氨基胍碳酸氢盐
1.用于医药和染料的合成。在医药工业上,主要用于合成呋喃胍、嘧吡唑、三氮唑核苷和丙脒腙等。 2.本品可用作医药、农药、染料、照相药剂、发泡剂和炸药的合成原料。
产品名称
-
中文名氨基胍碳酸氢盐
-
英文名Aminoguanidine bicarbonate
-
中文别名氨基胍重碳酸盐 | 氨基胍碳酸盐 | 碳酸氢氨基胍 | 氨基胍重碳酸盐
-
英文别名
Aminoguanidine Bicarbonte aminoguanidinium hydrogenocarbonate EINECS 219-956-7 Aminoguanidine bicarbonate 1-Aminoguanidine bicarbonate AMINOGUANADINE BICARBONATE 2-Aminouanidine bicarbonate Aminoguanidine Hydrogen Carbonate Aminoguanidine bicar Aninoguanidine Hicarbonate aminoguanidinium bicarbonate MFCD00012949 Hydrazinecarboximidamide carbonate Aminoguanidinbicarbonat GUANYLHYDRAZINE BICARBONATE aminoguanidinium hydrogen carbonate aminoguanidine carbonate 1-aMinoguanidine carbonate -
常用名氨基胍碳酸氢盐
-
C A S号2582-30-1
物理性质
-
密度1,6 g/cm3
-
沸点422.4ºC at 760 mmHg
-
熔点170-172 °C (dec.)(lit.)
-
化学式C2H8N4O3
-
结构式
1、 摩尔折射率:无可用
2、 摩尔体积(cm3/mol): 无可用
3、 等张比容(90.2K):无可用
4、 表面张力(dyne/cm):无可用
5、 极化率:无可用
-
闪点209.3ºC
-
分子量135.102
-
精确质量135.052368
-
P S A145.45000
-
外观形状白色晶体粉末
-
储存条件
密封阴凉干燥保存。本品包装及贮运方式参见盐酸胍。
-
稳定性
-
水溶解性
-
形态白色结晶
-
H L B值
-
粘度
-
PH值
作用/用途
1.用于医药和染料的合成。在医药工业上,主要用于合成呋喃胍、嘧吡唑、三氮唑核苷和丙脒腙等。 2.本品可用作医药、农药、染料、照相药剂、发泡剂和炸药的合成原料。
制备方法
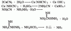
1.以石灰氮、水合肼、碳酸氢铵或碳酸氢钠为原料制得。先将蒸馏水加入石灰氮中,于45-50℃保温6h,滤去废渣,得氰胺(钙)溶液,然后向氰胺(钙)溶液中加入稀硫酸至pH=6-7,冷至室温,滤去硫酸钙,即得氰胺溶液;再向氰胺溶液中加入5%的水合肼,在50℃时保温4h,然后加入碳酸氢铵,放置,析出结晶,滤干即为氨基胍碳酸氢盐粗品,将粗品加乙酸溶解,再加草酸,滤去草酸钙,溶液用氨水调至pH=8-9,加入少许EDTA二钠,过滤清亮,再加入滤好的碳酸氢铵溶液,放置,结晶,滤干,分别以蒸馏水、乙醇洗涤,滤干即得成品。
2.甲基异硫脲硫酸盐、水合肼、碳酸氢钠进行缩合反应:将甲基异硫脲硫酸盐溶于水中,在室温滴加水合肼,加毕继续搅拌1.5h,过滤。滤液减压浓缩至原体积的2/5,然后用乙酸调节pH至5,冷至30℃以下,搅拌下加入饱和碳酸氢溶液,搅拌2h后放料,冷却过夜,过滤,滤饼先水洗,再用乙醇洗,50℃干燥,得氨基胍碳酸氢盐。收率85%-90%。3.用氨基氰和硫酸肼反应,然后加入碳酸氢钠水溶液进行反应,也可制得氨基胍重碳酸盐。
