2-亚硝基-1-萘酚
1.用于测定钴;锆;铜;铁和钯。也可用于有机合成。
2.用作光度法测定钴、锆等的显色剂。也用作钯等金属离子的萃取剂。还用作有机合成中间体。
-
中文名2-亚硝基-1-萘酚
-
英文名2-Nitroso-1-naphthol
-
中文别名2-亚硝基-1-萘醇 | β-亚硝基-α-萘酚 | 1-亚硝基-1-萘酚
-
英文别名
C.I.Oxidation Base 15 2-nitroso-1-naphtho 1-Naphthalenol, 2-nitroso- EINECS 205-064-5 2-Nitrosonaphthol 1-hydroxy-2-nitrosonaphthalene 2-Nitroso-1-naphthol 1-Naphthol,2-nitroso 2-nitrosonaphthalen-1-ol 2-Nitroiso-1-Naphthol nitrosonaphthol MFCD00003932 2-nitroso-1-hydroxy-naphthalene -
常用名2-亚硝基-1-萘酚
-
C A S号132-53-6
-
密度1.3±0.1 g/cm3
-
沸点357.6±25.0 °C at 760 mmHg
-
熔点150-155 °C (dec.)(lit.)
-
化学式C10H7NO2
-
结构式
五、分子性质数据:
1、 摩尔折射率:48.28
2、 摩尔体积(cm3/mol):135.7
3、 等张比容(90.2K):361.9
4、 表面张力(dyne/cm):50.5
5、 极化率(10-24cm3):19.14
-
闪点170.1±23.2 °C
-
分子量173.168
-
精确质量173.047684
-
P S A49.66000
-
外观形状紫色-黄色固体
-
储存条件
储存于阴凉干燥处密封保存。
-
稳定性
-
水溶解性
-
形态黄色针状结晶
-
H L B值
-
粘度
-
PH值
1.用于测定钴;锆;铜;铁和钯。也可用于有机合成。
2.用作光度法测定钴、锆等的显色剂。也用作钯等金属离子的萃取剂。还用作有机合成中间体。
生产方法简介
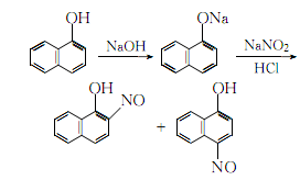
1.由1-萘酚经亚硝化而得。1.亚硝化 将氢氧化钠溶于水后,在搅拦下加入1-萘酚。过滤,滤液保持在0-5℃下,加旱灾亚硝酸钠水溶液,加完再慢慢加入乙酸。然后用1:4的稀盐酸调整pH,使刚果红试纸呈蓝色为止。用淀粉碘化钾试纸控制点,继续搅拌半小时,滤出硝化物,水洗至不呈酸性为止,干燥。2.除去异构物 亚硝化还生成4-亚硝基-1-萘酚,可用下法除去即把氢氧化钾溶于酒精后,在搅拌下慢慢加入干燥的硝化物,此时反应温度保持在60℃,加毕,继续搅拌10min。冷却,滤出粗品,加入乙醇浸泡,过滤。最后精制即得成品。
2. 搅拌下将α- 萘酚加到氢氧化钠水溶液中,滤去不溶物。控制滤液温度为0~5℃,依次加入亚硝酸钠溶液和醋酸,然后再用1∶ 4的稀盐酸调狆 犎值,使刚果红试纸呈蓝色,用淀粉碘化钾试纸控制反应终点。反应结束后继续搅拌半小时,过滤,然后用水洗涤硝化物结晶至不呈酸性,干燥。将干燥的硝化物结晶在搅拌下慢慢地加到氢氧化钾的乙醇溶液中,保持温度为60℃,之后,继续搅拌10min,静置自然冷却,过滤所得结晶用乙醇浸泡后再过滤,以除去异构物
反应过程式为:
|
1.1 产品标识符
: 2-Nitroso-1-naphthol 化学品俗名或商品名 1.2 鉴别的其他方法 无数据资料 1.3 有关的确定了的物质或混合物的用途和建议不适合的用途 仅供科研用途,不作为药物、家庭备用药或其它用途。
