 
                        硝酸芬替康唑
                                
					Fenticonazole硝酸盐是抗真菌化合物。
					 
					
				                            
                        产品名称
                           - 
                                   中文名硝酸芬替康唑
- 
                                   英文名Fenticonazole nitrate
- 
                                   中文别名1-[2-(2,4-二氯苯基)-2-[[4-(苯硫代)苯基]甲氧基]乙基]-1H-咪唑硝酸盐 | 1-[2-(2,4-二氯苯基)-2-[(4-苯基硫苯基)甲氧基]乙基]咪唑硝酸盐 | 硝酸芬康唑
- 
                                   英文别名1H-Imidazole, 1-[2-(2,4-dichlorophenyl)-2-[[4-(phenylthio)phenyl]methoxy]ethyl]-, nitrate (1:1) Lomexin EINECS 277-302-6 1-[2-(2,4-dichlorophenyl)-2-[(4-phenylsulfanylphenyl)methoxy]ethyl]imidazole,nitric acid MFCD00941391 Falvin REC 15/1476 Fenticonazole nitrate (USAN) Fenticonazole (Nitrate) Fenticonazole mononitrate 1-(2-(2,4-Dichlorophenyl)-2-((4-(phenylthio)phenyl)methoxy)ethyl)-1H-imidazolium nitrate 1-[2-(2,4-Dichlorophenyl)-2-{[4-(phenylsulfanyl)benzyl]oxy}ethyl]-1H-imidazol-1-ium nitrate 
- 
                                   常用名硝酸芬替康唑
- 
                                   C A S号73151-29-8
物理性质
                            - 
                                    密度1.26g/cm3
- 
                                    沸点637.2ºC at 760 mmHg
- 
                                    熔点135-137ºC
- 
                                    化学式C24H21Cl2N3O4S
- 
                                    结构式
- 
                                    闪点339.2ºC
- 
                                    分子量518.412
- 
                                    精确质量517.062988
- 
                                    P S A118.40000
- 
                                    外观形状
- 
                                    储存条件Refrigerator
- 
                                    稳定性
- 
                                    水溶解性
- 
                                    形态
- 
                                    H L B值
- 
                                    粘度
- 
                                    PH值
作用/用途
                            
                                
					Fenticonazole硝酸盐是抗真菌化合物。
					 
					
				                            
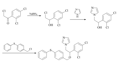
                        制备方法
                             2,4-二氯苯-α-氯乙酮经氢硼化钠还原后,先和咪唑缩合,再和4-氯甲基二苯硫醚缩合,即得芬康唑。
安全提醒
                            MSDS
                            原料简介
                            应用范围
                            毒性和生态
                            安全信息
                            | 危害码 (欧洲) | Xi,Xn | 
|---|---|
| 风险声明 (欧洲) | R36/37/38:Irritating to eyes, respiratory system and skin . R20/21/22:Harmful by inhalation, in contact with skin and if swallowed . | 
| 安全声明 (欧洲) | S26 | 
| 海关编码 | 2942000000 | 
是否危险品
                            危险性
                            危险类别码
                            危险等级
                            触发危险方式
                            安全技术说明书
                            环境影响程度
                            包装与储运
                            相关供应商
     
        
 
                                     
                    
 
                 
            





 
                             
                 
                        