2.甲基异硫脲硫酸盐、水合肼、碳酸氢钠进行缩合反应:将甲基异硫脲硫酸盐溶于水中,在室温滴加水合肼,加毕继续搅拌1.5h,过滤。滤液减压浓缩至原体积的2/5,然后用乙酸调节pH至5,冷至30℃以下,搅拌下加入饱和碳酸氢溶液,搅拌2h后放料,冷却过夜,过滤,滤饼先水洗,再用乙醇洗,50℃干燥,得氨基胍碳酸氢盐。收率85%-90%。3.用氨基氰和硫酸肼反应,然后加入碳酸氢钠水溶液进行反应,也可制得氨基胍重碳酸盐。
安全提醒
MSDS
|
模块1. 化学品 1.1 产品标识符 : 氨基胍重碳酸盐 产品名称 1.2 鉴别的其他方法 无数据资料
1.3 有关的确定了的物质或混合物的用途和建议不适合的用途
仅用于研发。不作为药品、家庭或其它用途。 模块2. 危险性概述 2.1 GHS-分类 皮肤过敏 (类别 1) 急性水生毒性 (类别 2) 慢性水生毒性 (类别 2) 2.2 GHS 标记要素,包括预防性的陈述 象形图 警示词警告 危险申明 H317可能导致皮肤过敏反应。 H411对水生生物有毒并有长期持续的影响。 警告申明 预防措施 P261避免吸入粉尘/烟/气体/烟雾/蒸气/喷雾. P272禁止将污染的工作服带出作业场所。 P273避免释放到环境中。 P280戴防护手套。 事故响应 P302 + P352如接触皮肤:使用大量水冲洗。 P321具体处置(见本标签上提供的急救指导)。 P333 + P313如出现皮肤刺激或皮疹:求医/就诊。 P362 + P364脱掉玷污的衣服,清洗后方可再用。 P391收集溢出物。 废弃处置 P501将内容物/ 容器处理到得到批准的废物处理厂。 2.3 其它危害物 - 无 模块3. 成分/组成信息 3.1 物 质 : CH6N4 · H2CO3 分子式 : 136.11 g/mol 分子量 组分浓度或浓度范围 Aminoguanidinium hydrogen carbonate <=100% 化学文摘登记号(CAS 2582-30-1 No.) 219-956-7 EC-编号 模块4. 急救措施 4.1 必要的急救措施描述 一般的建议 请教医生。 向到现场的医生出示此安全技术说明书。 吸入 如果吸入,请将患者移到新鲜空气处。 如呼吸停止,进行人工呼吸。 请教医生。 皮肤接触 用肥皂和大量的水冲洗。 请教医生。 眼睛接触 用水冲洗眼睛作为预防措施。 食入 切勿给失去知觉者通过口喂任何东西。 用水漱口。 请教医生。 4.2 主要症状和影响,急性和迟发效应 据我们所知,此化学,物理和毒性性质尚未经完整的研究。 4.3 及时的医疗处理和所需的特殊处理的说明和指示 无数据资料 模块5. 消防措施 5.1 灭火介质 灭火方法及灭火剂 用水雾,抗乙醇泡沫,干粉或二氧化碳灭火。 5.2 源于此物质或混合物的特别的危害 碳氧化物, 氮氧化物 5.3 给消防员的建议 如必要的话,戴自给式呼吸器去救火。 5.4 进一步信息 无数据资料 模块6. 泄露应急处理 6.1 作业人员防护措施、防护装备和应急处置程序 使用个人防护用品。 避免粉尘生成。 避免吸入蒸气、烟雾或气体。 保证充分的通风。 避免吸入粉尘。 6.2 环境保护措施 如能确保安全,可采取措施防止进一步的泄漏或溢出。 不要让产品进入下水道。 一定要避免排放到周围环境中。 6.3 泄漏化学品的收容、清除方法及所使用的处置材料 收集和处置时不要产生粉尘。 扫掉和铲掉。 放入合适的封闭的容器中待处理。 6.4 参考其他部分 丢弃处理请参阅第13节。 模块7. 操作处置与储存 7.1 安全操作的注意事项 避免接触皮肤和眼睛。 避免形成粉尘和气溶胶。 在有粉尘生成的地方,提供合适的排风设备。 7.2 安全储存的条件,包括任何不兼容性 贮存在阴凉处。 使容器保持密闭,储存在干燥通风处。 7.3 特定用途 无数据资料 模块8. 接触控制和个体防护 8.1 容许浓度 最高容许浓度 没有已知的国家规定的暴露极限。 8.2 暴露控制 适当的技术控制 根据良好的工业卫生和安全规范进行操作。 休息前和工作结束时洗手。 