对苯二甲酸二甲酯
主要用于合成聚酯纤维、树脂、薄膜、聚酯漆及工程塑料等
对苯二甲酸二甲酯主要用于制造聚酯树脂,进而制造薄膜和纤维,以及高强度聚酯绝缘漆。聚酯薄膜主要用作电气绝缘材料和制作胶片(如作为电影胶片、X光片、照像软片及录音磁带、录象磁带、电子计算机磁带等的基材)。聚酯树脂最常见的用途是制造纤维,用于织物、渔网、地毯、轮胎帘线等方面。还可用于生产增塑剂对苯二甲酸二辛酯。
【用途三】
对苯二甲酸二甲酯主要用于制造聚酯树脂,进而制造薄膜和纤维,以及高强度聚酯绝缘漆。
-
中文名对苯二甲酸二甲酯
-
英文名DMT
-
中文别名1,4-苯二甲酸二甲酯 | 对酞酸二甲酯 | 对苯二甲酸二甲脂 | 1,4-苯二羧酸二甲酯
-
英文别名
1,4-Benzenedicarboxylic acid, dimethyl ester METHYL TEREPHTHALATE EINECS 204-411-8 1,4-DIMETHYL PHTHALATE Terephthalic Acid Dimethyl Ester Dimethyl terephthalate DMT MFCD00008440 TEREPHTHALIC ACID METHYL ESTER dimethyl benzene-1,4-dicarboxylate DIMETHYL P-PHTHALATE TEREPHTHARIC ACID DIMETHYL ESTER -
常用名对苯二甲酸二甲酯
-
C A S号120-61-6
-
密度1.2±0.1 g/cm3
-
沸点285.0±8.0 °C at 760 mmHg
-
熔点140 °C
-
化学式C10H10O4
-
结构式
1、 摩尔折射率:49.79
2、 摩尔体积(cm3/mol):165.2
3、 等张比容(90.2K):416.9
4、 表面张力(dyne/cm):40.5
5、 介电常数:
6、 偶极距(10-24cm3):
7、 极化率:19.74
-
闪点148.0±7.9 °C
-
分子量194.184
-
精确质量194.057907
-
P S A52.60000
-
外观形状白色大块
-
储存条件
密封保存。采用塑料编织袋包装。贮于阴凉通风处。
-
稳定性
-
水溶解性
-
形态白色针状结晶,易升华。
-
H L B值
-
粘度
-
PH值
主要用于合成聚酯纤维、树脂、薄膜、聚酯漆及工程塑料等
对苯二甲酸二甲酯主要用于制造聚酯树脂,进而制造薄膜和纤维,以及高强度聚酯绝缘漆。聚酯薄膜主要用作电气绝缘材料和制作胶片(如作为电影胶片、X光片、照像软片及录音磁带、录象磁带、电子计算机磁带等的基材)。聚酯树脂最常见的用途是制造纤维,用于织物、渔网、地毯、轮胎帘线等方面。还可用于生产增塑剂对苯二甲酸二辛酯。
【用途三】
对苯二甲酸二甲酯主要用于制造聚酯树脂,进而制造薄膜和纤维,以及高强度聚酯绝缘漆。
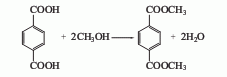
由对苯二甲酸与甲醇酯化而得。最早采用硫酸催化剂,反应温度65-100℃,酯化时间10-16h。用此法甲醇消耗量大,生产能力低。提高反应压力,在0.39-0.49MPa下酯化,反应时间可缩短为1-2h,甲醇的损失量也比常压法减少。近年采用高温高压液相酯化法,反应温度250-300℃,压力2-2.5MPa,可采用锡、锌、锑化物为催化剂,也可以不用催化剂。以对苯二甲酸计的收率可达96-98%或更高。另一种生产DMT的方法是通过威顿-赫格里斯(Witten-Hercules)法制造,即采用对二甲苯分段氧化酯化的方法,此法在对二甲苯的两个甲基氧化过程中,把先氧化的羧基进行甲酯化,以免在下一步氧化时发生副反应。为了简化流程,可把两步氧化合并在一个氧化反应器中进行,两步酯化也合并在一个酯化反应器中进行。原料对二甲苯和循环的对甲基苯甲酸甲酯在塔式反应器中同时进行氧化反应,反应温度140-170℃,压力0.4-0.7MPa,以钴盐或钴、锰盐为催化剂,用空气连续氧化,生成对甲基苯甲酸和对苯二甲酸单甲酯。氧化生成物在200-280℃、2-2.5MPa下与过量的甲醇进行酯化反应。从酯化反应器顶部馏出甲醇,经蒸馏后回收循环使用;从酯化反应器底部出来的粗酯,经蒸馏分离出对甲基苯甲酸甲酯(循环到氧化反应器)和粗对苯二甲酸二甲酯。在溶解器中将粗对苯二甲酸二甲酯用甲醇溶解,然后送至结晶器析出结晶,离心分离,将得到的对苯二甲酸二甲酯再进行蒸馏提纯,即获得纤维级产品,纯度≥99.9%。原料消耗定额:对二甲苯630kg/t、甲醇440kg/t。在对苯二甲酸二甲酯的工业生产中,对二甲苯分段氧化酯化法发展较快。此法在进行氧化反应时不用溶剂,反应器不需用钛材,产品容易提纯,因此50年代后即被许多国家采用。缺点是以对二甲苯计的总收率较低(87%)。
|
|||||||||||||||||||||||||||||||||||||||||||||||||||||||||||||||||||||||||||||||||||||||||||||||||||||||||||||||||||||||||||||||||||||||||||||||||||||||||||||||||||||||||||||||||||||||||||||||||||||||||||||||||||||||||||||||||||||||||||||||||||||||
| 个人防护装备 | Eyeshields;Gloves;type N95 (US);type P1 (EN143) respirator filter |
|---|---|
| 风险声明 (欧洲) | R36/37/38 |
| 安全声明 (欧洲) | S24/25 |
| 危险品运输编码 | 3256 |
| WGK德国 | 1 |
| RTECS号 | WZ1225000 |

搜索







