罗丹明b
Rhodamine B 是一种荧光染料,常用于染色纺织品、纸张、肥皂、皮革和药品.
产品名称
-
中文名罗丹明B
-
英文名Rhodamine B
-
中文别名罗丹明610 | 玖瑰红B | 蓝光碱性蕊香红 | 四乙基罗丹明 | 玫瑰红B | 碱性紫 10 | 若丹明 B | 玫瑰露 | 若丹明B | 蕊香红B | 玫瑰精B | 碱性玫瑰精
-
英文别名
Basic Violet 10 redno213 D and C Red No. 19 c.i.749 9-(2-carboxyphenyl)-3,6-bis(diethylamino)xanthylium chloride MFCD00011931 AKA214 rhodamine blue AKA213 Pilot578 EINECS 201-383-9 Rhodamine B rhodamine hydrochloride C.I. Basic Violet 10 -
常用名罗丹明b
-
C A S号81-88-9
物理性质
-
密度0.79 g/mL at 20 °C
-
沸点N/A
-
熔点210-211 (dec.)(lit.)
-
化学式C28H31ClN2O3
-
结构式
-
闪点12 °C
-
分子量479.010
-
精确质量478.202332
-
P S A56.69000
-
外观形状红色至紫罗兰色粉末
-
储存条件
密封于阴凉干燥处保存。
-
稳定性
-
水溶解性
-
形态
-
H L B值
-
粘度
-
PH值
作用/用途
Rhodamine B 是一种荧光染料,常用于染色纺织品、纸张、肥皂、皮革和药品.
制备方法
1.由间羟基二乙基苯胺与苯酐综合,再用氢氧化钠进行碱熔,而后经硫酸溶解、盐酸结晶、盐析、过滤、干燥即得该品。
原料消耗(kg/t) 间羟基二乙基苯胺 760苯酐 600 硫酸 590 盐酸(31%) 390 氢氧化钠(100%) 390 精盐 120 太古油 19。
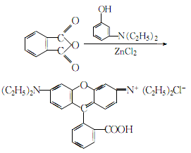
2.将过量的邻苯二甲酸酐和间羟基-N,N- 二乙基苯胺混匀,慢慢加热至100℃,再加入适量新焙烧的无水氯化锌作为脱水剂,充分搅拌下将温度逐渐升高至边反应边脱水:
待反应结束后,冷却固化,粉碎后,用热乙醇提取,提取液冷却后,即有罗丹明犅析出。分离出的结晶用稀盐酸溶解,蒸发浓缩,冷却结晶,分离,干燥后,即得成品。
3.在50℃下,将工业品玫瑰晶精犅用碳酸钠溶液洗涤,罗丹明犅生成不溶性钠盐。而邻苯二甲酸钠溶于水中,过滤后,用水洗涤结晶,除去游离碱,分离后再将结晶加到盐酸中生成盐酸盐,再用水重结晶,即得试剂罗丹明B.
