间苯二甲酸二苯酯
用于有机合成,是PBT耐热聚合物的单体之一。也用作尼龙类树脂的增塑剂。用作芳杂环高聚物(如聚苯并咪唑、聚苯并噻唑等耐高温高聚物)的原料,还可用作聚酰胺类工程塑料的增韧剂。
-
中文名间苯二甲酸二苯酯
-
英文名Diphenyl isophthalate
-
中文别名间酞酸二苯酯 | 1,3-苯二甲酸二苯酯
-
英文别名
EINECS 212-014-6 ISOPHTHALIC ACID, DIPHENYL ESTER Diphenyl isophthalate diphenyl benzene-1,3-dicarboxylate Diphenylbenzol-1,3-dicarboxylat MFCD00046051 1,3-Benzenedicarboxylic acid, diphenyl ester Isophthalic acid, diphenyl ester (8CI) -
常用名间苯二甲酸二苯酯
-
C A S号744-45-6
-
密度1.2±0.1 g/cm3
-
沸点499.0±28.0 °C at 760 mmHg
-
熔点136-138 °C(lit.)
-
化学式C20H14O4
-
结构式
1、 摩尔折射率:89.54
2、 摩尔体积(cm3/mol):256.2
3、 等张比容(90.2K):682.0
4、 表面张力(dyne/cm):50.1
5、 介电常数:
6、 偶极距(10-24cm3):
7、 极化率:35.49
-
闪点256.5±22.4 °C
-
分子量318.323
-
精确质量318.089203
-
P S A52.60000
-
外观形状白色至灰白色粉末
-
储存条件
应储存在室内通风干燥处,避免火源。保持容器密封,放入紧密的出藏器内,储存在阴凉,干燥的地方
采用以50kg内衬塑料袋外套编织袋包装。贮存于阴凉、干燥、通风的库房内。远离火种、热源。严格防潮、防水。搬运时轻装轻卸,防止包装破损。
-
稳定性
-
水溶解性
-
形态白色结晶
-
H L B值
-
粘度
-
PH值
用于有机合成,是PBT耐热聚合物的单体之一。也用作尼龙类树脂的增塑剂。用作芳杂环高聚物(如聚苯并咪唑、聚苯并噻唑等耐高温高聚物)的原料,还可用作聚酰胺类工程塑料的增韧剂。
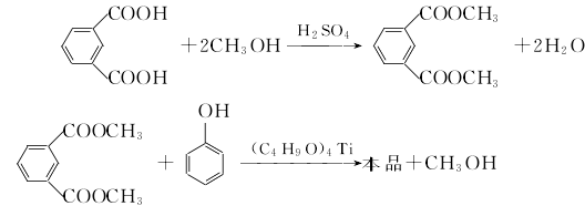
(1)间苯二甲酸二甲酯的合成 将2kg间苯二甲酸、10L甲醇、0.5kg硫酸依次投入反应釜,搅拌下加热至回流,维持20h进行酯化。酯化反应完成后,回收甲醇,粗酯加入5%的碳酸钠溶液中和至pH为7~8,过滤、干燥后得2kg间苯二甲酸二甲酯。
(2)间苯二甲酸二苯酯的合成 将所制得的间苯二甲酸二甲酯与20g苯甲酸丁酯在搅拌下混合,并通入氮气。加热至210℃后,慢慢加入苯酚2.3kg,在四丁氧基钛的催化下,进行酯交换反应,保持反应温度在220℃,加完苯酚后继续搅拌反应3h。然后降温至180℃,在30~40min内加入醋酸酐1.8kg,逐步升温至260℃,至无醋酸苯酯逸出时,停止加热。将反应物减压蒸馏,收集280~290℃(99.99kPa)馏分,即得成品。