个体防护设备 眼/面保护 面罩與安全眼鏡请使用经官方标准如NIOSH (美国) 或 EN 166(欧盟) 检测与批准的设备防护眼部。 皮肤保护 戴手套取 手套在使用前必须受检查。 请使用合适的方法脱除手套(不要接触手套外部表面),避免任何皮肤部位接触此产品. 使用后请将被污染过的手套根据相关法律法规和有效的实验室规章程序谨慎处理. 请清洗并吹干双手 所选择的保护手套必须符合EU的89/686/EEC规定和从它衍生出来的EN 376标准。 完全接触 物料: 丁腈橡胶 最小的层厚度 0.11 mm 溶剂渗透时间: 480 min 测试过的物质Dermatril® (KCL 740 / Z677272, 规格 M) 飞溅保护 物料: 丁腈橡胶 最小的层厚度 0.11 mm 溶剂渗透时间: 480 min 测试过的物质Dermatril® (KCL 740 / Z677272, 规格 M) , 测试方法 EN374 如果以溶剂形式应用或与其它物质混合应用,或在不同于EN 374规定的条件下应用,请与EC批准的手套的供应商联系。 这个推荐只是建议性的,并且务必让熟悉我们客户计划使用的特定情况的工业卫生学专家评估确认才可. 这不应该解释为在提供对任何特定使用情况方法的批准. 身体保护 全套防化学试剂工作服, 防护设备的类型必须根据特定工作场所中的危险物的浓度和数量来选择。 呼吸系统防护 如须暴露于有害环境中,请使用P95型(美国)或P1型(欧盟 英国 143)防微粒呼吸器。如需更高级别防护,请使用OV/AG/P99型(美国)或ABEK-P2型 (欧盟 英国 143) 防毒罐。 呼吸器使用经过测试并通过政府标准如NIOSH(US)或CEN(EU)的呼吸器和零件。 模块9. 理化特性 9.1 基本的理化特性的信息 a) 外观与性状 形状: 粉末 颜色: 浅褐色 b) 气味 无臭 c) 气味阈值 无数据资料 d) pH值 8.9 在 5 g/l 在 20 °C e) 熔点/凝固点 熔点/凝固点: 170 - 172 °C - 分解 f) 沸点、初沸点和沸程 无数据资料 g) 闪点 无数据资料 h) 蒸发速率 无数据资料 i) 易燃性(固体,气体) 无数据资料 j) 高的/低的燃烧性或爆炸性限度 无数据资料 k) 蒸气压 无数据资料 l) 蒸汽密度 无数据资料 m) 密度/相对密度 1.56 g/cm3 在 20 °C n) 水溶性 3.3 g/l 在 30 °C2.7 g/l 在 20 °C o) n-辛醇/水分配系数 无数据资料 p) 自燃温度 无数据资料 q) 分解温度 无数据资料 r) 粘度 无数据资料 模块10. 稳定性和反应活性 10.1 反应性 无数据资料 10.2 稳定性 无数据资料 10.3 危险反应 无数据资料 10.4 应避免的条件 加热。 暴露在光照下。 吸湿的 10.5 不相容的物质 强氧化剂, 硝酸, 亚硝酸盐 10.6 危险的分解产物 其它分解产物 - 无数据资料 模块11. 毒理学资料 11.1 毒理学影响的信息 急性毒性 半数致死剂量 (LD50) 经口 - 大鼠 - > 5,000 mg/kg 半数致死剂量 (LD50) 腹膜内的 - 大鼠 - 1,160 mg/kg 皮肤刺激或腐蚀 皮肤 - 兔子 - 无皮肤刺激 眼睛刺激或腐蚀 眼睛 - 兔子 - 无眼睛刺激 呼吸道或皮肤过敏 兔子 - 可能引起皮肤过敏性反应。 生殖细胞致突变性 无数据资料 致癌性 IARC: 此产品中没有大于或等于 0。1%含量的组分被 IARC鉴别为可能的或肯定的人类致癌物。 生殖毒性 无数据资料 特异性靶器官系统毒性(一次接触) 无数据资料 特异性靶器官系统毒性(反复接触) 食入 - 肝 吸入危险 无数据资料 潜在的健康影响 吸入吸入可能有害。 可能引起呼吸道刺激。 摄入如服入是有害的。 皮肤通过皮肤吸收可能有害。 可能引起皮肤刺激。 眼睛可能引起眼睛刺激。 接触后的征兆和症状 据我们所知,此化学,物理和毒性性质尚未经完整的研究。 