3-溴甲基噻吩
主要用于制备3-噻吩甲醛、3-噻吩乙腈和3-噻吩丙二酸等。
产品名称
-
中文名3-溴甲基噻吩
-
英文名3-thenyl bromide
-
中文别名3-(溴甲基)噻吩 | 3-甲基溴噻吩
-
英文别名
thien-3-ylmethyl bromide thiophen-3-ylmethyl bromide 3-Thienylmethyl bromide Thiophene, 3-(bromomethyl)- 3-Bromomethyl-thiophene EINECS 252-247-0 3-(Bromomethyl)thiophene 3-thenyl bromide MFCD03840497 -
常用名3-溴甲基噻吩
-
C A S号34846-44-1
物理性质
-
密度1.6±0.1 g/cm3
-
沸点197.6±15.0 °C at 760 mmHg
-
熔点N/A
-
化学式C5H5BrS
-
结构式
1、 摩尔折射率:37.28
2、 摩尔体积(cm3/mol):108.4
3、 等张比容(90.2K):279.3
4、 表面张力(dyne/cm):44.1
5、 极化率(10-24cm3):14.78
-
闪点73.3±20.4 °C
-
分子量177.062
-
精确质量175.929520
-
P S A28.24000
-
外观形状
-
储存条件
-
稳定性
-
水溶解性
-
形态
-
H L B值
-
粘度
-
PH值
作用/用途
主要用于制备3-噻吩甲醛、3-噻吩乙腈和3-噻吩丙二酸等。
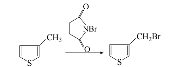
制备方法
在搪玻璃溴化釜内投入苯、3-甲基噻吩和一半的过氧化苯甲酰,开启搅拌及蒸汽加热系统,慢慢升温至回流,然后分批加入N-溴代丁二酰亚胺和另一半的过氧化苯甲酰,约加45~60min。加毕,继续回流直到反应达终点(混合物发泡减慢)。反应结束后,冷却,使副产物丁二酰亚胺从苯中析出,并过滤以回收丁二酰亚胺。滤液转移至蒸馏釜,先减压回收苯,再高真空下蒸馏产品,接收0.133kPa下75~78℃的馏分,即得该产品。收率大于75%。
安全提醒
MSDS
|
3-溴甲基噻吩MSDS英文版
|
原料简介
应用范围
毒性和生态
安全信息
| 危害码 (欧洲) | Xi |
|---|---|
| 海关编码 | 2934999090 |
是否危险品
危险性
危险类别码
危险等级
触发危险方式
安全技术说明书
环境影响程度
包装与储运
相关供应商

搜索






