间苯二酚
-
中文名间苯二酚
-
英文名Resorcine
-
中文别名1,3-二羟基苯 | 1,3-苯二酚 | 雷锁辛 | 雷锁酚 | 雷琐辛,树脂酚 | 间二羟基苯
-
英文别名
1,3-diethynylenebenzene 1,3-benzenediol Benzene,1,3-diethynyl 1,3-hydroquinone meta-dihydroxy benzene Resorcine m-diethynylbenzene meta-diethynylbenzene 2,3-Pyridinedicarboxylic acid 1,3-Benzenediol,Resorcinolum EINECS 203-585-2 1,3-Benzenediol,Resorcinol 1,3-diethynyl-benzene MFCD00002269 Hymecromone impurity A 1,3-dihydroxybenzene Phloroglucinol Impurity 2 -
常用名间苯二酚
-
C A S号108-46-3
-
密度1.27
-
沸点281 ºC
-
熔点109-111°C
-
化学式C6H6O2
-
结构式
1、摩尔折射率:30.01
2、摩尔体积(cm3/mol):86.2
3、等张比容(90.2K):237.3
4、表面张力(dyne/cm):57.1
5、介电常数:无可用的
6、极化率(10-24cm3):11.89
7、单一同位素质量:110.036779 Da
8、标称质量:110 Da
9、平均质量:110.1106 Da
-
闪点127 ºC
-
分子量110.111
-
精确质量110.036781
-
P S A40.46000
-
外观形状晶体或粉末
-
储存条件
储存注意事项储存于阴凉、通风的库房。远离火种、热源。库温不超过35℃,相对湿度不超过80%。包装要求密封,不可与空气接触。应与氧化剂、酸类、碱类、食用化学品分开存放,切忌混储。配备相应品种和数量的消防器材。储区应备有合适的材料收容泄漏物。
-
稳定性
-
水溶解性
-
形态
-
H L B值
-
粘度
-
PH值
1.间苯二酚的制备方法较多,如苯磺化碱熔法、间苯二酚与苯酚联产法、间苯二胺法、间二异丙苯法、间氨基苯酚水解法等。苯磺化碱熔法以苯为原料,经磺化得间苯二磺酸,再经中和碱熔、酸化而得。
将苯、65%发烟硫酸和硫酸钠分别加入反应器中,控制反应温度在75℃,得磺化物。然后向此磺化物中加入无水硫酸钠,搅拌加热至175℃使其溶解,在此温度下加入三氧化硫,再反应1.5h,得二磺化物(苯二磺酸含量75%)。将二磺化物用稀碱液中和,并除去过量的硫酸盐后,所得苯二磺酸钠盐在290℃下逐渐加到熔化的氢氧化钠中,在15min内升温至325℃,而后将碱熔物溶于水,用硫酸酸化,再用乙醚萃取,蒸出溶剂,即得间苯二酚成品。
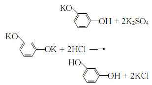
2.间苯二磺酸钾经碱熔、酸化后即可得到此产品。
操作步骤为:将苯、60%发烟硫酸和硫酸钠加入反应锅中,控制反应温度75℃,所得磺化物含苯磺酸75%、二苯砜1%、硫酸20%、硫酸钠4%。然后加入无水硫酸钠,搅拌加热至175℃,加入三氧化硫再反应1.5h,所得产物组成为苯二磺酸75%、二苯砜二磺4%、硫酸17%、硫酸钠4%。经稀碱中和并除去过量的硫酸盐后,得到苯二磺酸钠盐,于290℃加入熔融的氢氧化钠中,15min内升温至325℃。将碱溶物溶于水,用硫酸酸化,再用乙醚或丁醇萃取,萃取液蒸馏回收溶剂后即得粗品,将粗品减压蒸馏,收集178℃馏分即为间苯二酚。
3.间二异丙苯氧化法(HOP法):间二异丙苯氧化法是一种类似于异丙苯氧化制苯酚和丙酮的方法。苯与丙烯在催化剂作用下进行烷基化反应生成间二异丙苯,间二异丙苯在80~90℃、弱碱性条件下通入氧气和空气进行氧化反应生成二氢过氧化间二异丙苯和副产物间二异丙苯羟基过氧化物,经结晶、过滤分离出二氢过氧化间二异丙苯,再在80℃条件下用硫酸或磷酸解离得间苯二酚和丙酮。随着环保要求的日益严格,该法将成为工业上合成间苯二酚的发展方向。
