溶剂黄 2
【用途一】
该品为酸碱指示剂。pH2.9(红)-4.0(黄)。非水溶液滴定用指示剂及胃液中游离盐酸的测定。
该品为酸碱指示剂。pH2.9(红)-4.0(黄)。非水溶液滴定用指示剂及胃液中游离盐酸的测定。
【用途二】
酸碱指示剂,pH2.9(红)~4.0(黄),测定胃液中的游离盐酸,过氧化脂肪的点滴试验。
酸碱指示剂,pH2.9(红)~4.0(黄),测定胃液中的游离盐酸,过氧化脂肪的点滴试验。
产品名称
-
中文名溶剂黄 2
-
英文名Methyl Yellow
-
中文别名溶剂黄2 | 对二甲基氨基偶氮苯 | N,N-二甲基-4-(苯偶氮基)苯胺 | 甲基黄 | 奶油黄 | 二甲基黄(4-二甲基氨基偶胺苯) | 二甲基黄 | 4-(二甲氨基)偶氮苯
-
英文别名
Azobenzene, p-dimethylamino- Aniline, N,N-dimethyl-p-phenylazo- 4′-(dimethylamino)azobenzene N,N-Dimethyl-p-phenylazoaniline Benzenamine, N,N-dimethyl-4- (phenylazo)- p-Dimethylaminoazobenzen MFCD00008308 4-(N,N-DIMETHYLAMINO)AZOBENZENE N,N-Dimethyl-4-[(E)-phenyldiazenyl]aniline EINECS 200-455-7 N,N-Diméthyl-4-[(E)-phényldiazènyl]aniline 4-dimethylaminophenylazobenzene Butter Yellow C.I. Solvent Yellow 2 (8CI) Azobenzene, p-(dimethylamino)- C.I. SOLVENT YELLOW 2 Dimethyl yellow Solvent Yellow 2 Methyl Yellow Aniline, N,N-dimethyl-p-(phenylazo)- Benzenamine, N,N-dimethyl-4-[(E)-2-phenyldiazenyl]- N,N-dimethyl-4-(phenylazo)aniline benzenamine, N,N-dimethyl-4-[(E)-phenylazo]- p-Dimethylaminoazobenzene Benzenamine, N,N-dimethyl-4-(phenylazo)- p-(Dimethylamino)azobenzene 4-(Dimethylamino)azobenzene 4-DIMETHYLAMINOAZOBENZENE 4-(Dimethylamino)phenylazobenzene 4′-dimethylaminoazobenzene N,N-Dimethyl-4-(phenylazo)benzenamine N,N-Dimethyl-4-phenylazoaniline N,N-Dimethyl-p-(phenylazo)aniline -
常用名溶剂黄 2
-
C A S号60-11-7
物理性质
-
密度1.0±0.1 g/cm3
-
沸点371.0±25.0 °C at 760 mmHg
-
熔点111 °C (dec.)(lit.)
-
化学式C14H15N3
-
结构式
1、 摩尔折射率:71.66
2、 摩尔体积(cm3/mol):219.4
3、 等张比容(90.2K):543.9
4、 表面张力(dyne/cm):37.7
5、 极化率(10-24cm3):28.40
-
闪点178.2±23.2 °C
-
分子量225.289
-
精确质量225.126602
-
P S A27.96000
-
外观形状橙色粉末
-
储存条件
本品应密封避光保存。
-
稳定性
-
水溶解性
-
形态金黄色片状或橙黄色粉末。
-
H L B值
-
粘度
-
PH值
作用/用途
【用途一】
该品为酸碱指示剂。pH2.9(红)-4.0(黄)。非水溶液滴定用指示剂及胃液中游离盐酸的测定。
该品为酸碱指示剂。pH2.9(红)-4.0(黄)。非水溶液滴定用指示剂及胃液中游离盐酸的测定。
【用途二】
酸碱指示剂,pH2.9(红)~4.0(黄),测定胃液中的游离盐酸,过氧化脂肪的点滴试验。
酸碱指示剂,pH2.9(红)~4.0(黄),测定胃液中的游离盐酸,过氧化脂肪的点滴试验。
制备方法
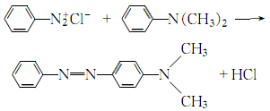
1.将苯胺慢慢加入带有碎冰的浓盐酸中,使之混合均匀,控制温度为0~5℃,在搅拌下将亚硝酸钠滴加到苯胺的盐酸溶液中,进行重氮化反应:
反应结束后,再加入配好的二甲基苯胺,维持温度在5℃以下,边搅拌边加入工业醋酸钠,搅拌3h后再加入少量醋酸钠,进行反应:
静置后过滤,黄色结晶先干燥,再依次用甲苯、乙醇重结晶,即可得成品二甲基黄。
安全提醒
MSDS
|
||||||||||||||||||||||||||||||||||||||||||||||||||||||||||||||||||||||||||||||||||||||||||||||||||||||||||||||||||||||||||||||||||||||||||||||||||||||||||||||||||||||||||||||||||||||||||||||||||||||||||||||||||||||||||||||||||||||||||||||||||||||||||
原料简介
应用范围
毒性和生态
安全信息
| 符号 |
GHS06, GHS08 |
|---|---|
| 信号词 | Danger |
| 危害声明 | H301-H351 |
| 警示性声明 | P281-P301 + P310 |
| 个人防护装备 | Eyeshields;Faceshields;Gloves;type P2 (EN 143) respirator cartridges |
| 危害码 (欧洲) | T:Toxic; |
| 风险声明 (欧洲) | R25;R40;R68 |
| 安全声明 (欧洲) | S36/37-S45 |
| 危险品运输编码 | UN 2811 6.1/PG 3 |
| WGK德国 | 3 |
| RTECS号 | BX7350000 |
| 包装等级 | III |
| 危险类别 | 6.1 |
| 海关编码 | 29270000 |
是否危险品
危险性
危险类别码
危险等级
触发危险方式
安全技术说明书
环境影响程度
包装与储运
相关供应商









