邻氯苯胺盐酸盐
【用途一】
主要用作棉织物染色和印花的显色剂,也可用作染料和农药的中间体
主要用作棉织物染色和印花的显色剂,也可用作染料和农药的中间体
【用途二】
是冰染染料的色基,用于棉织物、粘胶织物的染色和印花的显色剂,还可用作染料中间体
【用途三】
冰染染料的色基,用于毛巾、色纱、色布等棉织物、粘胶织物的染色和印花的显色剂。也用于有机合成中间体。
是冰染染料的色基,用于棉织物、粘胶织物的染色和印花的显色剂,还可用作染料中间体
【用途三】
冰染染料的色基,用于毛巾、色纱、色布等棉织物、粘胶织物的染色和印花的显色剂。也用于有机合成中间体。
产品名称
-
中文名邻氯苯胺盐酸盐
-
英文名2-Chloroaniline Hydrochloride
-
中文别名盐酸-2-氯苯胺 | 2-氯苯胺盐酸盐 | C.I.冰染重氮组分44 | 显色基黄GC | 黄贝司
-
英文别名
EINECS 205-274-7 MFCD00053282 2-chloroaniline,hydrochloride 2-Chloroaniline hydrochloride -
常用名邻氯苯胺盐酸盐
-
C A S号137-04-2
物理性质
-
密度N/A
-
沸点208.8ºC at 760mmHg
-
熔点220°C (subl.)
-
化学式C6H7Cl2N
-
结构式
-
闪点97.8ºC
-
分子量164.03200
-
精确质量162.99600
-
P S A26.02000
-
外观形状
-
储存条件
采用铁桶内衬塑料袋包装,每桶20kg。贮存于通风、干燥处,避免日晒,防止受热、受潮。按有毒化学品规定贮运。
-
稳定性
-
水溶解性
-
形态白色至灰色片状结晶
-
H L B值
-
粘度
-
PH值
作用/用途
【用途一】
主要用作棉织物染色和印花的显色剂,也可用作染料和农药的中间体
主要用作棉织物染色和印花的显色剂,也可用作染料和农药的中间体
【用途二】
是冰染染料的色基,用于棉织物、粘胶织物的染色和印花的显色剂,还可用作染料中间体
【用途三】
冰染染料的色基,用于毛巾、色纱、色布等棉织物、粘胶织物的染色和印花的显色剂。也用于有机合成中间体。
是冰染染料的色基,用于棉织物、粘胶织物的染色和印花的显色剂,还可用作染料中间体
【用途三】
冰染染料的色基,用于毛巾、色纱、色布等棉织物、粘胶织物的染色和印花的显色剂。也用于有机合成中间体。
制备方法
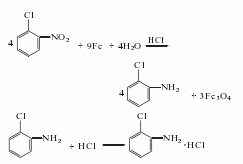
邻硝基氯苯以30%盐酸、水、铁粉进行还原,得邻氯苯胺,经精制后加30%盐酸成盐,过滤,干燥,即得成品。工业品为浅灰色粉末,含量≥90%,盐酸不溶物≤0.2%,与色酚AS偶合的强度和色光应符合要求。原料消耗定额:邻硝基氯苯1002kg/t、铁粉1011kg/t、盐酸(31%)1092kg/t
安全提醒
MSDS
|
2-氯苯胺盐酸盐
修改号码:5
模块1. 化学品 产品名称: 2-Chloroaniline Hydrochloride 修改号码: 5 模块2. 危险性概述 GHS分类 物理性危害未分类
健康危害 急性毒性(经口) 第2级 急性毒性(经皮) 第2级 急性毒性(吸入) 第2级 环境危害 急性水生毒性 第1级 慢性水生毒性 第1级 GHS标签元素 图标或危害标志 信号词危险 危险描述吸入或皮肤接触或吞咽致命。 对水生生物有极毒性 长期影响对水生生物有极毒性 防范说明 [预防]切勿吸入。 切勿碰到眼睛,皮肤或衣服。 只能在室外或通风良好的环境下使用。 避免释放到环境中。 使用本产品时切勿吃东西,喝水或吸烟。 处理后要彻底清洗双手。 佩戴防护面具。 穿戴防护手套/护目镜/防护面具。 2-氯苯胺盐酸盐 修改号码:5 模块2. 危险性概述 [急救措施] 吸入:将受害者移到新鲜空气处,在呼吸舒适的地方保持休息。立即呼叫解毒中心/医 生。 食入:立即呼叫解毒中心/医生。 皮肤接触:用大量肥皂和水轻轻洗。 立即去除/脱掉所有被污染的衣物。 被污染的衣物清洗后方可重新使用。 立即呼叫解毒中心/医生。 收集溢出物。 [储存]存放于通风良好处。保持容器密闭。 存放处须加锁。 [废弃处置] 根据当地政府规定把物品/容器交与工业废弃处理机构。 模块3. 成分/组成信息 单一物质/混和物单一物质 化学名(中文名): 2-氯苯胺盐酸盐 百分比: >95.0%(T) CAS编码: 137-04-2 分子式: C6H6ClN·HCl 模块4. 急救措施 吸入: 将受害者移到新鲜空气处,保持呼吸通畅,休息。立即呼叫解毒中心/医生。 