3.将2kg间苯二甲酸、10L甲醇投入反应釜中,搅拌均匀后加入0.5kg催化剂硫酸,加热至回流,进行酯化反应20h。酯化反应完成后,蒸馏回收甲醇。粗酯加入5%的碳酸钠溶液中和至pH值为7~8,过滤干燥后得2kg间苯二甲酸二甲酯,再与20g苯甲酸丁酯在搅拌下混合,并通入氮气。加热至210℃后,慢慢加入苯酚2.3kg,保持反应温度在220℃,加完苯酚后继续搅拌反应3h。然后降温至180℃,在30~10min内加入醋酐1.8g,逐步升温至260℃,至无醋酸苯酯逸出时,停止加热。将反应物减压蒸馏,收集280~290℃(99.99kPa)馏分,即得成品。合成反应如
|
1.1 产品标识符
: Diphenyl isophthalate 化学品俗名或商品名 1.2 鉴别的其他方法 无数据资料 1.3 有关的确定了的物质或混合物的用途和建议不适合的用途 仅供科研用途,不作为药物、家庭备用药或其它用途。
模块2. 危险性概述 2.1 GHS分类 根据全球协调系统(GHS)的规定,不是危险物质或混合物。 2.3 其它危害物 - 无 模块3. 成分/组成信息 3.1 物 质 : C20H14O4 分子式 : 318.32 g/mol 分子量 成分浓度 Diphenyl isophthalate - 化学文摘编号(CAS No.)744-45-6 EC-编号212-014-6 模块4. 急救措施 4.1 必要的急救措施描述 如果吸入 如果吸入,请将患者移到新鲜空气处。 如果停止了呼吸,给于人工呼吸。 在皮肤接触的情况下 用肥皂和大量的水冲洗。 在眼睛接触的情况下 用水冲洗眼睛作为预防措施。 如果误服 切勿给失去知觉者从嘴里喂食任何东西。 用水漱口。 4.2 最重要的症状和影响,急性的和滞后的 4.3 及时的医疗处理和所需的特殊处理的说明和指示 无数据资料 模块5. 消防措施 5.1 灭火介质 灭火方法及灭火剂 用水雾,耐醇泡沫,干粉或二氧化碳灭火。 5.2 源于此物质或混合物的特别的危害 碳氧化物 5.3 救火人员的预防 如必要的话,戴自给式呼吸器去救火。 5.4 进一步的信息 无数据资料 模块6. 泄露应急处理 6.1 人员的预防,防护设备和紧急处理程序 防止粉尘的生成。 防止吸入蒸汽、气雾或气体。 6.2 环境预防措施 不要让产物进入下水道。 6.3 抑制和清除溢出物的方法和材料 扫掉和铲掉。 存放在合适的封闭的处理容器内。 6.4 参考其他部分 丢弃处理请参阅第13节。 模块7. 操作处置与储存 7.1 安全操作的注意事项 在有粉尘生成的地方,提供合适的排风设备。一般性的防火保护措施。 7.2 安全储存的条件,包括任何不兼容性 贮存在阴凉处。 容器保持紧闭,储存在干燥通风处。 7.3 特定用途 无数据资料 模块8. 接触控制/个体防护 8.1 控制参数 最高容许浓度 没有已知的国家规定的暴露极限。 8.2 暴露控制 适当的技术控制 常规的工业卫生操作。 人身保护设备 眼/面保护 请使用经官方标准如NIOSH (美国) 或 EN 166(欧盟) 检测与批准的设备防护眼部。 皮肤保护 戴手套取 手套在使用前必须受检查。 请使用合适的方法脱除手套(不要接触手套外部表面),避免任何皮肤部位接触此产品. 使用后请将被污染过的手套根据相关法律法规和有效的实验室规章程序谨慎处理. 请清洗并吹干双手 所选择的保护手套必须符合EU的89/686/EEC规定和从它衍生出来的EN 376标准。 身体保护 根据危险物质的类型,浓度和量,以及特定的工作场所来选择人体保护措施。, 防护设备的类型必须根据特定工作场所中的危险物的浓度和含量来选择。 呼吸系统防护 不需要保护呼吸。如需防护粉尘损害,请使用N95型(US)或P1型(EN 143)防尘面具。 