附加说明 化学物质毒性作用登记: FG1772000 模块12. 生态学资料 12.1 生态毒性 对鱼类的毒性半数致死浓度(LC50) - 斑马担尼鱼(斑马鱼) - 1,585 mg/l - 96 h 半数致死浓度(LC50) - 斑马担尼鱼(斑马鱼) - 1,000 mg/l - 96 h 对水蚤和其他水生无脊备注: 无数据资料 椎动物的毒性 对藻类的毒性半数抑制浓度 (IC 50) - 近具刺链带藻 (绿藻) - 10 mg/l - 72 h 12.2 持久性和降解性 生物降解能力化学需氧量 - 接触时间 28 d 结果: 0 % - 不易生物降解。 方法: 经济合作和发展组织的试验指导书301 好氧的 化学需氧量 - 接触时间 28 d 结果: 38 % - 不易生物降解。 方法: 经济合作和发展组织的试验指导书302 12.3 潜在的生物累积性 无数据资料 12.4 土壤中的迁移性 无数据资料 12.5 PBT 和 vPvB的结果评价 无数据资料 12.6 其它不良影响 对水生生物有毒并有长期持续的影响。 模块13. 废弃处置 13.1 废物处理方法 产品 将剩余的和不可回收的溶液交给有许可证的公司处理。 与易燃溶剂相溶或者相混合,在备有燃烧后处理和洗刷作用的化学焚化炉中燃烧 受污染的容器和包装 按未用产品处置。 模块14. 运输信息 14.1 联合国危险货物编号 欧洲陆运危规: 3077国际海运危规: 3077国际空运危规: 3077 14.2 联合国运输名称 欧洲陆运危规: ENVIRONMENTALLY HAZARDOUS SUBSTANCE, SOLID, N.O.S. (Aminoguanidinium hydrogen carbonate) 国际海运危规: ENVIRONMENTALLY HAZARDOUS SUBSTANCE, SOLID, N.O.S. (Aminoguanidinium hydrogen carbonate) 国际空运危规: Environmentally hazardous substance, solid, n.o.s. (Aminoguanidinium hydrogen carbonate) 14.3 运输危险类别 欧洲陆运危规: 9国际海运危规: 9国际空运危规: 9 14.4 包裹组 欧洲陆运危规: III国际海运危规: III国际空运危规: III 14.5 环境危险 欧洲陆运危规: 是国际海运危规国际空运危规: 是 海洋污染物(是/否): 是 14.6 对使用者的特别提醒 进一步信息 危险品独立包装,液体5升以上或固体5公斤以上,每个独立包装外和独立内包装合并后的外包装上都必须有EHS 标识 (根据欧洲 ADR 法规 2.2.9.1.10, IMDG 法规 2.10.3), 模块 15 - 法规信息 N/A 模块16 - 其他信息 N/A |
原料简介
应用范围
毒性和生态
安全信息
| 符号 |
GHS07, GHS09 |
|---|---|
| 信号词 | Warning |
| 危害声明 | H317-H411 |
| 警示性声明 | P273-P280 |
| 个人防护装备 | Eyeshields;Gloves;type N95 (US);type P1 (EN143) respirator filter |
| 危害码 (欧洲) | Xi:Irritant |
| 风险声明 (欧洲) | R43;R52/53 |
| 安全声明 (欧洲) | S22-S24/25-S37-S24 |
| 危险品运输编码 | UN3077 |
| WGK德国 | 2 |
| RTECS号 | FG1772000 |
| 包装等级 | III |
| 危险类别 | 9 |
| 海关编码 | 2928000090 |
是否危险品
危险性
危险类别码
危险等级
触发危险方式
安全技术说明书
环境影响程度
包装与储运
相关供应商

搜索