模块2. 危险性概述 2.1 GHS分类 皮肤刺激 (类别2) 眼刺激 (类别2A) 特异性靶器官系统毒性(一次接触) (类别3) 2.2 GHS 标记要素,包括预防性的陈述 危害类型象形图 信号词警告 危险申明 H315造成皮肤刺激。 H319造成严重眼刺激。 H335可能引起呼吸道刺激。 警告申明 预防 P261避免吸入粉尘/ 烟/ 气体/ 烟雾/ 蒸汽/ 喷雾。 P264操作后彻底清洁皮肤。 P271只能在室外或通风良好之处使用。 P280穿戴防护手套/ 眼保护罩/ 面部保护罩。 措施 P302 + P352如果在皮肤上: 用大量肥皂和水淋洗。 P304 + P340如果吸入: 将患者移到新鲜空气处休息,并保持呼吸舒畅的姿势。 P305 + P351 + P338如进入眼睛:用水小心清洗几分钟。如戴隐形眼镜并可方便地取出,取出 隐形眼镜。继续冲洗。 P312如感觉不适,呼救解毒中心或医生。 P321具体治疗(见本标签上提供的急救指导)。 P332 + P313如发生皮肤刺激:求医/ 就诊。 P337 + P313如仍觉眼睛刺激:求医/ 就诊。 P362脱掉沾染的衣服,清洗后方可重新使用。 储存 P403 + P233存放于通风良的地方。 保持容器密闭。 P405存放处须加锁。 处理 P501将内容物/ 容器处理到得到批准的废物处理厂。 2.3 其它危害物 - 无 模块3. 成分/组成信息 3.1 物 质 : C10H7NO2 分子式 : 173.17 g/mol 分子量 成分浓度 2-Nitroso-1-naphthol - 化学文摘编号(CAS No.)132-53-6 EC-编号205-064-5 模块4. 急救措施 4.1 必要的急救措施描述 一般的建议 请教医生。 出示此安全技术说明书给到现场的医生看。 如果吸入 如果吸入,请将患者移到新鲜空气处。 如果停止了呼吸,给于人工呼吸。 请教医生。 在皮肤接触的情况下 用肥皂和大量的水冲洗。 请教医生。 在眼睛接触的情况下 用大量水彻底冲洗至少15分钟并请教医生。 如果误服 切勿给失去知觉者从嘴里喂食任何东西。 用水漱口。 请教医生。 4.2 最重要的症状和影响,急性的和滞后的 据我们所知,此化学,物理和毒性性质尚未经完整的研究。 4.3 及时的医疗处理和所需的特殊处理的说明和指示 无数据资料 模块5. 消防措施 5.1 灭火介质 灭火方法及灭火剂 用水雾,耐醇泡沫,干粉或二氧化碳灭火。 5.2 源于此物质或混合物的特别的危害 碳氧化物, 氮氧化物 5.3 救火人员的预防 如必要的话,戴自给式呼吸器去救火。 5.4 进一步的信息 无数据资料 模块6. 泄露应急处理 6.1 人员的预防,防护设备和紧急处理程序 使用个人防护设备。 防止粉尘的生成。 防止吸入蒸汽、气雾或气体。 保证充分的通风。 将人员撤离到安全区域。 避免吸入粉尘。 6.2 环境预防措施 不要让产物进入下水道。 6.3 抑制和清除溢出物的方法和材料 收集、处理泄漏物,不要产生灰尘。 扫掉和铲掉。 存放在合适的封闭的处理容器内。 6.4 参考其他部分 丢弃处理请参阅第13节。 模块7. 操作处置与储存 7.1 安全操作的注意事项 避免接触皮肤和眼睛。 防止粉尘和气溶胶生成。 在有粉尘生成的地方,提供合适的排风设备。一般性的防火保护措施。 7.2 安全储存的条件,包括任何不兼容性 贮存在阴凉处。 容器保持紧闭,储存在干燥通风处。 7.3 特定用途 无数据资料 模块8. 接触控制/个体防护 8.1 控制参数 最高容许浓度 没有已知的国家规定的暴露极限。 8.2 暴露控制 适当的技术控制 根据工业卫生和安全使用规则来操作。 休息以前和工作结束时洗手。 人身保护设备 眼/面保护 带有防护边罩的安全眼镜符合 EN166要求请使用经官方标准如NIOSH (美国) 或 EN 166(欧盟) 检测与批准的设备防护眼部。 皮肤保护 戴手套取 手套在使用前必须受检查。 请使用合适的方法脱除手套(不要接触手套外部表面),避免任何皮肤部位接触此产品. 使用后请将被污染过的手套根据相关法律法规和有效的实验室规章程序谨慎处理. 请清洗并吹干双手 所选择的保护手套必须符合EU的89/686/EEC规定和从它衍生出来的EN 376标准。 身体保护 防渗透的衣服, 防护设备的类型必须根据特定工作场所中的危险物的浓度和含量来选择。 呼吸系统防护 如须暴露于有害环境中,请使用P95型(美国)或P1型(欧盟 英国 143)防微粒呼吸器。如需更高级别防护,请使用OV/AG/P99型(美国)或ABEK-P2型 (欧盟 英国 143) 防毒罐。 呼吸器使用经过测试并通过政府标准如NIOSH(US)或CEN(EU)的呼吸器和零件。 模块9. 