呼吸器使用经过测试并通过政府标准如NIOSH(US)或CEN(EU)的呼吸器和零件。 模块9. 理化特性 9.1 基本的理化特性的信息 a) 外观与性状 形状: 固体 b) 气味 无数据资料 c) 气味临界值 无数据资料 d) pH值 无数据资料 e) 熔点/凝固点 熔点/熔点范围: 136 - 138 °C - lit. f) 起始沸点和沸程 无数据资料 g) 闪点 无数据资料 h) 蒸发速率 无数据资料 i) 可燃性(固体,气体) 无数据资料 j) 高的/低的燃烧性或爆炸性限度 无数据资料 k) 蒸气压 无数据资料 l) 相对蒸气密度 无数据资料 m) 相对密度 无数据资料 n) 水溶性 无数据资料 o) 辛醇/水分配系数的对数值 无数据资料 p) 自燃温度 无数据资料 q) 分解温度 无数据资料 r) 粘度 无数据资料 模块10. 稳定性和反应活性 10.1 反应性 无数据资料 10.2 化学稳定性 无数据资料 10.3 危险反应的可能性 无数据资料 10.4 避免接触的条件 无数据资料 10.5 不兼容的材料 强氧化剂 10.6 危险的分解产物 其它分解产物 - 无数据资料 模块11. 毒理学资料 11.1 毒理学影响的信息 急性毒性 无数据资料 皮肤腐蚀/刺激 无数据资料 严重眼损伤 / 眼刺激 无数据资料 呼吸道或皮肤过敏 无数据资料 生殖细胞诱变 无数据资料 致癌性 IARC: 此产品中没有大于或等于 0。1%含量的组分被 IARC鉴别为可能的或肯定的人类致癌物。 生殖毒性 无数据资料 特异性靶器官系统毒性(一次接触) 无数据资料 特异性靶器官系统毒性(反复接触) 无数据资料 吸入危险 无数据资料 潜在的健康影响 吸入吸入可能有害。 可能引起呼吸道刺激。 摄入如服入是有害的。 皮肤如果通过皮肤吸收可能是有害的。 可能引起皮肤刺激。 眼睛可能引起眼睛刺激。 附加说明 化学物质毒性作用登记: 无数据资料 模块12. 生态学资料 12.1 毒性 无数据资料 12.2 持久存留性和降解性 无数据资料 12.3 生物积累的潜在可能性 无数据资料 12.4 土壤中的迁移 无数据资料 12.5 PBT 和 vPvB的结果评价 无数据资料 12.6 其它不利的影响 无数据资料 模块13. 废弃处置 13.1 废物处理方法 产品 将剩余的和未回收的溶液交给处理公司。 污染了的包装物 作为未用过的产品弃置。 模块14. 运输信息 14.1 UN编号 欧洲陆运危规: -国际海运危规: -国际空运危规: - 14.2 联合国(UN)规定的名称 欧洲陆运危规: 无危险货物 国际海运危规: 无危险货物 国际空运危规: 无危险货物 14.3 运输危险类别 欧洲陆运危规: -国际海运危规: -国际空运危规: - 14.4 包裹组 欧洲陆运危规: -国际海运危规: -国际空运危规: - 14.5 环境危险 欧洲陆运危规: 否国际海运危规 海运污染物: 否国际空运危规: 否 14.6 对使用者的特别预防 无数据资料 模块 15 - 法规信息 N/A 模块16 - 其他信息 N/A |
| 个人防护装备 | Eyeshields;Gloves;type N95 (US);type P1 (EN143) respirator filter |
|---|---|
| 安全声明 (欧洲) | S24/25 |
| 危险品运输编码 | NONH for all modes of transport |
| WGK德国 | 3 |

搜索








