异丙醇胺
【用途一】
可用作表面活性剂的原料以及纤维工业精炼剂、抗静电剂、染色助剂和纤维湿润剂等
可用作表面活性剂的原料以及纤维工业精炼剂、抗静电剂、染色助剂和纤维湿润剂等
【用途二】
用作表面活性剂、橡胶硫化促进剂和溶剂
【用途三】
1-氨基-2-丙醇(异丙醇胺)的主要用途如下:(1)与脂肪酸的反应生成脂肪酸异丙醇酰胺(烷基异丙醇酰胺)和酯,由于具有优良的起泡性,泡沫稳定性和溶解油脂的能力,故可作工业用合成洗涤剂。(2)与硫代乙醇酸中所得的产物可作化妆品的基质。(3)因吸湿性好,并具有弱碱性,故可作表面活性剂的原料,经及纤维工业的精炼剂、抗静电剂、染色助剂和纤维润湿剂。(4)其磷酸盐和亚硝酸盐可用作各种润滑油和切削油等的抗氧剂。(5)与各种酸及高级脂肪酮的反应产物可作增塑剂、乳化剂和溶剂。异丙醇胺混合物对烃的溶解能力特别强,将煤油、卤代烃、石脑油等与异丙醇胺(4%)、油酸(15%)一起在水中搅拌,可得稳定的乳剂。与长链脂肪酸生成的盐可用作醋酸乙烯酯树脂的乳化剂,乳液的稳定性好,颜色稳定。
【用途四】
本品可作表面活性剂、纤维工业精炼剂、抗静电剂、染色剂、纤维湿润剂,还可作合成洗涤剂,化妆品润滑油,切削油的抗氧剂、增塑剂、乳化剂和溶剂的制备。
用作表面活性剂、橡胶硫化促进剂和溶剂
【用途三】
1-氨基-2-丙醇(异丙醇胺)的主要用途如下:(1)与脂肪酸的反应生成脂肪酸异丙醇酰胺(烷基异丙醇酰胺)和酯,由于具有优良的起泡性,泡沫稳定性和溶解油脂的能力,故可作工业用合成洗涤剂。(2)与硫代乙醇酸中所得的产物可作化妆品的基质。(3)因吸湿性好,并具有弱碱性,故可作表面活性剂的原料,经及纤维工业的精炼剂、抗静电剂、染色助剂和纤维润湿剂。(4)其磷酸盐和亚硝酸盐可用作各种润滑油和切削油等的抗氧剂。(5)与各种酸及高级脂肪酮的反应产物可作增塑剂、乳化剂和溶剂。异丙醇胺混合物对烃的溶解能力特别强,将煤油、卤代烃、石脑油等与异丙醇胺(4%)、油酸(15%)一起在水中搅拌,可得稳定的乳剂。与长链脂肪酸生成的盐可用作醋酸乙烯酯树脂的乳化剂,乳液的稳定性好,颜色稳定。
【用途四】
本品可作表面活性剂、纤维工业精炼剂、抗静电剂、染色剂、纤维湿润剂,还可作合成洗涤剂,化妆品润滑油,切削油的抗氧剂、增塑剂、乳化剂和溶剂的制备。
产品名称
-
中文名异丙醇胺
-
英文名Amino-2-propanol
-
中文别名1-氨基-2-丙醇 | 3-氨基化异丙醇 | (±)-1-氨基-2-丙醇 | 2-羟基丙胺 | DL-1-氨基-2-丙醇 | 1-氨基异丙醇 | 3-氨基-2-丙醇
-
英文别名
2-Propanol,1-amino- 2-Hydroxypropanamine (RS)-1-Amino-2-hydroxypropane 1-Amino-2-hydroxypropane Isopropanolamine propan-2-ol, 1-amino- (±)-1-Amino-2-propanol 1-Aminopropan-2-ol (RS)-1-amino-2-propanol 2-Propanol, 1-amino- (8CI,9CI) UNII:UE40BY1BZW 2-Hydroxy-1-propylamine 2-Propanol, 1-amino- MFCD00008139 (±)-Isopropanolamine 1-Amino-2-propanol EINECS 201-162-7 2-Propanol, 1-amino-, (±)- Amino-2-propanol -
常用名异丙醇胺
-
C A S号78-96-6
物理性质
-
密度0.9±0.1 g/cm3
-
沸点159.9±13.0 °C at 760 mmHg
-
熔点-2ºC
-
化学式C3H9NO
-
结构式
1、 摩尔折射率:20.97
2、 摩尔体积(cm3/mol):79.6
3、 等张比容(90.2K):194.6
4、 表面张力(dyne/cm):35.7
5、 极化率(10-24cm3):8.31
-
闪点73.9±0.0 °C
-
分子量75.110
-
精确质量75.068413
-
P S A46.25000
-
外观形状透明至淡黄色液体
-
储存条件
1.本品应密封保存。
用铁桶包装,每桶100kg,国外也有用200kg桶装。贮运中注意防火、防热。
-
稳定性
-
水溶解性
-
形态无色或微黄色液体。微有氨的气味。
-
H L B值
-
粘度
-
PH值
作用/用途
【用途一】
可用作表面活性剂的原料以及纤维工业精炼剂、抗静电剂、染色助剂和纤维湿润剂等
可用作表面活性剂的原料以及纤维工业精炼剂、抗静电剂、染色助剂和纤维湿润剂等
【用途二】
用作表面活性剂、橡胶硫化促进剂和溶剂
【用途三】
