提示
提示
完成工程师认证,即可发布配方
非PLUS会员您暂未开通PLUS会员,请选择您的会员套餐
套餐选择:
特权
支付方式:
支付金额:
说豆
支付金额:
说币
扫码购买使用支付宝APP扫码完成支付
支付剩余时间:
支付金额
¥
头孢呋辛酯

头孢呋辛酯

Cefuroxime Axetil 是头孢菌素头孢呋辛的前药和一种广谱抗生素,可抑制几种革兰氏阳性和革兰氏阴性生物,包括那些最常与各种常见社区获得性感染相关的生物。
产品名称
  • 中文名
    头孢呋辛酯
  • 英文名
    Cefuroxime axetil
  • 中文别名
    (6R,7R)-7-[2-呋喃基(甲氧亚氨基)乙酰氨基]-3-氨基甲酰氧甲基-8-氧代-5-硫杂-1-氮杂双环[4.2.0]辛-2-烯-2-羧酸-1-乙酰氧基乙酯 | 头孢呋新乙酰氧乙酯 | [6R-[6Α,7Β(Z)]]-3-[(氨基甲酰氧)甲基]-7-[2-(呋喃-2-基)-2-(甲氧基亚氨基)乙酰氨基]-8-氧代-5-硫杂-1-氮杂二环[4.2.0]-2-辛烯-2-羧酸(2-乙酰氧基)乙酯
  • 英文别名
    Ceftin
    EINECS 259-560-1
    Cefuroxime axetil
    cefuroxime 1-acetoxyethyl ester
    Zinat
    UNII:Z49QDT0J8Z
    1-Acetoxyethyl (6R,7R)-3-[(carbamoyloxy)methyl]-7-{[(2Z)-2-(2-furyl)-2-(methoxyimino)acetyl]amino}-8-oxo-5-thia-1-azabicyclo[4.2.0]oct-2-ene-2-carboxylate
    1-(acetyloxy)ethyl (6R,7R)-3-[(carbamoyloxy)methyl]-7-{[(2Z)-2-(furan-2-yl)-2-(methoxyimino)acetyl]amino}-8-oxo-5-thia-1-azabicyclo[4.2.0]oct-2-ene-2-carboxylate
    Zinnat
    5-Thia-1-azabicyclo[4.2.0]oct-2-ene-2-carboxylic acid, 3-[[(aminocarbonyl)oxy]methyl]-7-[[(2Z)-2-(2-furanyl)-2-(methoxyimino)-1-oxoethyl]amino]-8-oxo-, 1-(acetyloxy)ethyl ester, (6R,7R)-
    Cetoxil
    MFCD00864889
    Cefuroximeaxetil
  • 常用名
    头孢呋辛酯
  • C A S号
    64544-07-6
物理性质
  • 密度
    1.6±0.1 g/cm3
  • 沸点
    N/A
  • 熔点
    N/A
  • 化学式
    C20H22N4O10S
  • 结构式

    1、 摩尔折射率:117.51

    2、 摩尔体积(cm3/mol):316.3

    3、 等张比容(90.2K):894.1

    4、 表面张力(dyne/cm):63.8

    5、 极化率(10-24cm3):46.58

  • 闪点
    N/A
  • 分子量
    510.474
  • 精确质量
    510.105652
  • P S A
    214.36000
  • 外观形状
    白色至灰白色粉末
  • 储存条件
    库房低温通风干燥
  • 稳定性
  • 水溶解性
  • 形态
  • H L B值
  • 粘度
  • PH值
作用/用途
Cefuroxime Axetil 是头孢菌素头孢呋辛的前药和一种广谱抗生素,可抑制几种革兰氏阳性和革兰氏阴性生物,包括那些最常与各种常见社区获得性感染相关的生物。
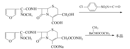
制备方法

