3-(甲基丙烯酰氧)丙基三甲氧基硅烷
主要用来改善有机材料和无机材料表面的粘接性能,如玻璃钢中的玻璃纤维和塑料、橡胶、油漆、涂料中的硅质填料等材料的处理,还用于粘接剂中以增加粘接性能,它所适应的树脂包括环氧、酚醛、三聚氰胺、聚硫化物聚氨酯、聚苯乙烯等使两种材料偶联,提高制品机械强度,复合材料电性能、耐候和耐蚀性,适用于不饱和聚酯、丙烯酸酯粘合剂
广泛用作增强塑料的偶联剂,可显著改善制品润湿状态时的物理机械性能、电性能及透光性。也用作乙丙橡胶、顺丁橡胶及丙烯酸酯、氰基丙烯酸酯、不饱和聚酯、聚甲基丙烯酸酯、丙烯酸酯等胶黏剂的偶联剂。
-
中文名3-(异丁烯酰氧)丙基三甲氧基硅烷
-
英文名3-Methacryloxypropyltrimethoxysilane
-
中文别名硅烷偶联剂G-570 | 3-(三甲氧基甲硅烷基)丙基-2-甲基-2-丙烯酸酯 | 甲基丙烯酸-3-(三甲氧基甲硅烷基)丙酯 | γ-(2,3-环氧丙氧) | γ-甲基丙烯酰氧基丙基三甲氧基硅烷 | 3-(甲基丙烯酰氧)丙基三甲氧基硅烷 | 3-(三甲氧基甲硅基)甲基丙烯酸丙酯
-
英文别名
kh570 Methacrylic acid, 3- (trimethoxysilyl)propyl ester γ-methacryloxypropyltrimethoxysilane 2-Propenoic acid, 2-methyl-, 3- (trimethoxysilyl)propyl ester 2-Propenoic acid, 2-methyl-, 3-(trimethoxysilyl)propyl ester Methacrylic Acid 3-(Trimethoxysilyl)propyl Ester A 174 kdm503 3-(trimethoxysilyl)propyl methacrylate- mops-m MEMO m8550 MAPTMS [γ-(Methacryloyloxy)propyl]trimethoxysilane 3-(Methacryloyloxy)propyltrimethoxysilane EINECS 219-785-8 CM8550 kbm503 3-(trimethoxysilyl)propyl 2-methylprop-2-enoate Silane A174 MFCD00008593 methacrylic acid-3-trimethoxysilylpropyl ester 3-(Trimethoxysilyl)propyl methacrylate Methacrylic acid, 3-(trimethoxysilyl)propyl ester (8CI) trimethoxy-3-hydroxypropylsilane methacrylate -
常用名3-(甲基丙烯酰氧)丙基三甲氧基硅烷
-
C A S号2530-85-0
-
密度1.045
-
沸点190 ºC
-
熔点<-50ºC
-
化学式C10H20O5Si
-
结构式
分子性质数据:
1、 摩尔折射率:63.67
2、 摩尔体积(cm3/mol):246.8
3、 等张比容(90.2K):558.0
4、 表面张力(dyne/cm):26.1
5、 极化率(10-24cm3):25.24
-
闪点92 ºC
-
分子量248.348
-
精确质量248.108002
-
P S A53.99000
-
外观形状无色透明液体
-
储存条件
保持容器密封,放入紧密的出藏器内,储存在阴凉,干燥的地方 温度在25℃以下,以不超过3个月为宜。
-
稳定性
-
水溶解性
-
形态无色液体
-
H L B值
-
粘度
-
PH值
主要用来改善有机材料和无机材料表面的粘接性能,如玻璃钢中的玻璃纤维和塑料、橡胶、油漆、涂料中的硅质填料等材料的处理,还用于粘接剂中以增加粘接性能,它所适应的树脂包括环氧、酚醛、三聚氰胺、聚硫化物聚氨酯、聚苯乙烯等使两种材料偶联,提高制品机械强度,复合材料电性能、耐候和耐蚀性,适用于不饱和聚酯、丙烯酸酯粘合剂