安全提醒
MSDS
|
模块1. 化学品 1.1 产品标识符 : 若丹明 B 产品名称 1.2 鉴别的其他方法 无数据资料
1.3 有关的确定了的物质或混合物的用途和建议不适合的用途
仅用于研发。不作为药品、家庭或其它用途。 模块2. 危险性概述 2.1 GHS-分类 急性毒性, 经口 (类别 4) 严重眼睛损伤 (类别 1) 急性水生毒性 (类别 3) 慢性水生毒性 (类别 3) 2.2 GHS 标记要素,包括预防性的陈述 象形图 警示词危险 危险申明 H302吞咽有害。 H318造成严重眼损伤。 H412对水生生物有害并有长期持续的影响。 警告申明 预防措施 P264操作后彻底清洁皮肤。 P270使用本产品时不要进食、饮水或吸烟。 P273避免释放到环境中。 P280戴护目镜/戴面罩。 事故响应 P301 + P312如果吞咽并觉不适: 立即呼叫解毒中心或就医。 P305 + P351 + P338如与眼睛接触,用水缓慢温和地冲洗几分钟。如戴隐形眼镜并可方便地取 出,取出隐形眼镜,然后继续冲洗. P310立即呼叫中毒控制中心或医生. P330漱口。 废弃处置 P501将内容物/ 容器处理到得到批准的废物处理厂。 2.3 其它危害物 - 无 模块3. 成分/组成信息 3.1 物 质 : C28H31ClN2O3 分子式 : 479.01 g/mol 分子量 组分浓度或浓度范围 9-(2-Carboxyphenyl)-3,6-bis(diethylamino)xanthylium chloride <=100% 化学文摘登记号(CAS 81-88-9 No.) 201-383-9 EC-编号 模块4. 急救措施 4.1 必要的急救措施描述 一般的建议 请教医生。 向到现场的医生出示此安全技术说明书。 吸入 如果吸入,请将患者移到新鲜空气处。 如呼吸停止,进行人工呼吸。 请教医生。 皮肤接触 用肥皂和大量的水冲洗。 请教医生。 眼睛接触 用大量水彻底冲洗至少15分钟并请教医生。 食入 切勿给失去知觉者通过口喂任何东西。 用水漱口。 请教医生。 4.2 主要症状和影响,急性和迟发效应 中毒症状, 灼伤感:, 咳嗽, 喘息, 喉炎, 呼吸短促, 头痛, 恶心, 呕吐 4.3 及时的医疗处理和所需的特殊处理的说明和指示 无数据资料 模块5. 消防措施 5.1 灭火介质 灭火方法及灭火剂 用水雾,抗乙醇泡沫,干粉或二氧化碳灭火。 5.2 源于此物质或混合物的特别的危害 碳氧化物, 氮氧化物, 氯化氢气体 5.3 给消防员的建议 如必要的话,戴自给式呼吸器去救火。 5.4 进一步信息 无数据资料 模块6. 泄露应急处理 6.1 作业人员防护措施、防护装备和应急处置程序 使用个人防护用品。 避免粉尘生成。 避免吸入蒸气、烟雾或气体。 保证充分的通风。 人员疏散到安全区域。 避免吸入粉尘。 6.2 环境保护措施 如能确保安全,可采取措施防止进一步的泄漏或溢出。 不要让产品进入下水道。 一定要避免排放到周围环境中。 6.3 泄漏化学品的收容、清除方法及所使用的处置材料 收集和处置时不要产生粉尘。 扫掉和铲掉。 放入合适的封闭的容器中待处理。 6.4 参考其他部分 丢弃处理请参阅第13节。 模块7. 操作处置与储存 7.1 安全操作的注意事项 避免接触皮肤和眼睛。 避免形成粉尘和气溶胶。 在有粉尘生成的地方,提供合适的排风设备。 7.2 安全储存的条件,包括任何不兼容性 贮存在阴凉处。 使容器保持密闭,储存在干燥通风处。 7.3 特定用途 无数据资料 模块8. 接触控制和个体防护 8.1 容许浓度 最高容许浓度 没有已知的国家规定的暴露极限。 8.2 暴露控制 适当的技术控制 根据良好的工业卫生和安全规范进行操作。 休息前和工作结束时洗手。 