以头孢呋辛为原料,其钠盐和乙酸1-溴乙酯反应成酯,即成头孢呋辛酯。64544-07-6 preparation

安全提醒
MSDS

模块1. 化学品
1.1 产品标识符
: Cefuroxime axetil
产品名称
1.2 鉴别的其他方法
无数据资料
1.3 有关的确定了的物质或混合物的用途和建议不适合的用途
仅用于研发。不作为药品、家庭或其它用途。

模块2. 危险性概述
2.1 GHS分类
非危险物质或混合物。
2.3 其它危害物 - 无

模块3. 成分/组成信息
3.1 物 质
: C20H22N4O10S
分子式
: 510.47 g/mol
分子量
根据相应法规,无需披露具体组份。

模块4. 急救措施
4.1 必要的急救措施描述
吸入
如果吸入,请将患者移到新鲜空气处。 如呼吸停止,进行人工呼吸。
皮肤接触
用肥皂和大量的水冲洗。
眼睛接触
谨慎起见用水冲洗眼睛。
食入
切勿给失去知觉者喂食任何东西。 用水漱口。
4.2 主要症状和影响,急性和迟发效应
据我们所知,此化学,物理和毒性性质尚未经完整的研究。
4.3 及时的医疗处理和所需的特殊处理的说明和指示
无数据资料

模块5. 消防措施
5.1 灭火介质
灭火方法及灭火剂
用水雾,耐醇泡沫,干粉或二氧化碳灭火。
5.2 源于此物质或混合物的特别的危害
无数据资料
5.3 给消防员的建议
如有必要,佩戴自给式呼吸器进行消防作业。
5.4 进一步信息
无数据资料

模块6. 泄露应急处理
6.1 作业人员防护措施、防护装备和应急处置程序
避免粉尘生成。 避免吸入蒸气、气雾或气体。
6.2 环境保护措施
不要让产品进入下水道。
6.3 泄漏化学品的收容、清除方法及所使用的处置材料
扫掉和铲掉。 放入合适的封闭的容器中待处理。
6.4 参考其他部分
丢弃处理请参阅第13节。

模块7. 操作处置与储存
7.1 安全操作的注意事项
在有粉尘生成的地方,提供合适的排风设备。
7.2 安全储存的条件,包括任何不兼容性
贮存在阴凉处。 使容器保持密闭,储存在干燥通风处。
建议的贮存温度 -20 °C
7.3 特定用途
无数据资料

模块8. 接触控制和个体防护
8.1 控制参数
职业接触限值
没有已知的国家规定的暴露极限。
8.2 暴露控制
适当的技术控制
常规的工业卫生操作。
个体防护装备
眼面防护
请使用经官方标准如NIOSH (美国) 或 EN 166(欧盟) 检测与批准的设备防护眼部。
皮肤保护
戴手套取 手套在使用前必须受检查。
请使用合适的方法脱除手套(不要接触手套外部表面),避免任何皮肤部位接触此产品.
使用后请将被污染过的手套根据相关法律法规和有效的实验室规章程序谨慎处理. 请清洗并吹干双手
所选择的保护手套必须符合EU的89/686/EEC规定和从它衍生出来的EN 376标准。
身体保护
根据危险物质的类型,浓度和量,以及特定的工作场所选择身体保护措施。,
防护设备的类型必须根据特定工作场所中的危险物的浓度和数量来选择。
呼吸系统防护
不需要保护呼吸。如需防护粉尘损害,请使用N95型(US)或P1型(EN 143)防尘面具。
呼吸器使用经过测试并通过政府标准如NIOSH(US)或CEN(EU)的呼吸器和零件。

模块9. 理化特性
9.1 基本的理化特性的信息
a) 外观与性状
形状: 粉末
颜色: 白色
b) 气味
无数据资料
c) 气味阈值
无数据资料
d) pH值
无数据资料
e) 熔点/凝固点
无数据资料
f) 初沸点和沸程
无数据资料
g) 闪点
无数据资料
h) 蒸发速率
无数据资料
i) 易燃性(固体,气体)
无数据资料
j) 高的/低的燃烧性或爆炸性限度 无数据资料
k) 蒸气压
无数据资料
l) 蒸气密度
无数据资料
m) 密度/相对密度
无数据资料
n) 水溶性
无数据资料
o) 正辛醇/水分配系数
无数据资料
p) 自燃温度
无数据资料
q) 分解温度
无数据资料
r) 黏度
无数据资料

