氯克罗孟
冠脉扩张药和抗血栓药。能增强血管内皮产生前列环素,增强多形核白细胞的抑制血小板聚集作用。可明显改善运动耐受性和减少心绞痛病人硝酸酯的使用。用于抗凝血。
产品名称
-
中文名氯克罗孟
-
英文名Cloricromene
-
中文别名氯克罗曼 | 2-[8-氯-3-(2-二乙基氨基乙基)-4-甲基-2-氧代苯并吡喃-7-基]氧乙酸乙酯 | [[8-氯-3-[2-(二乙氨基)乙基]-4-甲基-2-氧代-2-H-1-苯并吡喃-7-基]氧]乙酸乙酯
-
英文别名
MFCD06409251 Cloricromen Cloricromenum [Latin] Cloricromeno [Spanish] Proendotel Cloricromen (INN) Cloricromene Cloricromene [French] 8-Chlorocarbochromen AD 6 (pharmaceutical) -
常用名氯克罗孟
-
C A S号68206-94-0
物理性质
-
密度1.189g/cm3
-
沸点514.1ºC at 760mmHg
-
熔点221-222.3ºC
-
化学式C20H26ClNO5
-
结构式
1、 摩尔折射率:98.39
2、 摩尔体积(cm3/mol):320.9
3、 等张比容(90.2K):809.3
4、 表面张力(dyne/cm):40.4
5、 极化率(10-24cm3):39.00
-
闪点264.7ºC
-
分子量395.87700
-
精确质量395.15000
-
P S A68.98000
-
外观形状solid | white
-
储存条件2-8°C
-
稳定性
-
水溶解性
-
形态
-
H L B值
-
粘度
-
PH值
作用/用途
冠脉扩张药和抗血栓药。能增强血管内皮产生前列环素,增强多形核白细胞的抑制血小板聚集作用。可明显改善运动耐受性和减少心绞痛病人硝酸酯的使用。用于抗凝血。
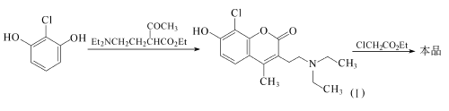
制备方法
2-氯间苯二酚和2-(2-二乙氨基乙基)乙酰乙酸乙酯反应,环合得到化合物(Ⅰ)。再和氯乙酸乙酯反应,得到氯克罗孟。
安全提醒
MSDS
原料简介
应用范围
毒性和生态
安全信息
| 危害码 (欧洲) | Xn |
|---|---|
| 风险声明 (欧洲) | R22 |
| WGK德国 | 3 |
| RTECS号 | AF8970000 |
是否危险品
危险性
危险类别码
危险等级
触发危险方式
安全技术说明书
环境影响程度
包装与储运
相关供应商

搜索