个体防护设备 眼/面保护 面罩與安全眼鏡请使用经官方标准如NIOSH (美国) 或 EN 166(欧盟) 检测与批准的设备防护眼部。 皮肤保护 戴手套取 手套在使用前必须受检查。 请使用合适的方法脱除手套(不要接触手套外部表面),避免任何皮肤部位接触此产品. 使用后请将被污染过的手套根据相关法律法规和有效的实验室规章程序谨慎处理. 请清洗并吹干双手 所选择的保护手套必须符合EU的89/686/EEC规定和从它衍生出来的EN 376标准。 完全接触 物料: 丁腈橡胶 最小的层厚度 0.11 mm 溶剂渗透时间: 480 min 测试过的物质Dermatril® (KCL 740 / Z677272, 规格 M) 飞溅保护 物料: 丁腈橡胶 最小的层厚度 0.11 mm 溶剂渗透时间: 480 min 测试过的物质Dermatril® (KCL 740 / Z677272, 规格 M) , 测试方法 EN374 如果以溶剂形式应用或与其它物质混合应用,或在不同于EN 374规定的条件下应用,请与EC批准的手套的供应商联系。 这个推荐只是建议性的,并且务必让熟悉我们客户计划使用的特定情况的工业卫生学专家评估确认才可. 这不应该解释为在提供对任何特定使用情况方法的批准. 身体保护 全套防化学试剂工作服, 防护设备的类型必须根据特定工作场所中的危险物的浓度和数量来选择。 呼吸系统防护 如危险性评测显示需要使用空气净化的防毒面具,请使用全面罩式多功能微粒防毒面具N100型(US )或P3型(EN 143)防毒面具筒作为工程控制的候补。如果防毒面具是保护的唯一方式,则使用全面罩式送风防毒 面具。 呼吸器使用经过测试并通过政府标准如NIOSH(US)或CEN(EU)的呼吸器和零件。 模块9. 理化特性 9.1 基本的理化特性的信息 a) 外观与性状 形状: 粉末 颜色: 红色 b) 气味 无数据资料 c) 气味阈值 无数据资料 d) pH值 无数据资料 e) 熔点/凝固点 210 - 211 °C f) 沸点、初沸点和沸程 无数据资料 g) 闪点 无数据资料 h) 蒸发速率 无数据资料 i) 易燃性(固体,气体) 无数据资料 j) 高的/低的燃烧性或爆炸性限度 无数据资料 k) 蒸气压 无数据资料 l) 蒸汽密度 无数据资料 m) 密度/相对密度 0.79 g/cm3 n) 水溶性 无数据资料 o) n-辛醇/水分配系数 无数据资料 p) 自燃温度 无数据资料 q) 分解温度 无数据资料 r) 粘度 无数据资料 模块10. 稳定性和反应活性 10.1 反应性 无数据资料 10.2 稳定性 无数据资料 10.3 危险反应 无数据资料 10.4 应避免的条件 无数据资料 10.5 不相容的物质 强氧化剂 10.6 危险的分解产物 其它分解产物 - 无数据资料 模块11. 毒理学资料 11.1 毒理学影响的信息 急性毒性 半数致死剂量 (LD50) 经口 - 小鼠 - 887 mg/kg 最低致死剂量 经口 - 大鼠 - 500 mg/kg 皮肤刺激或腐蚀 皮肤 - 兔子 - 无皮肤刺激 眼睛刺激或腐蚀 眼睛 - 兔子 - 严重的眼睛刺激 呼吸道或皮肤过敏 长期或反复接触导致个别人过敏反应 生殖细胞致突变性 细胞突变性-体外试验 - Ames 试验(艾姆斯试验) - 鼠伤寒沙门氏菌 组氨酸逆转(Ames) 细胞突变性-体外试验 - 仓鼠 - 子宫 DNA损伤 细胞突变性-体外试验 - 仓鼠 - 子宫 细胞发生分析 致癌性 致癌性 - 大鼠 - 皮下的 肿瘤发生:符合RTECS标准的可疑致癌试剂。 致癌性 - 大鼠 - 皮下的 肿瘤发生:符合RTECS标准的可疑致癌试剂。 血:淋巴瘤包括何杰金病。 肿瘤发生:在敏感细胞株中增加原位肿瘤的机会。 