模块10. 稳定性和反应活性
10.1 反应性
无数据资料
10.2 稳定性
无数据资料
10.3 危险反应
无数据资料
10.4 应避免的条件
无数据资料
10.5 不相容的物质
强氧化剂
10.6 危险的分解产物
其它分解产物 - 无数据资料

模块11. 毒理学资料
11.1 毒理学影响的信息
急性毒性
LD50 经口 - 大鼠 - 10,000 mg/kg
LD50 经口 - 家兔 - 200 mg/kg
LD50 经口 - 犬 - 5,000 mg/kg
LD50 腹膜内的 - 大鼠 - 950 mg/kg
LD50 腹膜内的 - 小鼠 - 510 mg/kg
LD50 腹膜内的 - 小鼠 - 10,000 mg/kg
LD50 皮下的 - 大鼠 - 2,500 mg/kg
LD50 皮下的 - 小鼠 - 1,840 mg/kg
皮肤腐蚀/刺激
无数据资料
严重眼睛损伤/眼刺激
无数据资料
呼吸或皮肤过敏
无数据资料
生殖细胞致突变性
无数据资料
致癌性
IARC:
此产品中没有大于或等于 0。1%含量的组分被 IARC鉴别为可能的或肯定的人类致癌物。
生殖毒性
无数据资料
特异性靶器官系统毒性(一次接触)
无数据资料
特异性靶器官系统毒性(反复接触)
无数据资料
吸入危害
无数据资料
潜在的健康影响
吸入吸入可能有害。 可能引起呼吸道刺激。
食入吞咽可能有害。
皮肤通过皮肤吸收可能有害。 可能引起皮肤刺激。
眼睛可能引起眼睛刺激。
接触后的征兆和症状
据我们所知,此化学,物理和毒性性质尚未经完整的研究。
附加说明
化学物质毒性作用登记: 无数据资料

模块12. 生态学资料
12.1 生态毒性
无数据资料
12.2 持久性和降解性
无数据资料
12.3 潜在的生物累积性
无数据资料
12.4 土壤中的迁移性
无数据资料
12.5 PBT和vPvB的结果评价
无数据资料
12.6 其他不良影响
无数据资料

模块13. 废弃处置
13.1 废物处理方法
产品
将剩余的和不可回收的溶液交给有许可证的公司处理。
受污染的容器和包装
按未用产品处置。

模块14. 运输信息
14.1 联合国编号
欧洲陆运危规: -国际海运危规: -国际空运危规: -
14.2 联合国运输名称
欧洲陆运危规: 非危险货物
国际海运危规: 非危险货物
国际空运危规: 非危险货物
14.3 运输危险类别
欧洲陆运危规: -国际海运危规: -国际空运危规: -
14.4 包裹组
欧洲陆运危规: -国际海运危规: -国际空运危规: -
14.5 环境危险
欧洲陆运危规: 否国际海运危规国际空运危规: 否
海洋污染物(是/否): 否
14.6 特殊防范措施
无数据资料
上述信息视为正确,但不包含所有的信息,仅作为指引使用。本文件中的信息是基于我们目前所知,就正
确的安全提示来说适用于本品。该信息不代表对此产品性质的保证。
参见发票或包装条的反面。


模块 15 - 法规信息
N/A


模块16 - 其他信息
N/A
原料简介
应用范围
毒性和生态
安全信息
风险声明 (欧洲) R36/37/38:Irritating to eyes, respiratory system and skin .
安全声明 (欧洲) S24/25
危险品运输编码 NONH for all modes of transport
WGK德国 3
海关编码 2941905990
是否危险品
危险性
危险类别码
危险等级
触发危险方式
安全技术说明书
环境影响程度
包装与储运
相关供应商