广泛用作增强塑料的偶联剂,可显著改善制品润湿状态时的物理机械性能、电性能及透光性。也用作乙丙橡胶、顺丁橡胶及丙烯酸酯、氰基丙烯酸酯、不饱和聚酯、聚甲基丙烯酸酯、丙烯酸酯等胶黏剂的偶联剂。
(1)三甲氧基硅烷的合成由三氯硅烷在苯或汽油等溶剂存在下,与甲醇反应,反应完成后经蒸馏,蒸出溶剂回收后循环使用,即得三甲氧基硅烷。
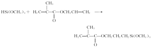
(2)γ-(甲基丙烯酸丙酯基)三甲氧基硅烷的合成三甲氧基硅烷与甲基丙烯酸烯丙酯中的烯丙基发生加成反应而制得 本品。
3. 三氯硅烷在苯或汽油等溶剂存在下,与甲醇反应一定时间,反应完成后,经蒸馏,蒸出溶剂回收循环使用,产物即为三甲氧基硅烷。反应式如下:
使三甲氧基硅烷与甲基丙烯酸烯丙酯中的烯丙基发生加成反应制得本品:
|
模块1. 化学品 1.1 产品标识符 : 3-(三甲氧基甲硅基)甲基丙烯酸丙酯 产品名称 1.2 鉴别的其他方法 [3-(Methacryloyloxy)propyl]trimethoxysilane
1.3 有关的确定了的物质或混合物的用途和建议不适合的用途
仅用于研发。不作为药品、家庭或其它用途。 模块2. 危险性概述 2.1 GHS分类 易燃液体 (类别 4) 急性毒性, 经口 (类别 5) 急性毒性, 经皮 (类别 5) 2.2 GHS 标记要素,包括预防性的陈述 象形图无 警示词警告 危险申明 H227可燃液体。 H303 + H313吞咽或皮肤接触可能有害。 警告申明 预防措施 P210远离热源/火花/明火。禁止吸烟。 P280戴防护手套/戴防护眼罩/戴防护面具。 事故响应 P312如感觉不适,呼叫解毒中心或医生。 P370 + P378在发生火灾时:用干砂,干粉或抗溶性泡沫扑灭。 储存 P403 + P235存放在通风良好的地方。保持低温。 废弃处置 P501将内装物/容器送到批准的废物处理厂处理。 2.3 其它危害物 - 无 模块3. 成分/组成信息 3.1 物 质 : [3-(Methacryloyloxy)propyl]trimethoxysilane 别名 : C10H20O5Si 分子式 : 248.35 g/mol 分子量 组分浓度或浓度范围 3-Trimethoxysilylpropyl methacrylate 化学文摘登记号(CAS 2530-85-0<= 100 % No.) 219-785-8 模块4. 急救措施 4.1 必要的急救措施描述 一般的建议 请教医生。 向到现场的医生出示此安全技术说明书。 吸入 如果吸入,请将患者移到新鲜空气处。 如呼吸停止,进行人工呼吸。 请教医生。 皮肤接触 用肥皂和大量的水冲洗。 请教医生。 眼睛接触 谨慎起见用水冲洗眼睛。 食入 禁止催吐。 切勿给失去知觉者喂食任何东西。 用水漱口。 请教医生。 4.2 主要症状和影响,急性和迟发效应 据我们所知,此化学,物理和毒性性质尚未经完整的研究。 4.3 及时的医疗处理和所需的特殊处理的说明和指示 无数据资料 模块5. 消防措施 5.1 灭火介质 灭火方法及灭火剂 用水雾,耐醇泡沫,干粉或二氧化碳灭火。 5.2 源于此物质或混合物的特别的危害 碳氧化物, 二氧化硅 5.3 给消防员的建议 如有必要,佩戴自给式呼吸器进行消防作业。 5.4 进一步信息 喷水冷却未打开的容器。 模块6. 泄露应急处理 6.1 作业人员防护措施、防护装备和应急处置程序 使用个人防护装备。 避免吸入蒸气、气雾或气体。 消除所有火源。 注意蒸气积累达到可爆炸的浓度,蒸气可蓄积在地面低洼处。 6.2 环境保护措施 如能确保安全,可采取措施防止进一步的泄漏或溢出。 不要让产品进入下水道。 6.3 泄漏化学品的收容、清除方法及所使用的处置材料 围堵溢出,用防电真空清洁器或湿刷子将溢出物收集起来,并放置到容器中去,根据当地规定处理(见第13部 分)。 放入合适的封闭的容器中待处理。 