitan sesquioleate
- 
                                   中文别名S-83乳化剂 | SPAN 83 | 脱水山梨醇倍半异硬脂酸 | 倍半油酸山梨坦 | 司本83(=脱水山梨醇倍半异硬脂酸) | 山梨糖醇酐倍半油酸酯
- 
                                   英文别名MFCD00151568 sorbitan sesquioleate EINECS 232-360-1 
- 
                                   常用名S-83乳化剂
- 
                                   C A S号8007-43-0
物理性质
                            - 
                                    密度0.993g/cm3
- 
                                    沸点738.7ºC at 760 mmHg
- 
                                    熔点N/A
- 
                                    化学式C66H126O16
- 
                                    结构式
- 
                                    闪点205.1ºC
- 
                                    分子量1175.70000
- 
                                    精确质量1174.90000
- 
                                    P S A292.20000
- 
                                    外观形状Viscous Liquid | Pale Yellow
- 
                                    储存条件储存于阴凉干燥处 
- 
                                    稳定性
- 
                                    水溶解性
- 
                                    形态琥珀色至棕色油状液体
- 
                                    H L B值
- 
                                    粘度
- 
                                    PH值
作用/用途
                            1.本品在医药、化妆品、纺织、油漆工业中作乳化剂、增溶剂、稳定剂、柔软剂、抗静电剂。
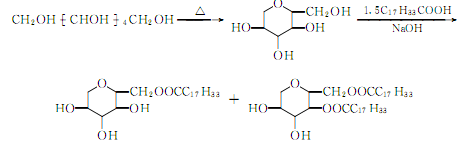
制备方法
                            1.将1 mol山梨醇投入反应釜中,减压脱水,然后将精制的油酸压入反应釜中,再加入催化剂量的氢氧化钠。在搅拌下抽真空,逐渐升温至200℃左右,维持反应8 h。取样测酸值,当酸值到12左右酯化反应结束。冷却静置24,反应液分层后抛下层深色液,将上层液打入脱色釜内,在50~60℃下用双氧水脱色1 h。继续抽真空脱水,在110℃下脱水5 h反应完毕,出料灌装即为成品。反应式如下:
安全提醒
                            MSDS
                            | 
			  	
