 
                        克拉霉素
- 
                                   中文名克拉霉素
- 
                                   英文名Clarithromycin
- 
                                   中文别名克拉仙 | 克拉红霉素
- 
                                   英文别名Resclar Clarithromycin TE-031 Infex te-03 Claris 6-O-Methylerythromycin Kladd Clarosip Veclam BIAXIN Claric Macladin Klacid UNII-H1250JIK0A Cyllind Vikrol Naxy Clacid Clarihexal (3R,4S,5S,6R,7R,9R,11R,12R,13S,14R)-6-{[(2S,3R,4S,6R)-4-(Dimethylamino)-3-hydroxy-6-methyltetrahydro-2H-pyran-2-yl]oxy}-14-ethyl-12,13-dihydroxy-4-{[(2R,4R,5S,6S)-5-hydroxy-4-methoxy-4,6-dimethyltetrahydro-2H-pyran-2-yl]oxy}-7-methoxy-3,5,7,9,11,13-hexamethyloxacyclotetradecane-2,10-dione Mavid Zeclar (3R,4S,5S,6R,7R,9R,11R,12R,13S,14R)-6-{[(2S,3R,4S,6R)-4-(Dimethylamino)-3-hydroxy-6-methyltetrahydro-2H-pyran-2-yl]oxy}-14-ethyl-12,13-dihydroxy-4-{[(2R,4R,5S,6S)-5-hydroxy-4-methoxy-4,6-dimethyltetrahydro-2H-pyran-2-yl]oxy}-7-methoxy-3,5,7,9,11,13-hexamethyloxacyclotetradecane-2,10-dione (non-preferred name) Fromilid Clacee 
- 
                                   常用名克拉霉素
- 
                                   C A S号81103-11-9
- 
                                    密度1.2±0.1 g/cm3
- 
                                    沸点805.5±65.0 °C at 760 mmHg
- 
                                    熔点217-220ºC
- 
                                    化学式C38H69NO13
- 
                                    结构式
- 
                                    闪点440.9±34.3 °C
- 
                                    分子量747.953
- 
                                    精确质量747.476868
- 
                                    P S A182.91000
- 
                                    外观形状白色至灰白色结晶粉末
- 
                                    储存条件
- 
                                    稳定性
- 
                                    水溶解性
- 