6.4 参考其他部分 丢弃处理请参阅第13节。 模块7. 操作处置与储存 7.1 安全操作的注意事项 避免吸入蒸气或雾滴。 切勿靠近火源。-严禁烟火。采取措施防止静电积聚。 7.2 安全储存的条件,包括任何不兼容性 贮存在阴凉处。 使容器保持密闭,储存在干燥通风处。 对湿度敏感 充气操作和储存 热敏感。 7.3 特定用途 无数据资料 模块8. 接触控制和个体防护 8.1 控制参数 职业接触限值 不含有职业接触限值的物质。 8.2 暴露控制 适当的技术控制 按照良好的工业卫生和安全规范进行操作。 休息前及工作结束时洗手。 个体防护装备 眼面防护 带有防护边罩的安全眼镜符合 EN166要求请使用经官方标准如NIOSH (美国) 或 EN 166(欧盟) 检测与批准的设备防护眼部。 皮肤保护 戴手套取 手套在使用前必须受检查。 请使用合适的方法脱除手套(不要接触手套外部表面),避免任何皮肤部位接触此产品. 使用后请将被污染过的手套根据相关法律法规和有效的实验室规章程序谨慎处理. 请清洗并吹干双手 所选择的保护手套必须符合EU的89/686/EEC规定和从它衍生出来的EN 376标准。 完全接触 材料: 丁腈橡胶 最小的层厚度 0.4 mm 溶剂渗透时间: > 480 min 飞溅保护 材料: 丁腈橡胶 最小的层厚度 0.4 mm 溶剂渗透时间: > 480 min 测试方法 EN374 如果以溶剂形式应用或与其它物质混合应用,或在不同于EN 374规定的条件下应用,请与EC批准的手套的供应商联系。 这个推荐只是建议性的,并且务必让熟悉我们客户计划使用的特定情况的工业卫生学专家评估确认才可. 这不应该解释为在提供对任何特定使用情况方法的批准. 身体保护 防渗透的衣服, 防护设备的类型必须根据特定工作场所中的危险物的浓度和数量来选择。 呼吸系统防护 如危险性评测显示需要使用空气净化的防毒面具,请使用全面罩式多功能防毒面具(US)或ABEK型 (EN 14387)防毒面具筒作为工程控制的候补。如果防毒面具是保护的唯一方式,则使用全面罩式送风防 毒面具。 呼吸器使用经过测试并通过政府标准如NIOSH(US)或CEN(EU)的呼吸器和零件。 模块9. 理化特性 9.1 基本的理化特性的信息 a) 外观与性状 形状: 液体 颜色: 无色 b) 气味 无数据资料 c) 气味阈值 无数据资料 d) pH值 无数据资料 e) 熔点/凝固点 熔点/凝固点: < -19.99 °C 在 大约1,013.0 hPa - OECD测试导则102 f) 初沸点和沸程 190 °C - lit. g) 闪点 92 °C - 闭杯 h) 蒸发速率 无数据资料 i) 易燃性(固体,气体) 无数据资料 j) 高的/低的燃烧性或爆炸性限度 爆炸上限: 5.4 %(V) 爆炸下限: 0.9 %(V) k) 蒸气压 13 hPa 在 130 °C 0.023 hPa 在 25 °C - OECD测试导则104 l) 蒸气密度 8.57 - (空气= 1.0) m) 密度/相对密度 1.045 g/cm3 在 25 °C - lit. n) 水溶性 0.08262 g/l 在 20 °C - OECD测试导则105 - 微溶, 水解作用 o) 正辛醇/水分配系数 log Pow: 2.1 在 20 °C - OECD测试导则107 p) 自燃温度 275 °C 在 1,013.5 - 1,030.7 hPa q) 分解温度 无数据资料 r) 黏度 无数据资料 模块10. 稳定性和反应活性 10.1 反应性 无数据资料 10.2 稳定性 无数据资料 10.3 危险反应 无数据资料 10.4 应避免的条件 热、火焰和火花。 10.5 不相容的物质 强氧化剂, 强酸, 强碱 10.6 危险的分解产物 其它分解产物 - 无数据资料 模块11. 