十二硫醇
【用途一】
用作高分子化合物的相对分子质量调节剂
用作高分子化合物的相对分子质量调节剂
【用途二】
用于橡胶、塑料及制药工业
【用途三】
用作合成橡胶、合成纤维、合成树脂的聚合调节剂;还用于生产聚氯乙烯稳定剂、药物、杀虫剂、杀菌剂、去污剂等。
【用途四】
用作合成橡胶、合成纤维、合成树脂的聚合调节剂、还用于生产聚氯乙烯稳定剂、药物、杀虫剂、杀菌剂、去污剂等。
用于橡胶、塑料及制药工业
【用途三】
用作合成橡胶、合成纤维、合成树脂的聚合调节剂;还用于生产聚氯乙烯稳定剂、药物、杀虫剂、杀菌剂、去污剂等。
【用途四】
用作合成橡胶、合成纤维、合成树脂的聚合调节剂、还用于生产聚氯乙烯稳定剂、药物、杀虫剂、杀菌剂、去污剂等。
产品名称
-
中文名十二硫醇
-
英文名1-Dodecanethiol
-
中文别名十二碳烷硫醇 | 1-十二硫醇 | 1-十二烷硫醇 | 1-十二烷基硫醇 | 正十二硫醇
-
英文别名
n-Dodecyl mercaptan pennfloatm n-Dodecylthiol Dodecylthiol LAURYL MERCAPTAN Mercaptan C12 Dodecane-1-thiol n-dodecyl-mercaptan dodecylmercaptan Pennfloat S UNII-S8ZJB6X253 Penfloat S n-1-dodecanethiol DODECYL MERCAPTAN 1-Dodecanethiol NDM EINECS 203-984-1 dodecanethiol dodecanthiol n-Dodecanethiol MFCD00004885 -
常用名十二硫醇
-
C A S号112-55-0
物理性质
-
密度0.845
-
沸点266-283 ºC
-
熔点-7 °C
-
化学式C12H26S
-
结构式
1、 摩尔折射率:65.53
2、 摩尔体积(cm3/mol):240.6
3、 等张比容(90.2K):561.4
4、 表面张力(dyne/cm):29.6
5、 极化率(10-24cm3):25.98
-
闪点87 ºC
-
分子量202.400
-
精确质量202.175522
-
P S A38.80000
-
外观形状透明液体
-
储存条件
储存注意事项 储存于阴凉、通风的库房。远离火种、热源。保持容器密封。应与氧化剂、还原剂、碱类、碱金属、食用化学品分开存放,切忌混储。配备相应品种和数量的消防器材。储区应备有泄漏应急处理设备和合适的收容材料。
-
稳定性
-
水溶解性
-
形态
-
H L B值
-
粘度
-
PH值
作用/用途
【用途一】
用作高分子化合物的相对分子质量调节剂
用作高分子化合物的相对分子质量调节剂
【用途二】
用于橡胶、塑料及制药工业
【用途三】
用作合成橡胶、合成纤维、合成树脂的聚合调节剂;还用于生产聚氯乙烯稳定剂、药物、杀虫剂、杀菌剂、去污剂等。
【用途四】
用作合成橡胶、合成纤维、合成树脂的聚合调节剂、还用于生产聚氯乙烯稳定剂、药物、杀虫剂、杀菌剂、去污剂等。
用于橡胶、塑料及制药工业
【用途三】
用作合成橡胶、合成纤维、合成树脂的聚合调节剂;还用于生产聚氯乙烯稳定剂、药物、杀虫剂、杀菌剂、去污剂等。
【用途四】
用作合成橡胶、合成纤维、合成树脂的聚合调节剂、还用于生产聚氯乙烯稳定剂、药物、杀虫剂、杀菌剂、去污剂等。
制备方法
1.可由十二醇蒸气和硫化氢在催化剂存在下作用而制得。
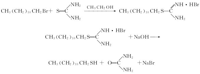
2.将溴代十二烷,硫脲和95%的乙醇加入搅拌反应釜中,搅拌下加热至回流,反应3h,蒸出乙醇回收后循环使用。然后加入10%的氢氧化钠溶液,加热至回流,搅拌反应2h。冷却后静置分层,分去油层即为粗硫醇。水层中加入盐酸酸化后再加入苯,搅拌一段时间后,静置。将苯层与粗硫醇合并、水洗,再用无水硫酸钠干燥,然后送入蒸馏装置,蒸出苯后,进行减压蒸馏,收集5.2kPa,165~169℃的馏分即为成品。