1-氨基-2-丙醇(异丙醇胺)的主要用途如下:(1)与脂肪酸的反应生成脂肪酸异丙醇酰胺(烷基异丙醇酰胺)和酯,由于具有优良的起泡性,泡沫稳定性和溶解油脂的能力,故可作工业用合成洗涤剂。(2)与硫代乙醇酸中所得的产物可作化妆品的基质。(3)因吸湿性好,并具有弱碱性,故可作表面活性剂的原料,经及纤维工业的精炼剂、抗静电剂、染色助剂和纤维润湿剂。(4)其磷酸盐和亚硝酸盐可用作各种润滑油和切削油等的抗氧剂。(5)与各种酸及高级脂肪酮的反应产物可作增塑剂、乳化剂和溶剂。异丙醇胺混合物对烃的溶解能力特别强,将煤油、卤代烃、石脑油等与异丙醇胺(4%)、油酸(15%)一起在水中搅拌,可得稳定的乳剂。与长链脂肪酸生成的盐可用作醋酸乙烯酯树脂的乳化剂,乳液的稳定性好,颜色稳定。
【用途四】
本品可作表面活性剂、纤维工业精炼剂、抗静电剂、染色剂、纤维湿润剂,还可作合成洗涤剂,化妆品润滑油,切削油的抗氧剂、增塑剂、乳化剂和溶剂的制备。
用作表面活性剂、橡胶硫化促进剂和溶剂
【用途三】
1-氨基-2-丙醇(异丙醇胺)的主要用途如下:(1)与脂肪酸的反应生成脂肪酸异丙醇酰胺(烷基异丙醇酰胺)和酯,由于具有优良的起泡性,泡沫稳定性和溶解油脂的能力,故可作工业用合成洗涤剂。(2)与硫代乙醇酸中所得的产物可作化妆品的基质。(3)因吸湿性好,并具有弱碱性,故可作表面活性剂的原料,经及纤维工业的精炼剂、抗静电剂、染色助剂和纤维润湿剂。(4)其磷酸盐和亚硝酸盐可用作各种润滑油和切削油等的抗氧剂。(5)与各种酸及高级脂肪酮的反应产物可作增塑剂、乳化剂和溶剂。异丙醇胺混合物对烃的溶解能力特别强,将煤油、卤代烃、石脑油等与异丙醇胺(4%)、油酸(15%)一起在水中搅拌,可得稳定的乳剂。与长链脂肪酸生成的盐可用作醋酸乙烯酯树脂的乳化剂,乳液的稳定性好,颜色稳定。
【用途四】
本品可作表面活性剂、纤维工业精炼剂、抗静电剂、染色剂、纤维湿润剂,还可作合成洗涤剂,化妆品润滑油,切削油的抗氧剂、增塑剂、乳化剂和溶剂的制备。
制备方法
1-氨基-2-丙醇(异丙醇胺)的主要用途如下:(1)与脂肪酸的反应生成脂肪酸异丙醇酰胺(烷基异丙醇酰胺)和酯,由于具有优良的起泡性,泡沫稳定性和溶解油脂的能力,故可作工业用合成洗涤剂。(2)与硫代乙醇酸中所得的产物可作化妆品的基质。(3)因吸湿性好,并具有弱碱性,故可作表面活性剂的原料,经及纤维工业的精炼剂、抗静电剂、染色助剂和纤维润湿剂。(4)其磷酸盐和亚硝酸盐可用作各种润滑油和切削油等的抗氧剂。(5)与各种酸及高级脂肪酮的反应产物可作增塑剂、乳化剂和溶剂。异丙醇胺混合物对烃的溶解能力特别强,将煤油、卤代烃、石脑油等与异丙醇胺(4%)、油酸(15%)一起在水中搅拌,可得稳定的乳剂。与长链脂肪酸生成的盐可用作醋酸乙烯酯树脂的乳化剂,乳液的稳定性好,颜色稳定。
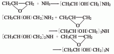
可由环氧丙烷与氨反应制得。将环氧丙烷与氨混合后,经预热进行加成反应,生成的混合物,经脱氨、脱水、进行减压蒸馏、精馏,即得成品。如在反应过程中调节环氧丙烷与氨的投料比例,可制得不同比例的异丙醇胺、二异丙醇胺和三异丙醇胺。
安全提醒
MSDS
|
|||||||||||||||||||||||||||||||||||||||||||||||||||||||||||||||||||||||||||||||||||||||||||||||||||||||||||||||||||||||||||||||||||||||||||||||||||||||||||||||||||||||||||||||||||||||||||||||||||||||||||||||||||||||||||||||||||||||||||||||||||||||
原料简介
应用范围
毒性和生态
安全信息
| 符号 |
GHS05, GHS07 |
|---|---|
| 信号词 | Danger |
| 危害声明 | H302 + H312-H314 |
| 警示性声明 | P280-P305 + P351 + P338-P310 |
| 个人防护装备 | Faceshields;full-face respirator (US);Gloves;Goggles;multi-purpose combination respirator cartridge (US);type ABEK (EN14387) respirator filter |
| 危害码 (欧洲) | C:Corrosive |
| 风险声明 (欧洲) | R34 |
| 安全声明 (欧洲) | S23-S26-S36-S45 |
| 危险品运输编码 | UN 2735 |
| WGK德国 | 1 |
| RTECS号 | UA5775000 |
| 包装等级 | II |
| 海关编码 | 2922199090 |
是否危险品
危险性
危险类别码
危险等级
触发危险方式
安全技术说明书
环境影响程度
包装与储运
相关供应商

搜索