                                    形态无臭,味苦的白色结晶性粉末或无色针状结晶.
- 
                                    H L B值
- 
                                    粘度
- 
                                    PH值
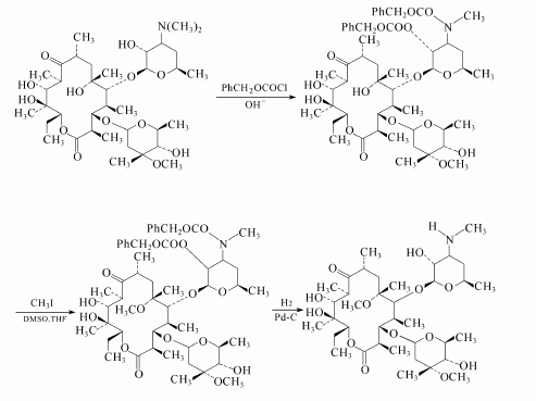
1.以红霉素为原料,水解脱去氨基上的一个甲基,再和氯甲酸苄酯反应,对5位侧链四氢吡喃环上的羟基和氨基进行保护,然后在二甲亚砜和四氢呋喃中和碘甲烷反应,对6位上的羟基进行甲基化,再催化氢解脱去保护基,和甲醛反应对氨基进行羟甲基化,最后还原为甲基,即为克拉霉素。
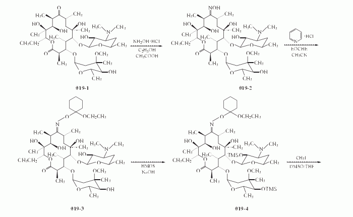
2.(1)红霉素A肟(019-2)的制备
在反应瓶中加入无水乙醇50ml和红霉素(019-1)10.0g(13.6mmol),搅拌下滴加冰醋酸,溶液呈透明后,加入盐酸羟胺7.0g(100.0mmol),在适当的酸碱缓冲体系下,升温至50~60 ºC ,搅拌反应8~24h.TLC跟踪确认反应达终点后,终止反应.冷至室温,过滤除去无机盐,滤液减压蒸发至干,得白色固体.将该固体溶于20ml乙酸乙酯中,搅拌下加入4mol/L NaOH溶液,调至pH>=12.静置分层,有机层用适量水洗涤2~3次后,真空浓缩至干,得白色固体,干燥至恒重,得019-2 9.98g,收率99.9%.含019-2 93.5%,其中E-肟 82.9%,Z-肟10.6%,红霉素降解产物红霉素A 8,9-脱水-6,9-半缩酮<=2%(HPLC法).将019-2重结晶得019-2.纯品,收率95.6%。
(2)2’,4”-O-双(三甲基硅)红霉素A 9-O-(1-乙氧基环己基)肟[2’,4’’-Obis(trimethylsilyl)-eryth-romycin A 9-O91-ethoxycyclohexyl]oxime](019-4)的制备
在反应瓶中加入乙腈500ml、019-2 50.0g(67mmol)和盐酸吡啶15.0g(134mmol),搅拌下加
入1-乙氧基环己烯(EOCHE)30.0ml(223mmol),在室温(28 ºC)下搅拌反应,反应液逐渐变清无色,3h后全部转化为红霉素A9-O-(1-乙氧基环己基)肟(019-3),再加入1,1,1,3,3,3-六甲基二硅氨烷(HMDS)50.0ml(240mmol),反应液立即呈白色浊态.搅拌反应2h后,加入4mol/L NaOH溶液调至PH>=10,用乙酸乙酯(200ml*2)提取,有机相用水洗,饱和食盐水洗,无水MgSO4干燥过夜.过滤,滤液减压蒸除溶剂得019-4,mp108~110 ºC.
(3)2’,4’’-O-双(三甲基硅)6-O-甲基红霉素A 9-O-(1-乙氧基环己基)肟[2’,4’’-Obis(trimethylsilyl)-6-O-methylerythromycin A 9-O-(1-ethoxycyclohexyl)oxime](019-5)的制备。
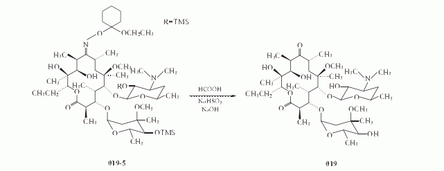
在反应瓶中加入DMSO/THF(体积比1:1)400ml和019-4(上步一批量),搅拌溶解,再加入碘甲6.0ml(96mmol)和82%的KOH粉末6.0g(88mmol),于0 ºC 搅拌反应1h.加水200ml,用乙酸乙酯提取(200ml*2),无水MgSO4干燥有机相,过滤,滤液蒸除溶剂得019-5,mp127~129 ºC .直接用于下步反应.
(4)克拉霉素(019)的合成
在反应瓶中加入250ml乙醇和水,再加入019-5(上步一批得量),搅拌溶解,搅拌下加入甲酸5.0ml(132mmol),反应数小时后,TLC跟踪显示得6-O-甲基红霉素A 9-O-(1-乙氧基环己基)肟和6-O-甲基红霉素 A-9-肟,再补加NaHSO3 50.0g(480mmol),搅拌加热至回流,反应2h.用4mol/L的NaOH溶液调至PH>=10,析出白色固体019,用乙醇重结晶得精品019 24.7g,以红霉素A计总收率达49.5%,mp222~225 ºC .
| 
			  	
