聚苯乙烯磺酸钠
聚苯乙烯磺酸钠是一种具有独特作用的水溶性聚合物,大分子链上的磺酸基团,使其具有很强的浸润分散作用,能将较大的污垢颗粒分散成微小颗粒并悬浮于水中。主要作为水处理阻垢分散剂,也可作为絮凝剂与其他絮凝剂配合使用。
产品名称
-
中文名聚苯乙烯磺酸钠
-
英文名Poly(styrenesulfonic acid sodium salt)
-
中文别名
-
英文别名
EINECS 220-266-3 -
常用名聚苯乙烯磺酸钠
-
C A S号9080-79-9
物理性质
-
密度N/A
-
沸点N/A
-
熔点N/A
-
化学式(C3H5ClO·C2H7N·H3N)x
-
结构式
-
闪点N/A
-
分子量
-
精确质量
-
P S A
-
外观形状
-
储存条件2-8°C
-
稳定性
-
水溶解性
-
形态
-
H L B值
-
粘度
-
PH值
作用/用途
聚苯乙烯磺酸钠是一种具有独特作用的水溶性聚合物,大分子链上的磺酸基团,使其具有很强的浸润分散作用,能将较大的污垢颗粒分散成微小颗粒并悬浮于水中。主要作为水处理阻垢分散剂,也可作为絮凝剂与其他絮凝剂配合使用。
制备方法
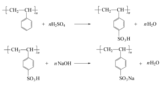
(1)聚苯乙烯磺化法 首先使聚苯乙烯磺化,制成聚苯乙烯磺酸,然后加碱中和,反应式如下:
(2)苯乙烯磺酸钠水溶液聚合 聚苯乙烯磺酸钠是由苯乙烯磺酸钠在水溶液中由过硫酸钠作引发剂经自由基均聚合反应制得。在装有电动搅拌器、回流冷凝器、滴液漏斗的高压聚合反应釜中,加入2.5kg苯乙烯磺酸钠、17kg去离子水和1.4kg氢氧化钠,加热至70℃,强力充氮,排空气,然后放慢充氮速度,加入含量0.06%的过硫酸钾,反应11h,反应期间每隔1h重复以上操作,加一次催化剂,之后,再延续反应4h,终止充氮,聚合反应结束。如此得到的聚苯乙烯磺酸钠相对分子质量约11万,转化率为60.9%。
安全提醒
MSDS
原料简介
应用范围
毒性和生态
安全信息
| 符号 |
GHS07 |
|---|---|
| 信号词 | Warning |
| 危害声明 | H332 |
| 个人防护装备 | Eyeshields;Faceshields;Gloves;type N95 (US);type P1 (EN143) respirator filter |
| 危害码 (欧洲) | Xn |
| 风险声明 (欧洲) | 20 |
| 安全声明 (欧洲) | 24/25 |
| 危险品运输编码 | NONH for all modes of transport |
| WGK德国 | 2 |
| RTECS号 | DB6836000 |
是否危险品
危险性
危险类别码
危险等级
触发危险方式
安全技术说明书
环境影响程度
包装与储运
相关供应商

搜索