3.将溴代十二烷、硫脲和95%的乙醇加热至回流反应,然后加入氢氧化钠溶液,加热。反应完毕后,冷却静置分层,油层即为粗硫醇。粗品经水洗、干燥、蒸馏、减压蒸馏,即为成品。
安全提醒
MSDS
2.对环境的影响 该物质对环境有危害,应注意对水环境和蓄水层的污染。 一、健康危害 侵入途径:吸入、食入。
健康危害:本品蒸气或雾对鼻、喉有刺激性。高浓度吸入引起头痛、恶心、呕吐,甚至昏迷。极高浓度或长时间吸入可引起神志不清,甚至死亡。液体或雾对眼睛有刺激性。大量口服引起头痛、恶心、呕吐、神志丧失。 慢性影响:反复接触可致哮喘。皮肤长期反复接触,可引起皮炎。 二、毒理学资料及环境行为 急性毒性:LD502000mg/kg(兔经皮) 危险特性:遇明火能燃烧。受高热分解产生有毒的硫化物烟气。 燃烧(分解)产物:一氧化碳、二氧化碳、硫化氢、硫化物。 3.现场应急监测方法 4.实验室监测方法 空气中的测定:在用有机溶剂吸收本品蒸气后,用硝酸银滴定电导度的方法测定。 5.环境标准 前苏联 车间空气中有害物质的最高容许浓度 5mg/m3 6.应急处理处置方法 一、泄漏应急处理 迅速撤离泄漏污染区人员至安全区,并进行隔离,严格限制出入。切断火源。建议应急处理人员戴自给正压式呼吸器,穿消防防护服。不要直接接触泄漏物。尽可能切断泄漏源,防止进入下水道、排洪沟等限制性空间。小量泄漏:用活性碳或其它惰性材料吸收。大量泄漏:构筑围堤或挖坑收容;用泡沫覆盖,降低蒸气灾害。用泵转移至槽车或专用收集器内,回收或运至废物处理场所处置。 二、防护措施 呼吸系统防护:可能接触其蒸气时,应该佩戴自吸过滤式防毒面具(半面罩)。紧急事态抢救或撤离时,佩戴自给式呼吸器。 眼睛防护:戴化学安全防护眼镜。 身体防护:穿透气型防毒服。 手防护:戴防化学品手套。 其它:工作现场禁止吸烟、进食和饮水。工作毕,沐浴更衣。单独存放被毒物污染的衣服。洗后备用。注意个人清洁卫生。 三、急救措施 皮肤接触:立即脱去被污染的衣着,用肥皂水和清水彻底冲洗皮肤。 眼睛接触:提起眼睑,用流动清水或生理盐水冲洗,就医。 吸入:迅速脱离现场至空气新鲜处。保持呼吸道通畅。如呼吸困难,给输氧。如呼吸停止,立即进行人工呼吸。就医。 食入:饮足量温水,催吐,就医。 灭火剂:干粉、泡沫、二氧化碳、砂土。 |
原料简介
应用范围
毒性和生态
安全信息
| 符号 |
GHS05, GHS09 |
|---|---|
| 信号词 | Danger |
| 危害声明 | H314-H410 |
| 警示性声明 | P273-P280-P305 + P351 + P338-P310-P501 |
| 个人防护装备 | Eyeshields;Faceshields;full-face respirator (US);Gloves;multi-purpose combination respirator cartridge (US);type ABEK (EN14387) respirator filter |
| 危害码 (欧洲) | Xi:Irritant; |
| 风险声明 (欧洲) | R36/37/38 |
| 安全声明 (欧洲) | S23-S26-S36/37/39-S45-S37/39-S63-S62-S61-S36/37-S33-S29-S16-S9 |
| 危险品运输编码 | UN 1208 3/PG 2 |
| WGK德国 | 3 |
| RTECS号 | JR3155000 |
| 包装等级 | II; III |
| 海关编码 | 2930909090 |
是否危险品
危险性
危险类别码
危险等级
触发危险方式
安全技术说明书
环境影响程度
包装与储运
相关供应商

搜索







