间氯苯胺盐酸盐
主要用于棉、麻、粘胶织物的染色和印花的显色剂,也用作医药和农药的中间体
产品名称
-
中文名间氯苯胺盐酸盐
-
英文名3-chloroaniline hydrochloride
-
中文别名橙色基GC | 盐酸间氯苯胺 | 3-氯苯胺盐酸盐
-
英文别名
3-chloroaniline,hydrochloride MFCD00035485 3-Chloroaniline hydrochloride EINECS 205-506-7 -
常用名间氯苯胺盐酸盐
-
C A S号141-85-5
物理性质
-
密度N/A
-
沸点227.8ºC at 760mmHg
-
熔点222°C (dec.)
-
化学式C6H7Cl2N
-
结构式
1、 摩尔折射率:35.38
2、 摩尔体积(cm3/mol):103.6
3、 等张比容(90.2K):268.9
4、 表面张力(dyne/cm):45.3
5、 极化率(10-24cm3):14.02
-
闪点123.9ºC
-
分子量164.03200
-
精确质量162.99600
-
P S A26.02000
-
外观形状
-
储存条件
密封保存。
采用内衬塑料袋的铁桶包装,每桶20kg或40kg。贮存在干燥、通风的地方,防止受热、受潮。按有毒化学品规定贮运。
-
稳定性
-
水溶解性
-
形态
-
H L B值
-
粘度
-
PH值
作用/用途
主要用于棉、麻、粘胶织物的染色和印花的显色剂,也用作医药和农药的中间体
制备方法
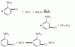
间硝基氯苯用铁粉还原得到间氯苯胺,经蒸馏,再与盐酸成盐析出,过滤,干燥,得成品。工业品干品重氮值≥95%。原料消耗定额:间氯苯胺(98%)840kg/t、盐酸(31%)882kg/t。
安全提醒
MSDS
|
3-氯苯胺盐酸盐
修改号码:5
模块1. 化学品 产品名称: 3-Chloroaniline Hydrochloride 修改号码: 5 模块2. 危险性概述 GHS分类 物理性危害未分类
健康危害 急性毒性(经口) 第4级 皮肤腐蚀/刺激 第2级 严重损伤/刺激眼睛 2A类 环境危害未分类 GHS标签元素 图标或危害标志 信号词警告 危险描述吞咽有害。 造成皮肤刺激 造成严重眼刺激 防范说明 [预防]使用本产品时切勿吃东西,喝水或吸烟。 处理后要彻底清洗双手。 穿戴防护手套/护目镜/防护面具。 [急救措施] 食入:若感不适,呼叫解毒中心/医生。漱口。 眼睛接触:用水小心清洗几分钟。如果方便,易操作,摘除隐形眼镜。继续冲洗。 眼睛接触:求医/就诊 皮肤接触:用大量肥皂和水轻轻洗。 若皮肤刺激:求医/就诊。 脱掉被污染的衣物,清洗后方可重新使用。 [废弃处置] 根据当地政府规定把物品/容器交与工业废弃处理机构。 3-氯苯胺盐酸盐 修改号码:5 模块3. 成分/组成信息 单一物质/混和物单一物质 化学名(中文名): 3-氯苯胺盐酸盐 百分比: >99.0%(LC)(N) CAS编码: 141-85-5 分子式: C6H6ClN·HCl 模块4. 急救措施 吸入: 将受害者移到新鲜空气处,保持呼吸通畅,休息。若感不适请求医/就诊。 皮肤接触: 立即去除/脱掉所有被污染的衣物。用大量肥皂和水轻轻洗。 若皮肤刺激或发生皮疹:求医/就诊。 眼睛接触:用水小心清洗几分钟。如果方便,易操作,摘除隐形眼镜。继续清洗。 如果眼睛刺激:求医/就诊。 食入: 若感不适,呼叫解毒中心/医生。漱口。 紧急救助者的防护:救援者需要穿戴个人防护用品,比如橡胶手套和气密性护目镜。 模块5. 消防措施 合适的灭火剂:干粉,泡沫,雾状水,二氧化碳 特殊危险性:小心,燃烧或高温下可能分解产生毒烟。 特定方法:从上风处灭火,根据周围环境选择合适的灭火方法。 