			  	    1.1 产品标识符
 : Clarithromycin 产品名称 1.2 鉴别的其他方法 6-O-Methylerythromycin 1.3 有关的确定了的物质或混合物的用途和建议不适合的用途  仅供科研用途,不作为药物、家庭备用药或其它用途。
 模块2. 危险性概述 2.1 GHS分类 急性毒性, 经口 (类别4) 2.2 GHS 标记要素,包括预防性的陈述 象形图 警示词警告 危险申明 H302吞咽有害。 警告申明 预防 P264操作后彻底清洁皮肤。 P270使用本产品时不要进食、饮水或吸烟。 措施 P301 + P312如果吞下去了: 如感觉不适,呼救解毒中心或看医生。 P330漱口。 处理 P501将内容物/ 容器处理到得到批准的废物处理厂。 2.3 其它危害物 - 无 模块3. 成分/组成信息 3.1 物 质 : 6-O-Methylerythromycin 别名 : C38H69NO13 分子式 : 747.95 g/mol 分子量 组分浓度或浓度范围 Clarithromycin - CAS 号81103-11-9 模块4. 急救措施 4.1 必要的急救措施描述 一般的建议 请教医生。 出示此安全技术说明书给到现场的医生看。 吸入 如果吸入,请将患者移到新鲜空气处。 如果停止了呼吸,给于人工呼吸。 请教医生。 皮肤接触 用肥皂和大量的水冲洗。 请教医生。 眼睛接触 用水冲洗眼睛作为预防措施。 食入 切勿给失去知觉者从嘴里喂食任何东西。 用水漱口。 请教医生。 4.2 主要症状和影响,急性和迟发效应 据我们所知,此化学,物理和毒性性质尚未经完整的研究。 4.3 及时的医疗处理和所需的特殊处理的说明和指示 无数据资料 模块5. 消防措施 5.1 灭火介质 灭火方法及灭火剂 用水雾,耐醇泡沫,干粉或二氧化碳灭火。 5.2 源于此物质或混合物的特别的危害 碳氧化物, 氮氧化物 5.3 给消防员的建议 如必要的话,戴自给式呼吸器去救火。 5.4 进一步信息 无数据资料 模块6. 泄露应急处理 6.1 人员的预防,防护设备和紧急处理程序 使用个人防护设备。 防止粉尘的生成。 防止吸入蒸汽、气雾或气体。 保证充分的通风。 避免吸入粉尘。 6.2 环境保护措施 不要让产物进入下水道。 6.3 抑制和清除溢出物的方法和材料 收集、处理泄漏物,不要产生灰尘。 扫掉和铲掉。 存放进适当的闭口容器中待处理。 6.4 参考其他部分 丢弃处理请参阅第13节。 模块7. 操作处置与储存 7.1 安全操作的注意事项 避免接触皮肤和眼睛。 防止粉尘和气溶胶生成。 在有粉尘生成的地方,提供合适的排风设备。 7.2 安全储存的条件,包括任何不兼容性 贮存在阴凉处。 容器保持紧闭,储存在干燥通风处。 建议的贮存温度: 2 - 8 °C 7.3 特定用途 无数据资料 模块8. 接触控制和个体防护 8.1 容许浓度 最高容许浓度 没有已知的国家规定的暴露极限。 8.2 暴露控制 适当的技术控制 按照良好工业和安全规范操作。 休息前和工作结束时洗手。 个体防护设备 眼/面保护 带有防护边罩的安全眼镜符合 EN166要求请使用经官方标准如NIOSH (美国) 或 EN 166(欧盟) 检测与批准的设备防护眼部。 皮肤保护 戴手套取 手套在使用前必须受检查。 请使用合适的方法脱除手套(不要接触手套外部表面),避免任何皮肤部位接触此产品. 使用后请将被污染过的手套根据相关法律法规和有效的实验室规章程序谨慎处理. 请清洗并吹干双手 所选择的保护手套必须符合EU的89/686/EEC规定和从它衍生出来的EN 376标准。 身体保护 全套防化学试剂工作服, 防护设备的类型必须根据特定工作场所中的危险物的浓度和含量来选择。 呼吸系统防护 如须暴露于有害环境中,请使用P95型(美国)或P1型(欧盟 英国 143)防微粒呼吸器。如需更高级别防护,请使用OV/AG/P99型(美国)或ABEK-P2型 (欧盟 英国 143) 防毒罐。 呼吸器使用经过测试并通过政府标准如NIOSH(US)或CEN(EU)的呼吸器和零件。 模块9. 