四甲基铵基笼形聚倍半硅氧烷
产品名称
-
中文名四甲基铵基笼形聚倍半硅氧烷
-
英文名Oktakis(tetramethylammonium)-T8-silisesquioxane
-
中文别名八(四甲基铵)Q8水合物 | 八三 (四甲胺) 戊环[9.5.1.13,9.15,15.17,13]八硅氧烷-1,3,5,7,9,11,13,15-八氧化水合物
-
英文别名
MFCD09953881 -
常用名四甲基铵基笼形聚倍半硅氧烷
-
C A S号69667-29-4
物理性质
-
密度N/A
-
沸点N/A
-
熔点135-143ºC
-
化学式C32H96N8O20Si8
-
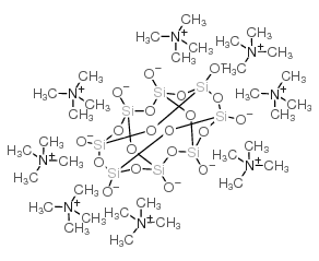
结构式
-
闪点N/A
-
分子量1137.83000
-
精确质量1136.49000
-
P S A295.24000
-
外观形状
-
储存条件
-
稳定性
-
水溶解性
-
形态
-
H L B值
-
粘度
-
PH值
作用/用途
制备方法
安全提醒
MSDS
原料简介
应用范围
毒性和生态
安全信息
| 个人防护装备 | Eyeshields;Gloves;type N95 (US);type P1 (EN143) respirator filter |
|---|---|
| 风险声明 (欧洲) | 36/37/38 |
| 安全声明 (欧洲) | 26-36/37/39 |
| 危险品运输编码 | NONH for all modes of transport |
| WGK德国 | 3 |
是否危险品
危险性
危险类别码
危险等级
触发危险方式
安全技术说明书
环境影响程度
包装与储运
相关供应商







