氰尿酸
用作塑料薄膜紫外线吸收剂
用作化学试剂,也用于有机合成
【用途三】
主要用于制新型漂白剂、消毒杀菌剂、水处理剂以及树脂、涂料和金属氰化缓蚀剂等
【用途四】
用于合成氯代衍生物,三氯异氰尿酸、二氯异氰尿酸钠或钾;用于合成氰尿酸-甲醛树脂、环氧树脂、抗氧剂、涂料、粘合剂、农药除草剂、金属氰化缓蚀剂、高分子材料改性剂等;用于药物卤三羟嗪的生产。
【用途五】
用于合成氯代衍生物,三氯异氰尿酸;二氯异氰尿酸钠或钾;用于合成氰尿酸-甲醛树脂;环氧树脂;抗氧剂;涂料;粘合剂;农药除草剂;金属氰化缓蚀剂;高分子材料改性剂等;用于药物卤三羟嗪的生产。
-
中文名氰尿酸
-
英文名Tricyanic acid
-
中文别名1,3,5-三嗪-2,4,6-(1H,3H,5H)三酮 | 氰脲酸 | 2,4,6-三氟-1,3,5-三嗪 | 1,3,5-三嗪-2,4,6-三醇 | 三嗪-5 | 2,4,6-三羟基-1,3,5-三嗪 | 三聚氰酸
-
英文别名
1,3,5-Triazine-2,4,6-triol,2,4,6-Trihydroxy-1,3,5-triazine cp4789 T6N CN ENJ BQ DQ FQ Triuret Isocyanuric Acid Tricyanide 2,4,6-Trihydroxy-1,3,5-triazine trihydroxytriazine s-Triazinetriol MFCD00014597 2,4,6-trioxo-s-triazine 1,3,5-triaza-cyclohexane-2,4,6-trione Cyanuric acid 1,3,5-triazine-2,4,6-trione T6MVMVMVJ Tricyanic acid TRICARBIMIDE EINECS 211-620-8 1,3,5-Triazine-2,4,6-triol 1,3,5-Triazine-2,4,6(1H,3H,5H)-trione 1,3,5-Triazinane-2,4,6-trione Zeonet A -
常用名氰尿酸
-
C A S号108-80-5
-
密度2.0±0.1 g/cm3
-
沸点793.4±43.0 °C at 760 mmHg
-
熔点360 °C
-
化学式C3H3N3O3
-
结构式
1、 摩尔折射率:26.17
2、 摩尔体积(cm3/mol):64.3
3、 等张比容(90.2K):234.7
4、 表面张力(dyne/cm):176.6
5、 极化率(10-24cm3):10.37
-
闪点433.6±28.2 °C
-
分子量129.074
-
精确质量129.017441
-
P S A98.58000
-
外观形状白色结晶粒状或粉末
-
储存条件
储存于阴凉、通风的库房。远离火种、热源。应与氧化剂分开存放,切忌混储。储区应备有合适的材料收容泄漏物。
采用塑料桶或内衬塑料袋的铁桶包装,防热、防晒、防潮。按剧毒化学品规定贮运。
-
稳定性
-
水溶解性
-
形态无味白色结晶
-
H L B值
-
粘度
-
PH值
用作塑料薄膜紫外线吸收剂
用作化学试剂,也用于有机合成
【用途三】
主要用于制新型漂白剂、消毒杀菌剂、水处理剂以及树脂、涂料和金属氰化缓蚀剂等
【用途四】
用于合成氯代衍生物,三氯异氰尿酸、二氯异氰尿酸钠或钾;用于合成氰尿酸-甲醛树脂、环氧树脂、抗氧剂、涂料、粘合剂、农药除草剂、金属氰化缓蚀剂、高分子材料改性剂等;用于药物卤三羟嗪的生产。
【用途五】
用于合成氯代衍生物,三氯异氰尿酸;二氯异氰尿酸钠或钾;用于合成氰尿酸-甲醛树脂;环氧树脂;抗氧剂;涂料;粘合剂;农药除草剂;金属氰化缓蚀剂;高分子材料改性剂等;用于药物卤三羟嗪的生产。
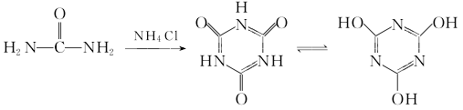
1.由尿素聚合而得。将尿素与氯化铵混合,加热融熔,搅拌升温至210℃溶液变稠,升温至230℃以上融熔物渐渐固化,翻炒均匀,继续升温至250℃,保温15min。冷至100℃,加少量水浸泡,降至常温,在水中浸泡后粉碎,滤出固体物。将水和盐酸加入固体物中,搅拌加热至110℃,保温3h,分次补加盐酸和水,降温至30℃,水洗至中性,过滤,滤饼用水洗涤,干燥得成品。工业品纯度≥95%,每吨产品消耗尿素1200kg。
2.尿素高温热解法 以尿素为原料,经高温热解制得粗三聚氰酸,再经硫酸酸化、过滤、水洗、干燥即制得三聚氰酸成品。反应式如下:
热解工序 尿素与氯化铵以1∶0.04的比例投入不含铁质的器皿中,逐个放在小车上,用液压机将满载物料的小车顶入具有温度梯度的隧道窑内(小车以15~20min的间隔进窑),经预热、升温、恒温、降温四个不同区域,尿素被熔化、脱氨聚合生成65%~85%的粗品三聚氰酸。四个不同温度区的控制温度分别为1点260℃、2点290℃、3点270℃、4点150℃,物料在窑内的时间为6~7h。
精制工序 将粉碎后的粗品三聚氰酸加入装有含量为23%~25%硫酸溶液的反应釜(夹套搪瓷反应釜)中,用蒸汽加热至170℃煮沸反应,使副产物三聚氰酸一酰胺、三聚氰酸二酰胺重新转化为三聚氰酸。经过7~8h反应后,向夹套中通冷却水,将物料冷却至90℃以下,然后放入洗料池中,水洗至pH>4,抽滤得水分含量<25%的湿品三聚氰酸。
烘干工序 采用箱式烘干器干燥。物料初水分含量<25%,干燥后的终水分≤0.5%。
|
||||||||||||||||||||||||||||||||||||||||||||||||||||||||||||||||||||||||||||||||||||||||||||||||||||||||||||||||||||||||||||||||||||||||||||||||||||||||||||||||||||||||||||||||||||||||||||||||||||||||||||||||||||||||||||||||||||||||||||||||||||||||||
| 个人防护装备 | dust mask type N95 (US);Eyeshields;Gloves |
|---|---|
| 危害码 (欧洲) | Xi:Irritant |
| 风险声明 (欧洲) | R36/37/38 |
| 安全声明 (欧洲) | S26-S37/39 |
| 危险品运输编码 | UN 3389 6.1/PG 1 |
| WGK德国 | 3 |
| RTECS号 | XZ1800000 |
| 海关编码 | 29336980 |

搜索