皮肤接触: 立即去除/脱掉所有被污染的衣物。用大量肥皂和水轻轻洗。 立即呼叫解毒中心/医生。 眼睛接触:用水小心清洗几分钟。如果方便,易操作,摘除隐形眼镜。继续清洗。 立即呼叫解毒中心/医生。 食入: 立即呼叫解毒中心/医生。漱口。 紧急救助者的防护:救援者需要穿戴个人防护用品,比如橡胶手套和气密性护目镜。 模块5. 消防措施 合适的灭火剂:干粉,泡沫,雾状水,二氧化碳 特殊危险性:小心,燃烧或高温下可能分解产生毒烟。 特定方法:从上风处灭火,根据周围环境选择合适的灭火方法。 非相关人员应该撤离至安全地方。 周围一旦着火:如果安全,移去可移动容器。 消防员的特殊防护用具:灭火时,一定要穿戴个人防护用品。 模块6. 泄漏应急处理 个人防护措施,防护用具, 使用特殊的个人防护用品(自携式呼吸器)。远离溢出物/泄露处并处在上风处。 紧急措施:泄露区应该用安全带等圈起来,控制非相关人员进入。 环保措施:小心,切勿排入河流等。因为考虑对环境有负面影响。 控制和清洗的方法和材料:清扫收集粉尘,封入密闭容器。注意切勿分散。附着物或收集物应该立即根据合适的 法律法规处置。 模块7. 操作处置与储存 处理 技术措施:在通风良好处进行处理。穿戴合适的防护用具。防止粉尘扩散。处理后彻底清洗双手 和脸。 注意事项:如果可能,使用封闭系统。如果粉尘或浮质产生,使用局部排气。 操作处置注意事项:避免接触皮肤、眼睛和衣物。 2-氯苯胺盐酸盐 修改号码:5 模块7. 操作处置与储存 贮存 储存条件:保持容器密闭。存放于凉爽、阴暗、通风良好处。 存放处须加锁。 远离不相容的材料比如氧化剂存放。 包装材料:依据法律。 模块8. 接触控制和个体防护 工程控制:尽可能安装封闭体系或局部排风系统。同时安装淋浴器和洗眼器。 个人防护用品 呼吸系统防护: 防尘面具,自携式呼吸器(SCBA),供气呼吸器等。使用通过政府标准的呼吸器。依 据当地和政府法规。 手部防护:防渗手套。 眼睛防护:护目镜。如果情况需要,佩戴面具。 皮肤和身体防护:防渗防护服。如果情况需要,穿戴防护靴。 模块9. 理化特性 固体 外形(20°C): 外观: 晶体-粉末 颜色: 白色-微浅黄色 气味:无资料 pH:无数据资料 熔点:无资料 沸点/沸程无资料 闪点:无资料 爆炸特性 爆炸下限:无资料 爆炸上限:无资料 密度:无资料 溶解度: [水]无资料 [其他溶剂]无资料 模块10. 稳定性和反应性 化学稳定性:一般情况下稳定。 危险反应的可能性:未报道特殊反应性。 须避免接触的物质氧化剂 危险的分解产物: 一氧化碳, 二氧化碳, 氮氧化物 (NOx), 氯化氢 模块11. 毒理学信息 急性毒性:无资料 对皮肤腐蚀或刺激:无资料 对眼睛严重损害或刺激:无资料 生殖细胞变异原性:无资料 致癌性: IARC =无资料 NTP =无资料 生殖毒性:无资料 2-氯苯胺盐酸盐 修改号码:5 模块12. 生态学信息 生态毒性: 鱼类:无资料 甲壳类:无资料 藻类:无资料 残留性 / 降解性:无资料 潜在生物累积 (BCF):无资料 土壤中移动性 log水分配系数:无资料 土壤吸收系数 (Koc):无资料 亨利定律无资料 constant(PaM3/mol): 模块13. 废弃处置 如果可能,回收处理。请咨询当地管理部门。建议在可燃溶剂中溶解混合,在装有后燃和洗涤装置的化学焚烧炉中 焚烧。废弃处置时请遵守国家、地区和当地的所有法规。 模块14. 运输信息 联合国分类: 第1项 毒害品。 UN编号: 2018 正式运输名称: 氯苯胺, 固体 包装等级: II 海洋污染物: Y 模块15. 法规信息 《危险化学品安全管理条例》(2002年1月26日国务院发布,2011年2月16日修订): 针对危险化学品的安全使用、 生产、储存、运输、装卸等方面均作了相应的规定。 《危险化学品名录(2002版)》CN编号:61767 模块16 - 其他信息 N/A |
原料简介
应用范围
毒性和生态
安全信息
| 危害码 (欧洲) | T:Toxic;N:Dangerousfortheenvironment; |
|---|---|
| 风险声明 (欧洲) | R23/24/25;R33;R50/53 |
| 安全声明 (欧洲) | S28-S36/37-S45-S60-S61 |
| 危险品运输编码 | 2811 |
| 包装等级 | III |
| 危险类别 | 6.1 |
| 海关编码 | 2921420090 |
是否危险品
危险性
危险类别码
危险等级
触发危险方式
安全技术说明书
环境影响程度
包装与储运
相关供应商

搜索