该产品不是或不包含被IARC, ACGIH, EPA, 和 NTP 列为致癌物的组分 IARC: 3 - 第3组:未被分类为对人类致癌 (9-(2-Carboxyphenyl)-3,6-bis(diethylamino)xanthylium chloride) 生殖毒性 生殖毒性 - 小鼠 - 腹膜内的 对胚胎或胎儿的影响:胎儿毒性(死亡除外,例如矮小胎儿)。 特异性靶器官系统毒性(一次接触) 无数据资料 特异性靶器官系统毒性(反复接触) 无数据资料 吸入危险 无数据资料 潜在的健康影响 吸入吸入可能有害。 可能引起呼吸道刺激。 摄入误吞对人体有害。 皮肤通过皮肤吸收可能有害。 可能引起皮肤刺激。 眼睛引起眼睛灼伤。 接触后的征兆和症状 中毒症状, 灼伤感:, 咳嗽, 喘息, 喉炎, 呼吸短促, 头痛, 恶心, 呕吐 附加说明 化学物质毒性作用登记: BP3675000 模块12. 生态学资料 12.1 生态毒性 对鱼类的毒性半数致死浓度(LC50) - 杂色鳉(红鲈) - 83.9 mg/l - 96 h 半数致死浓度(LC50) - 蓝鳃太阳鱼 - 379 mg/l - 96 h 半数致死浓度(LC50) - 虹鳟 (红鳟鱼) - 217 mg/l - 96 h 对水蚤和其他水生无脊半数效应浓度(EC50) - 大型蚤 (水蚤) - 22.9 mg/l - 48 h 椎动物的毒性 12.2 持久性和降解性 生物降解能力结果: 0 % - 非快速生物降解 方法: 经济合作和发展组织的试验指导书302 12.3 潜在的生物累积性 生物富集或生物积累性鲫属 (鲤鱼) - 24 d -0.1 mg/l 生物富集因子 (BCF): < 0.2 12.4 土壤中的迁移性 无数据资料 12.5 PBT 和 vPvB的结果评价 无数据资料 12.6 其它不良影响 对水生生物有害并有长期持续的影响。 无数据资料 模块13. 废弃处置 13.1 废物处理方法 产品 将剩余的和不可回收的溶液交给有许可证的公司处理。 与易燃溶剂相溶或者相混合,在备有燃烧后处理和洗刷作用的化学焚化炉中燃烧 受污染的容器和包装 按未用产品处置。 模块14. 运输信息 14.1 联合国危险货物编号 欧洲陆运危规: -国际海运危规: -国际空运危规: - 14.2 联合国运输名称 欧洲陆运危规: 非危险货物 国际海运危规: 非危险货物 国际空运危规: 非危险货物 14.3 运输危险类别 欧洲陆运危规: -国际海运危规: -国际空运危规: - 14.4 包裹组 欧洲陆运危规: -国际海运危规: -国际空运危规: - 14.5 环境危险 欧洲陆运危规: 否国际海运危规国际空运危规: 否 海洋污染物(是/否): 否 14.6 对使用者的特别提醒 无数据资料 模块 15 - 法规信息 N/A 模块16 - 其他信息 N/A |
原料简介
应用范围
毒性和生态
安全信息
| 符号 |
GHS05, GHS07 |
|---|---|
| 信号词 | Danger |
| 危害声明 | H302-H318-H412 |
| 警示性声明 | P273-P280-P305 + P351 + P338 |
| 个人防护装备 | dust mask type N95 (US);Eyeshields;Gloves |
| 危害码 (欧洲) | Xn:Harmful |
| 风险声明 (欧洲) | R22;R41;R68 |
| 安全声明 (欧洲) | S7-S16-S24/25-S26-S36/37/39-S39 |
| 危险品运输编码 | UN 1219 3/PG 2 |
| WGK德国 | 2 |
| RTECS号 | BP3675000 |
| 海关编码 | 32041300 |
是否危险品
危险性
危险类别码
危险等级
触发危险方式
安全技术说明书
环境影响程度
包装与储运
相关供应商

搜索