毒理学资料 11.1 毒理学影响的信息 急性毒性 LD50 经口 - 大鼠 - 雄性和雌性 - > 2,000 mg/kg LC50 吸入 - 大鼠 - 雄性和雌性 - 4 h - > 2.28 mg/l LD50 经皮 - 大鼠 - 雄性和雌性 - > 2,000 mg/kg 皮肤腐蚀/刺激 皮肤 - 家兔 - 无皮肤刺激 - 4 h - OECD测试导则404 严重眼睛损伤/眼刺激 眼睛 - 家兔 - 无眼睛刺激 - OECD测试导则405 呼吸或皮肤过敏 豚鼠最大反应试验(GPMT) - 豚鼠 - 不引起皮肤过敏。 - OECD测试导则406 生殖细胞致突变性 体外基因毒性 - Ames试验 - 鼠伤寒沙门氏菌 - 有或没有代谢活化作用 - 阴性 体外基因毒性 - 仓鼠 - 子宫 - 有或没有代谢活化作用 - 阴性 体内基因毒性 - 小鼠 - 雄性和雌性 - 腹膜内的 - 阴性 致癌性 IARC: 此产品中没有大于或等于 0。1%含量的组分被 IARC鉴别为可能的或肯定的人类致癌物。 生殖毒性 无数据资料 特异性靶器官系统毒性(一次接触) 无数据资料 特异性靶器官系统毒性(反复接触) 无数据资料 吸入危害 无数据资料 潜在的健康影响 吸入吸入可能有害。 可能引起呼吸道刺激。 食入吞咽可能有害。 皮肤通过皮肤吸收可能有害。 可能引起皮肤刺激。 眼睛可能引起眼睛刺激。 接触后的征兆和症状 据我们所知,此化学,物理和毒性性质尚未经完整的研究。 附加说明 化学物质毒性作用登记: UC0230000 模块12. 生态学资料 12.1 生态毒性 对鱼类的毒性半静态试验 LC50 - Danio rerio (斑马鱼) - > 100 mg/l - 96 h 方法: 67/548/EEC指令,附录V, C1。 对水溞和其他水生无脊静态试验 EC50 - Daphnia magna (水溞) - > 100 mg/l - 48 h 椎动物的毒性方法: 67/548/EEC指令,附录V,C2。 对藻类的毒性静态试验 EC50 - Desmodesmus subspicatus (绿藻) - > 100 mg/l - 72 h 方法: 67/548/EEC指令,附录V,C3。 细菌毒性呼吸抑制 EC50 - 污泥处理 - > 1,000 mg/l - 3 h 方法: OECD测试导则209 12.2 持久性和降解性 生物降解能力好氧的 - 暴露时间 28 d 结果: 69 % - 快速生物降解的。 12.3 潜在的生物累积性 无数据资料 12.4 土壤中的迁移性 无数据资料 12.5 PBT和vPvB的结果评价 无数据资料 12.6 其他不良影响 无数据资料 模块13. 废弃处置 13.1 废物处理方法 产品 此易爆炸产品可以在备有燃烧后处理和洗刷作用的化学焚化炉中燃烧 受污染的容器和包装 按未用产品处置。 模块14. 运输信息 欧洲陆运危规: -国际海运危规: -国际空运危规: - 14.2 联合国运输名称 欧洲陆运危规: 非危险货物 国际海运危规: 非危险货物 国际空运危规: 非危险货物 14.3 运输危险类别 欧洲陆运危规: -国际海运危规: -国际空运危规: - 14.4 包裹组 欧洲陆运危规: -国际海运危规: -国际空运危规: - 14.5 环境危险 欧洲陆运危规: 否国际海运危规国际空运危规: 否 海洋污染物(是/否): 否 14.6 特殊防范措施 无数据资料 模块 15 - 法规信息 N/A 模块16 - 其他信息 N/A |
| 个人防护装备 | Eyeshields;full-face respirator (US);Gloves;multi-purpose combination respirator cartridge (US);type ABEK (EN14387) respirator filter |
|---|---|
| 危害码 (欧洲) | Xi:Irritant |
| 风险声明 (欧洲) | R36/37/38 |
| 安全声明 (欧洲) | S26-S28-S37/39 |
| 危险品运输编码 | 3082 |
| WGK德国 | 1 |
| RTECS号 | UC0230000 |

搜索