非相关人员应该撤离至安全地方。 周围一旦着火:如果安全,移去可移动容器。 消防员的特殊防护用具:灭火时,一定要穿戴个人防护用品。 模块6. 泄漏应急处理 个人防护措施,防护用具, 使用个人防护用品。远离溢出物/泄露处并处在上风处。 紧急措施:泄露区应该用安全带等圈起来,控制非相关人员进入。 环保措施:防止进入下水道。 控制和清洗的方法和材料:清扫收集粉尘,封入密闭容器。注意切勿分散。附着物或收集物应该立即根据合适的 法律法规处置。 模块7. 操作处置与储存 处理 技术措施:在通风良好处进行处理。穿戴合适的防护用具。防止粉尘扩散。处理后彻底清洗双手 和脸。 注意事项:如果粉尘或浮质产生,使用局部排气。 操作处置注意事项:避免接触皮肤、眼睛和衣物。 贮存 储存条件:保持容器密闭。存放于凉爽、阴暗处。 远离不相容的材料比如氧化剂存放。 包装材料:依据法律。 模块8. 接触控制和个体防护 工程控制:尽可能安装封闭体系或局部排风系统,操作人员切勿直接接触。同时安装淋浴器和洗 眼器。 个人防护用品 呼吸系统防护:防尘面具。依据当地和政府法规。 手部防护:防护手套。 眼睛防护:安全防护镜。如果情况需要,佩戴面具。 皮肤和身体防护:防护服。如果情况需要,穿戴防护靴。 3-氯苯胺盐酸盐 修改号码:5 模块9. 理化特性 固体 外形(20°C): 外观: 晶体-粉末 颜色: 白色-微浅黄色 气味:无资料 pH:无数据资料 熔点:无资料 沸点/沸程无资料 闪点:无资料 爆炸特性 爆炸下限:无资料 爆炸上限:无资料 密度:无资料 溶解度: [水]溶于 [其他溶剂]无资料 模块10. 稳定性和反应性 化学稳定性:一般情况下稳定。 危险反应的可能性:未报道特殊反应性。 须避免接触的物质氧化剂 危险的分解产物: 一氧化碳, 二氧化碳, 氮氧化物 (NOx), 氯化氢 模块11. 毒理学信息 急性毒性:无资料 对皮肤腐蚀或刺激:无资料 对眼睛严重损害或刺激:无资料 生殖细胞变异原性:无资料 致癌性: IARC =无资料 NTP =无资料 生殖毒性:无资料 RTECS 号码: BX1393800 模块12. 生态学信息 生态毒性: 鱼类:无资料 甲壳类:无资料 藻类:无资料 残留性 / 降解性:无资料 潜在生物累积 (BCF):无资料 土壤中移动性 log水分配系数:无资料 土壤吸收系数 (Koc):无资料 亨利定律无资料 constant(PaM3/mol): 模块13. 废弃处置 如果可能,回收处理。请咨询当地管理部门。建议在可燃溶剂中溶解混合,在装有后燃和洗涤装置的化学焚烧炉中 焚烧。废弃处置时请遵守国家、地区和当地的所有法规。 3-氯苯胺盐酸盐 修改号码:5 模块14. 运输信息 联合国分类:与联合国分类标准不一致 UN编号:未列明 模块15. 法规信息 《危险化学品安全管理条例》(2002年1月26日国务院发布,2011年2月16日修订): 针对危险化学品的安全使用、 生产、储存、运输、装卸等方面均作了相应的规定。 《危险化学品名录(2002版)》CN编号:61767 模块16 - 其他信息 N/A |
原料简介
应用范围
毒性和生态
安全信息
| 危害码 (欧洲) | T:Toxic;N:Dangerousfortheenvironment; |
|---|---|
| 风险声明 (欧洲) | R23/24/25;R33;R50/53 |
| 安全声明 (欧洲) | S28-S36/37-S45-S60-S61 |
| 危险品运输编码 | 2811 |
| RTECS号 | BX1393800 |
| 包装等级 | III |
| 危险类别 | 6.1 |
| 海关编码 | 2921420090 |
是否危险品
危险性
危险类别码
危险等级
触发危险方式
安全技术说明书
环境影响程度
包装与储运
相关供应商








