头孢曲松
Ceftriaxone是抗生素,能结合PBPs。
产品名称
-
中文名头孢曲松
-
英文名Ceftriaxone
-
中文别名(6R,7R)-7-[[(2E)-2-(2-氨基-1,3-噻唑-4-基)-2-甲氧基亚氨乙酰]氨基]-3-[(2-甲基-5,6-二氧代-1H-1,2,4-三嗪-3-基)硫甲基]-8-氧代-5-硫-1-氮杂双环[4.2.0]辛-2-烯-2-甲酸 | 氨噻三嗪头孢菌素
-
英文别名
Ceftriazone Biotrakson 5-Thia-1-azabicyclo[4.2.0]oct-2-ene-2-carboxylic acid, 7-[[(2Z)-2-(2-amino-4-thiazolyl)-2-(methoxyimino)-1-oxoethyl]amino]-8-oxo-3-[[(1,2,5,6-tetrahydro-2-methyl-5,6-dioxo-1,2,4-triazin-3-yl)thio]methyl]-, (6R,7R)- Rocefin (6R,7R)-7-({(2Z)-2-(2-amino-1,3-thiazol-4-yl)-2-[(methyloxy)imino]acetyl}amino)-3-{[(6-hydroxy-2-methyl-5-oxo-2,5-dihydro-1,2,4-triazin-3-yl)thio]methyl}-8-oxo-5-thia-1-azabicyclo[4.2.0]oct-2-ene-2-carboxylic acid Ceftriaxone (6R,7R)-7-{(E)-[(2Z)-1-Hydroxy-2-(2-imino-2,3-dihydro-1,3-thiazol-4-yl)-2-(methoxyimino)ethylidene]amino}-3-{[(2-methyl-5,6-dioxo-1,2,5,6-tetrahydro-1,2,4-triazin-3-yl)sulfanyl]methyl}-8-oxo-5-thia-1-azabicyclo[4.2.0]oct-2-ene-2-carboxylic acid 5-thia-1-azabicyclo[4.2.0]oct-2-ene-2-carboxylic acid, 7-[[(2Z)-2-(2-amino-4-thiazolyl)-2-(methoxyimino)-1-oxoethyl]amino]-3-[[(2,5-dihydro-6-hydroxy-2-methyl-5-oxo-1,2,4-triazin-3-yl)thio]methyl]-8-oxo-, (6R,7R)- Ro 13-9904/001 ceftriaxonum [INN_la] ceftriaxome (6R,7R)-7-{[(2Z)-2-(2-Amino-1,3-thiazol-4-yl)-2-(methoxyimino)acetyl]amino}-3-{[(6-hydroxy-2-methyl-5-oxo-2,5-dihydro-1,2,4-triazin-3-yl)sulfanyl]methyl}-8-oxo-5-thia-1-azabicyclo[4.2.0]oct-2-ene-2-carboxylic acid Ceftriaxone [USAN:JAN] Antibiotic Ro-13-9904 Cefatriaxone (6R,7R)-7-[[(2E)-2-(2-Amino-1,3-thiazol-4-yl)-2-methoxyiminoacetyl]amino]-3-[(2-methyl-5,6-dioxo-1H-1,2,4-triazin-3-yl)sulfanylmethyl]-8-oxo-5-thia-1-azabicyclo[4.2.0]oct-2-ene-2-carboxylic acid MFCD00865013 EINECS 277-405-6 (6R,7R)-7-{[(2Z)-2-(2-Amino-1,3-thiazol-4-yl)-2-(methoxyimino)acetyl]amino}-3-{[(2-methyl-5,6-dioxo-1,2,5,6-tetrahydro-1,2,4-triazin-3-yl)sulfanyl]methyl}-8-oxo-5-thia-1-azabicyclo[4.2.0]oct-2-ene-2-carboxylic acid Rocephin 5-Thia-1-azabicyclo[4.2.0]oct-2-ene-2-carboxylic acid, 7-[[(1E,2Z)-2-(2,3-dihydro-2-imino-4-thiazolyl)-1-hydroxy-2-(methoxyimino)ethylidene]amino]-8-oxo-3-[[(1,2,5,6-tetrahydro-2-methyl-5,6-dioxo-1,2,4-triazin-3-yl)thio]methyl]-, (6R,7R)- -
常用名头孢曲松
-
C A S号73384-59-5
物理性质
-
密度2.0±0.1 g/cm3
-
沸点N/A
-
熔点155 °C
-
化学式C18H18N8O7S3
-
结构式
1、 摩尔折射率:127.41
2、 摩尔体积(cm3/mol):288.5
3、 等张比容(90.2K):884.6
4、 表面张力(dyne/cm):88.2
5、 极化率(10-24cm3):50.51
-
闪点N/A
-
分子量554.580
-
精确质量554.046082
-
P S A293.80000
-
外观形状
-
储存条件
-
稳定性
-
水溶解性
-
形态
-
H L B值
-
粘度
-
PH值
作用/用途
Ceftriaxone是抗生素,能结合PBPs。
制备方法
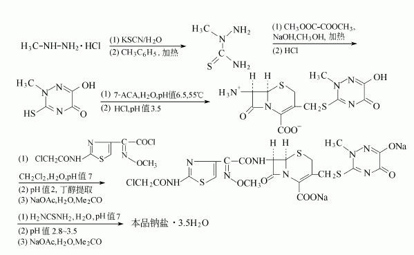
方法1:以甲基肼盐酸盐为原料,与硫氰酸钾反应得甲基氨基硫脲,再与草酸二甲酯环合制得三嗪环。然后与7-ACA缩合制成7-氨基头孢三嗪(简称7-ACT),再和用氯乙酰氯保护氨基的氨噻肟侧链缩合,最后脱掉保护基得头孢曲{l潮。该路线在上保护基、脱保护基时操作难度大,产品的收率和质量均不易控制,工业生产难度大。
方法2:条件温和,收率较高,均在80%以上,能够进行工业化生产。以7-ACA为原料,先和三嗪环缩合成7-ACT,然后和氨噻肟活性酯(含磷活性酯或巯基杂环活性酯)缩合形成头孢三嗪。使用含磷活性酯时,必须先用单三甲基乙酰胺或双甲基硅脲等硅烷化试剂把7一√吣汀上的羧基和羟基保护起来,操作要烦琐些,此外它的缩合产物是头孢三嗪酸,须再经成盐反应方能成为头孢三嗪双钠盐。而用巯基杂环活性酯时,不需预先保护羧基,且缩合产物一步成盐,更方便、先进。
其侧链三嗪环衍生物可用水合肼和苯甲醛作用,得到的Schiff’s碱和硫酸二甲酯反应,生成N-甲基肼硫酸盐,和硫氰化钾反应生成N-甲基-N-氨基硫脲,和草酸二甲酯作用环合,最后酸化即得到所需的三嗪环衍生物。
安全提醒
MSDS
原料简介
应用范围
毒性和生态
安全信息
| 危害码 (欧洲) | Xn |
|---|---|
| 风险声明 (欧洲) | R42/43 |
| 安全声明 (欧洲) | 24/25 |
| WGK德国 | 3 |
| 海关编码 | 3003201700 |
是否危险品
危险性
危险类别码
危险等级
触发危险方式
安全技术说明书
环境影响程度
包装与储运
相关供应商

搜索