			  	    1.1 产品标识符
 : Sorbitan sesquioleate 化学品俗名或商品名 1.2 鉴别的其他方法 Arlacel® 83 Span® 83  
1.3 有关的确定了的物质或混合物的用途和建议不适合的用途
 仅供科研用途,不作为药物、家庭备用药或其它用途。 模块2. 危险性概述 2.1 GHS分类 根据全球协调系统(GHS)的规定,不是危险物质或混合物。 2.3 其它危害物 - 无 模块3. 成分/组成信息 3.1 物 质 : Arlacel® 83 别名 Span® 83 成分浓度 Sorbitan, (Z)-9-octadecenoate (2:3) - 化学文摘编号(CAS No.)8007-43-0 EC-编号232-360-1 模块4. 急救措施 4.1 必要的急救措施描述 如果吸入 如果吸入,请将患者移到新鲜空气处。 如果停止了呼吸,给于人工呼吸。 在皮肤接触的情况下 用肥皂和大量的水冲洗。 在眼睛接触的情况下 用水冲洗眼睛作为预防措施。 如果误服 切勿给失去知觉者从嘴里喂食任何东西。 用水漱口。 4.2 最重要的症状和影响,急性的和滞后的 据我们所知,此化学,物理和毒性性质尚未经完整的研究。 4.3 及时的医疗处理和所需的特殊处理的说明和指示 无数据资料 模块5. 消防措施 5.1 灭火介质 灭火方法及灭火剂 用水雾,耐醇泡沫,干粉或二氧化碳灭火。 5.2 源于此物质或混合物的特别的危害 产品分解后性质不明 5.3 救火人员的预防 如必要的话,戴自给式呼吸器去救火。 5.4 进一步的信息 无数据资料 模块6. 泄露应急处理 6.1 人员的预防,防护设备和紧急处理程序 防止吸入蒸汽、气雾或气体。 6.2 环境预防措施 不要让产物进入下水道。 6.3 抑制和清除溢出物的方法和材料 存放在合适的封闭的处理容器内。 6.4 参考其他部分 丢弃处理请参阅第13节。 模块7. 操作处置与储存 7.1 安全操作的注意事项 一般性的防火保护措施。 7.2 安全储存的条件,包括任何不兼容性 贮存在阴凉处。 容器保持紧闭,储存在干燥通风处。 7.3 特定用途 无数据资料 模块8. 接触控制/个体防护 8.1 控制参数 最高容许浓度 没有已知的国家规定的暴露极限。 8.2 暴露控制 适当的技术控制 常规的工业卫生操作。 人身保护设备 眼/面保护 请使用经官方标准如NIOSH (美国) 或 EN 166(欧盟) 检测与批准的设备防护眼部。 皮肤保护 戴手套取 手套在使用前必须受检查。 请使用合适的方法脱除手套(不要接触手套外部表面),避免任何皮肤部位接触此产品. 使用后请将被污染过的手套根据相关法律法规和有效的实验室规章程序谨慎处理. 请清洗并吹干双手 所选择的保护手套必须符合EU的89/686/EEC规定和从它衍生出来的EN 376标准。 身体保护 防渗透的衣服, 防护设备的类型必须根据特定工作场所中的危险物的浓度和含量来选择。 呼吸系统防护 不需要对呼吸系统保护.对少量挥发请采用美国OV/AG (US)标准类型的 或欧洲ABEK (EU EN 14387)标准类型的呼吸器过滤器. 呼吸器使用经过测试并通过政府标准如NIOSH(US)或CEN(EU)的呼吸器和零件。 模块9. 理化特性 9.1 基本的理化特性的信息 a) 外观与性状 形状: 粘稠液体 颜色: 淡黄 b) 气味 无数据资料 c) 气味临界值 无数据资料 d) pH值 无数据资料 e) 熔点/凝固点 无数据资料 f) 起始沸点和沸程 无数据资料 g) 闪点 113 °C - 闭杯 h) 蒸发速率 无数据资料 i) 可燃性(固体,气体) 无数据资料 j) 高的/低的燃烧性或爆炸性限度 无数据资料 k) 蒸气压 55.831 hPa 在 20 °C 91.674 hPa 在 55 °C l) 相对蒸气密度 无数据资料 m) 相对密度 0.989 g/cm3 在 25 °C n) 水溶性 无数据资料 o) 辛醇/水分配系数的对数值 无数据资料 p) 自燃温度 无数据资料 q) 分解温度 无数据资料 r) 粘度 无数据资料 模块10. 稳定性和反应活性 10.1 反应性 无数据资料 10.2 化学稳定性 无数据资料 10.3 危险反应的可能性 无数据资料 10.4 避免接触的条件 无数据资料 10.5 不兼容的材料 强氧化剂 10.6 危险的分解产物 其它分解产物 - 无数据资料 模块11. 毒理学资料 11.1 毒理学影响的信息 急性毒性 无数据资料 皮肤腐蚀/刺激 皮肤 - 兔子 - 严重眼损伤 / 眼刺激 眼睛 - 兔子 - 呼吸道或皮肤过敏 无数据资料 生殖细胞诱变 无数据资料 致癌性 IARC: 此产品中没有大于或等于 0。1%含量的组分被 IARC鉴别为可能的或肯定的人类致癌物。 生殖毒性 无数据资料 特异性靶器官系统毒性(一次接触) 无数据资料 特异性靶器官系统毒性(反复接触) 无数据资料 吸入危险 无数据资料 潜在的健康影响 吸入吸入可能有害。 可能引起呼吸道刺激。 摄入如服入是有害的。 皮肤如果通过皮肤吸收可能是有害的。 可能引起皮肤刺激。 眼睛可能引起眼睛刺激。 接触后的征兆和症状 据我们所知,此化学,物理和毒性性质尚未经完整的研究。 附加说明 化学物质毒性作用登记: WG2934330 模块12. 生态学资料 12.1 毒性 无数据资料 12.2 持久存留性和降解性 无数据资料 12.3 生物积累的潜在可能性 无数据资料 12.4 土壤中的迁移 无数据资料 12.5 PBT 和 vPvB的结果评价 无数据资料 12.6 其它不利的影响 无数据资料 模块13. 废弃处置 13.1 废物处理方法 产品 将剩余的和未回收的溶液交给处理公司。 污染了的包装物 作为未用过的产品弃置。 模块14. 运输信息 14.1 UN编号 欧洲陆运危规: -国际海运危规: -国际空运危规: - 14.2 联合国(UN)规定的名称 欧洲陆运危规: 无危险货物 国际海运危规: 无危险货物 国际空运危规: 无危险货物 14.3 运输危险类别 欧洲陆运危规: -国际海运危规: -国际空运危规: - 14.4 包裹组 欧洲陆运危规: -国际海运危规: -国际空运危规: - 14.5 环境危险 欧洲陆运危规: 否国际海运危规 海运污染物: 否国际空运危规: 否 14.6 对使用者的特别预防 无数据资料 模块 15 - 法规信息 N/A 模块16 - 其他信息 N/A | 
原料简介
                            应用范围
                            毒性和生态
                            安全信息
                            | 个人防护装备 | Eyeshields;Gloves;half-mask respirator (US);multi-purpose combination respirator cartridge (US) | 
|---|---|
| 安全声明 (欧洲) | S23;S24/25 | 
| 危险品运输编码 | NONH for all modes of transport | 
| WGK德国 | 1 | 
| RTECS号 | WG2934330 | 
是否危险品
                            危险性
                            危险类别码
                            危险等级
                            触发危险方式
                            安全技术说明书
                            环境影响程度
                            包装与储运
                            相关供应商
     
        
 
                                     
                    
 
                 
            






 
                             
                 
                        