4-硝基-2-甲苯胺
【用途一】
主要用于棉、麻纤维织物的染色和印花显色,也用于涂料的生产
主要用于棉、麻纤维织物的染色和印花显色,也用于涂料的生产
【用途二】
该品是冰染染料色基(红色基 RL),主要用于棉、麻纤维织物的染色和印花显色,也可用于涂料的生产。
该品是冰染染料色基(红色基 RL),主要用于棉、麻纤维织物的染色和印花显色,也可用于涂料的生产。
产品名称
-
中文名4-硝基-2-甲苯胺
-
英文名MNA
-
中文别名红色基RL | 对硝基邻甲苯胺 | 2-甲基-4-硝基苯胺
-
英文别名
p-nitro-o-methylaniline MNA Diabase Red RL 2-Amino-5-nitrotoluene Base Red Base Ciba X 5-nitro-2-amino-toluene 2-methyl-4-nitrophenylamine 4-NITRO-2-TOLUIDINE 4-amino-3-methyl-nitro-benzene Fast Red RL Base 2-methyl-4-nitro aniline Naphtoelan Red RL MFCD00007734 2-Methyl-4-nitroaniline 2-methyl-4-nitrobenzenamine 4-Nitro-o-toluidine Fast Red RL EINECS 202-762-1 o-Toluidine,4-nitro o-methyl-p-nitroaniline p-Nitro-o-toluidine Benzenamine, 2-methyl-4-nitro- methyl-4-nitroaniline Benzenamine,2-methyl-4-nitro -
常用名4-硝基-2-甲苯胺
-
C A S号99-52-5
物理性质
-
密度1.3±0.1 g/cm3
-
沸点341.0±22.0 °C at 760 mmHg
-
熔点130-132 °C(lit.)
-
化学式C7H8N2O2
-
结构式
-
闪点160.1±22.3 °C
-
分子量152.151
-
精确质量152.058578
-
P S A71.84000
-
外观形状黄色针状或芥末黄色粉末
-
储存条件
1.储存注意事项储存于阴凉、通风的库房。远离火种、热源。包装密封。应与酸类、食用化学品分开存放,切忌混储。配备相应品种和数量的消防器材。储区应备有合适的材料收容泄漏物。
2.采用胶合板桶内衬塑料袋包装。每桶30kg。贮运中要防止受热、受潮。按有毒危险品规定贮运。
-
稳定性
-
水溶解性
-
形态
-
H L B值
-
粘度
-
PH值
作用/用途
【用途一】
主要用于棉、麻纤维织物的染色和印花显色,也用于涂料的生产
主要用于棉、麻纤维织物的染色和印花显色,也用于涂料的生产
【用途二】
该品是冰染染料色基(红色基 RL),主要用于棉、麻纤维织物的染色和印花显色,也可用于涂料的生产。
该品是冰染染料色基(红色基 RL),主要用于棉、麻纤维织物的染色和印花显色,也可用于涂料的生产。
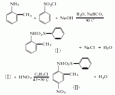
制备方法
采用邻甲苯胺与对甲磺酰氯为原料,经缩合、硝化、水解,中和及过滤干燥而得。原料消耗定额:邻甲苯胺(工业品)945kg/t、烧碱(100%)1350kg/t、苯磺酰氯(工业品)1650kg/t、小苏打(工业品)40kg/t、氯苯(工业品)460kg/t、硫酸(100%)3100kg/t、硝酸(98%)680kg/t、氨水(20%)6230kg/t、亚硝酸钠10kg/t、亚硫酸钠(工业品)26kg/t。
安全提醒
MSDS
2.对环境的影响: 一、健康危害 侵入途径:吸入、食入、经皮吸收。 健康危害:吸入、口服或经皮肤吸收对身体有害。对眼睛、粘膜、上呼吸道和皮肤有刺激性。吸收进入体内致高铁血红蛋白血症,出现紫绀。 二、毒理学资料及环境行为 危险特性:遇明火、高热或与氧化剂接触,有引起燃烧爆炸的危险。燃烧分解时,放出有毒的氮氧化物。 燃烧(分解)产物:一氧化碳、二氧化碳、氮氧化物。 3.现场应急监测方法: 4.实验室监测方法: 5.环境标准: 6.应急处理处置方法: 一、泄漏应急处理 隔离泄漏污染区,限制出入。切断火源。建议应急处理人员戴自给式呼吸器,穿一般作业工作服。小量泄漏:小心扫起,置于袋中转移至安全场所。大量泄漏:收集回收或运至废物处理场所处置。 二、防护措施 呼吸系统防护:空气中粉尘浓度超标时,佩带自吸过滤式防尘口罩。紧急事态抢救或撤离时,应该佩戴自给式呼吸器。 眼睛防护:戴化学安全防护眼镜。 身体护服:穿防毒物渗透工作服。 手防护:戴橡胶手套。 其它:工作现场禁止吸烟、进食和饮水。及时换洗工作服。工作前后不饮酒,用温水洗澡。注意检测毒物。实行就业前和定期的体检。 三、急救措施 皮肤接触:立即脱去被污染的衣着,用肥皂水及清水彻底冲洗皮肤。就医。 眼睛接触:提起眼睑,用流动清水或生理盐水冲洗。就医。 吸入:迅速脱离现场至空气新鲜处。保持呼吸道通畅。如呼吸困难,给输氧。如呼吸停止,立即进行人工呼吸。就医。 食入:饮足量温水,催吐。就医。 灭火方法:灭火剂:雾状水、二氧化碳、砂土、泡沫。 |
原料简介
应用范围
毒性和生态
安全信息
| 符号 |
GHS06, GHS08, GHS09 |
|---|---|
| 信号词 | Danger |
| 危害声明 | H301 + H311 + H331-H373-H411 |
| 警示性声明 | P261-P273-P280-P301 + P310-P311 |
| 个人防护装备 | dust mask type N95 (US);Eyeshields;Faceshields;Gloves;type P2 (EN 143) respirator cartridges |
| 危害码 (欧洲) | T:Toxic;N:Dangerousfortheenvironment; |
| 风险声明 (欧洲) | R23/24/25;R33;R51/53 |
| 安全声明 (欧洲) | S28-S36/37-S45-S61-S28A |
| 危险品运输编码 | UN 2660 6.1/PG 3 |
| WGK德国 | 2 |
| RTECS号 | XU8210000 |
| 包装等级 | III |
| 危险类别 | 6.1 |
| 海关编码 | 29214300 |
是否危险品
危险性
危险类别码
危险等级
触发危险方式
安全技术说明书
环境影响程度
包装与储运
相关供应商