理化特性 9.1 基本的理化特性的信息 a) 外观与性状 形状: 粉末 b) 气味 无数据资料 c) 气味临界值 无数据资料 d) pH值 无数据资料 e) 熔点/凝固点 熔点/熔点范围: 150 - 155 °C - 分解 f) 起始沸点和沸程 无数据资料 g) 闪点 无数据资料 h) 蒸发速率 无数据资料 i) 可燃性(固体,气体) 无数据资料 j) 高的/低的燃烧性或爆炸性限度 无数据资料 k) 蒸气压 无数据资料 l) 相对蒸气密度 无数据资料 m) 相对密度 无数据资料 n) 水溶性 无数据资料 o) 辛醇/水分配系数的对数值 无数据资料 p) 自燃温度 无数据资料 q) 分解温度 无数据资料 r) 粘度 无数据资料 模块10. 稳定性和反应活性 10.1 反应性 无数据资料 10.2 化学稳定性 无数据资料 10.3 危险反应的可能性 无数据资料 10.4 避免接触的条件 无数据资料 10.5 不兼容的材料 强氧化剂 10.6 危险的分解产物 其它分解产物 - 无数据资料 模块11. 毒理学资料 11.1 毒理学影响的信息 急性毒性 无数据资料 皮肤腐蚀/刺激 无数据资料 严重眼损伤 / 眼刺激 无数据资料 呼吸道或皮肤过敏 无数据资料 生殖细胞诱变 无数据资料 致癌性 致癌性 - 大鼠 - 经口 肿瘤发生:符合RTECS标准的可疑致癌试剂。 皮肤及附属物:其他:肿瘤。 肿瘤发生作用:睾丸肿瘤。 IARC: 此产品中没有大于或等于 0。1%含量的组分被 IARC鉴别为可能的或肯定的人类致癌物。 生殖毒性 无数据资料 特异性靶器官系统毒性(一次接触) 吸入 - 可能引起呼吸道刺激。 特异性靶器官系统毒性(反复接触) 无数据资料 吸入危险 无数据资料 潜在的健康影响 吸入吸入可能有害。 引起呼吸道刺激。 摄入如服入是有害的。 皮肤如果通过皮肤吸收可能是有害的。 造成皮肤刺激。 眼睛造成严重眼刺激。 接触后的征兆和症状 据我们所知,此化学,物理和毒性性质尚未经完整的研究。 附加说明 化学物质毒性作用登记: QL4550000 模块12. 生态学资料 12.1 毒性 无数据资料 12.2 持久存留性和降解性 无数据资料 12.3 生物积累的潜在可能性 无数据资料 12.4 土壤中的迁移 无数据资料 12.5 PBT 和 vPvB的结果评价 无数据资料 12.6 其它不利的影响 无数据资料 模块13. 废弃处置 13.1 废物处理方法 产品 将剩余的和未回收的溶液交给处理公司。 联系专业的拥有废弃物处理执照的机构来处理此物质。 与易燃溶剂相溶或者相混合,在备有燃烧后处理和洗刷作用的化学焚化炉中燃烧 污染了的包装物 作为未用过的产品弃置。 模块14. 运输信息 14.1 UN编号 欧洲陆运危规: -国际海运危规: -国际空运危规: - 14.2 联合国(UN)规定的名称 欧洲陆运危规: 无危险货物 国际海运危规: 无危险货物 国际空运危规: 无危险货物 14.3 运输危险类别 欧洲陆运危规: -国际海运危规: -国际空运危规: - 14.4 包裹组 欧洲陆运危规: -国际海运危规: -国际空运危规: - 14.5 环境危险 欧洲陆运危规: 否国际海运危规 海运污染物: 否国际空运危规: 否 14.6 对使用者的特别预防 无数据资料 模块 15 - 法规信息 N/A 模块16 - 其他信息 N/A |
| 符号 |
GHS07 |
|---|---|
| 信号词 | Warning |
| 危害声明 | H315-H319-H335 |
| 警示性声明 | P261-P305 + P351 + P338 |
| 个人防护装备 | dust mask type N95 (US);Eyeshields;Gloves |
| 危害码 (欧洲) | Xi:Irritant; |
| 风险声明 (欧洲) | R36/37/38 |
| 安全声明 (欧洲) | S26 |
| 危险品运输编码 | NONH for all modes of transport |
| WGK德国 | 3 |
| RTECS号 | QL4550000 |
| 海关编码 | 2908999090 |

搜索