2.对环境的影响: 一、健康危害 侵入途径:吸入、食入、经皮吸收。 健康危害:急性中毒与酚类似,引起头痛、头昏、烦躁、嗜睡、紫绀(由于高铁血红蛋白症)、抽搐、心动过速、呼吸困难等症状。体温及血压下降明显,有时有黄疸和血红蛋白尿。皮肤接触可发生接触性皮炎。长期低浓度接触,可引起呼吸道刺激症状,职业性皮肤损害。 二、毒理学资料及环境行为 毒性:属高毒类。 急性毒性:LD50301mg/kg(大鼠经口);3360mg/kg(兔经皮);人经口29mg/kg,最小致死剂量。 亚急性和慢性毒性:兔种豚鼠接触34mg/m3,6小时/天,2周,肝、肾、心肌、脾、肺均发生病理改变。 致突变性:微粒体诱变试验:鼠伤寒沙门氏菌20umol/皿。细胞遗传学分析:人淋巴细胞80mg/L。 致癌性:IARC致癌性评论:动物不明确,人类无可靠数据。 危险特性:遇明火、高热可燃。与强氧化剂可发生反应。受高热分解放出有毒的气体。 燃烧(分解)产物:一氧化碳、二氧化碳。 3.现场应急监测方法: 4.实验室监测方法: 对磺酸基重氮苯比色法《化工企业空气中有害物质的测定方法》色谱/质谱法《水和有害废物的监测分析方法》周文敏等编译 5.环境标准:
6.应急处理处置方法: 一、泄漏应急处理 隔离泄漏污染区,周围设警标志,建议应急处理人员戴好防毒面具,穿化学防护服。不要直接接触泄漏物,用沙土、干燥石灰或苏打灰混合,避免扬尘,用清洁的铲子收集于干燥净洁的有盖的容器中,运至废物处理场所。也可以用大量水冲洗,经稀释的洗水放入废水系统。如大量泄漏,收集回收或无害处理后废弃。 废弃物处置方法:按美国环保局规定,间苯二酚属危险废弃物,建议把废料溶于易燃溶剂中,再进行焚烧。 二、防护措施 呼吸系统防护:空气中浓度超标时,必须佩带防毒面具。紧急事态抢救或逃生时,佩带自给式呼吸器。 眼睛防护:戴安全防护眼镜。 防护服:穿相应的防护服。 手防护:戴防化学品手套。 其它:工作现场禁止吸烟、进食和饮水。工作后,彻底清洗。单独存入被毒物污染的衣服,洗后再用。注意个人清洁卫生。 三、急救措施 皮肤接触:立即脱去污染的衣着,用甘油、聚乙烯乙二醇或聚乙烯乙二醇和酒精混合液(7:3)抹擦。然后用水彻底冲洗。或立即用水冲洗至少15分钟。就医。 眼睛接触:立即提起眼睑,用流动清水或生理盐水冲洗至少15分钟。就医。 吸入:迅速脱离场至空气新鲜处。保持呼吸道通畅。呼吸困难时给输氧。呼吸停止时,立即进行人工呼吸。就医。 食入:患者清醒时立即给饮植物油15~30ml。催吐,尽快彻底洗胃。就医。 灭火方法:雾状水、泡沫、二氧化碳、干粉、砂土。 |
| 符号 |
GHS07, GHS08, GHS09 |
|---|---|
| 信号词 | Danger |
| 危害声明 | H302-H315-H317-H319-H370-H410 |
| 警示性声明 | P260-P273-P280-P308 + P311-P333 + P313-P337 + P313 |
| 靶器官 | Blood, Central nervous system, Respiratory system |
| 个人防护装备 | dust mask type N95 (US);Eyeshields;Faceshields;Gloves |
| 危害码 (欧洲) | Xn:Harmful |
| 风险声明 (欧洲) | R22;R36/38;R50 |
| 安全声明 (欧洲) | S26;S61 |
| 危险品运输编码 | UN 2876 6.1/PG 3 |
| WGK德国 | 2 |
| RTECS号 | VG9625000 |
| 包装等级 | III |
| 危险类别 | 6.1 |
| 海关编码 | 2907210000 |

搜索