理化特性 9.1 基本的理化特性的信息 a) 外观与性状 形状: 粉末 颜色: 白色 b) 气味 无数据资料 c) 气味阈值 无数据资料 d) pH值 无数据资料 e) 熔点/凝固点 无数据资料 f) 起始沸点和沸程 无数据资料 g) 闪点 无数据资料 h) 蒸发速率 无数据资料 i) 易燃性(固体,气体) 无数据资料 j) 高的/低的燃烧性或爆炸性限度 无数据资料 k) 蒸汽压 无数据资料 l) 蒸汽密度 无数据资料 m) 相对密度 无数据资料 n) 水溶性 无数据资料 o) n-辛醇/水分配系数 无数据资料 p) 自燃温度 无数据资料 q) 分解温度 无数据资料 r) 粘度 无数据资料 模块10. 稳定性和反应活性 10.1 反应性 无数据资料 10.2 稳定性 无数据资料 10.3 危险反应的可能性 无数据资料 10.4 应避免的条件 无数据资料 10.5 不兼容的材料 强氧化剂 10.6 危险的分解产物 其它分解产物 - 无数据资料 模块11. 毒理学资料 11.1 毒理学影响的信息 急性毒性 半数致死剂量 (LD50) 经口 - 大鼠 - 1,270 mg/kg 备注: 行为的:运动力学变化(特异性测试) 皮肤刺激或腐蚀 无数据资料 眼睛刺激或腐蚀 无数据资料 呼吸道或皮肤过敏 无数据资料 生殖细胞突变性 无数据资料 致癌性 IARC: 此产品中没有大于或等于 0。1%含量的组分被 IARC鉴别为可能的或肯定的人类致癌物。 生殖毒性 无数据资料 特异性靶器官系统毒性(一次接触) 无数据资料 特异性靶器官系统毒性(反复接触) 无数据资料 吸入危险 无数据资料 潜在的健康影响 吸入吸入可能有害。 可能引起呼吸道刺激。 摄入误吞对人体有害。 皮肤如果通过皮肤吸收可能是有害的。 可能引起皮肤刺激。 眼睛可能引起眼睛刺激。 接触后的征兆和症状 据我们所知,此化学,物理和毒性性质尚未经完整的研究。 附加说明 化学物质毒性作用登记: KF4997000 模块12. 生态学资料 12.1 生态毒性 无数据资料 12.2 持久存留性和降解性 无数据资料 12.3 潜在的生物蓄积性 无数据资料 12.4 土壤中的迁移性 无数据资料 12.5 PBT 和 vPvB的结果评价 无数据资料 12.6 其它不利的影响 无数据资料 模块13. 废弃处置 13.1 废物处理方法 产品 将剩余的和未回收的溶液交给处理公司。 与易燃溶剂相溶或者相混合,在备有燃烧后处理和洗刷作用的化学焚化炉中燃烧 受污染的容器和包装 作为未用过的产品弃置。 模块14. 运输信息 14.1 联合国危险货物编号 欧洲陆运危规: -国际海运危规: -国际空运危规: - 14.2 联合国(UN)规定的名称 欧洲陆运危规: 非危险货物 国际海运危规: 非危险货物 国际空运危规: 非危险货物 14.3 运输危险类别 欧洲陆运危规: -国际海运危规: -国际空运危规: - 14.4 包裹组 欧洲陆运危规: -国际海运危规: -国际空运危规: - 14.5 环境危险 欧洲陆运危规: 否国际海运危规 海运污染物: 否国际空运危规: 否 14.6 对使用者的特别提醒 无数据资料 模块 15 - 法规信息 N/A 模块16 - 其他信息 N/A | 
| 符号 |   GHS07 | 
|---|---|
| 信号词 | Warning | 
| 危害声明 | H302 | 
| 警示性声明 | P301 + P312 + P330 | 
| 个人防护装备 | dust mask type N95 (US);Eyeshields;Gloves | 
| 危害码 (欧洲) | Xi: Irritant;Xn: Harmful; | 
| 风险声明 (欧洲) | R22 | 
| 安全声明 (欧洲) | 26-36 | 
| 危险品运输编码 | NONH for all modes of transport | 
| RTECS号 | KF4997000 | 
| 海关编码 | 29419000 | 
 
        
 
                                     
                    
 
                 
            









 
                             
                 
                        