头孢咪唑
用于肺炎球菌、消化链球菌属、大肠杆菌、绿脓杆菌、流感杆菌等敏感菌引起的急性支气管炎、慢性支气管炎、肺炎、胆囊炎、胆管炎、腹膜炎、败血症等。
-
中文名头孢咪唑
-
英文名Cefpimizole
-
中文别名(6R,7R)-7-[[(2R)-2-[(5-羧基-1H-咪唑-4-甲酰)氨基]-2-苯基乙酰]氨基]-8-氧代-3-[[4-(2-磺酸基乙基)吡啶-1-鎓-1-基]甲基]-5-硫杂-1-氮杂双环[4.2.0]辛-2-烯-2-甲酸 | 羧咪唑头孢菌素
-
英文别名
Cefpimizol Pyridinium,1-[[(6R,7R)-2-carboxy-7-[[(2R)-[[(5-carboxy-1H-imidazol-4-yl)carbonyl]amino]phenylacetyl]amino]-8-oxo-5-thia-1-azabicyclo[4.2.0]oct-2-en-3-yl]methyl]-4-(2-sulfoethyl)-,inner salt (6R,7R)-7-[[(2R)-2-[(5-carboxy-1H-imidazole-4-carbonyl)amino]-2-phenylacetyl]amino]-8-oxo-3-[[4-(2-sulfonatoethyl)pyridin-1-ium-1-yl]methyl]-5-thia-1-azabicyclo[4.2.0]oct-2-ene-2-carboxylic acid -
常用名头孢咪唑
-
C A S号84880-03-5
-
密度N/A
-
沸点N/A
-
熔点N/A
-
化学式C28H26N6O10S2
-
结构式
-
闪点N/A
-
分子量670.67000
-
精确质量670.11500
-
P S A276.55000
-
外观形状
-
储存条件
-
稳定性
-
水溶解性
-
形态
-
H L B值
-
粘度
-
PH值
用于肺炎球菌、消化链球菌属、大肠杆菌、绿脓杆菌、流感杆菌等敏感菌引起的急性支气管炎、慢性支气管炎、肺炎、胆囊炎、胆管炎、腹膜炎、败血症等。
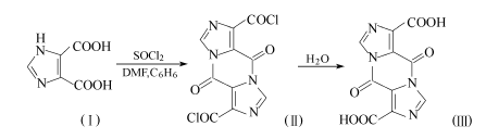
咪唑-4,5-二羧酸(I)(7.8g,50mmol)悬浮在含有4ml二甲基甲酰胺的100ml干燥苯中,加入30ml氯化亚砜,在85℃下搅拌回流6h。蒸去溶剂,往剩余物中加入50mi干燥苯。真空浓缩得到固体,往该固体中再加入50ml苯,在室温下搅拌30min。过滤收集不溶物,用苯洗,干燥得7.0g化合物(Ⅱ),收率89%。
化合物(Ⅱ)(62.6g,200mmo1)悬浮于800ml水,在40℃下搅拌6h。过滤收集不溶的固体,用100ml水洗,再用丙酮洗(5×100ml)。真空干燥得60.8g化合物(III),收率97%,熔点284℃(分解)。
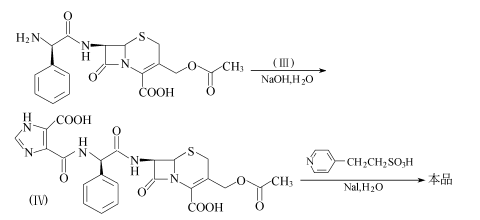
头孢来星((3ephaloglycin)(12.2g,30mmo1)悬浮于50ml水,在冰浴冷却下,用13.5%氢氧化钠小心地调至Ph=8.5。在冷却和搅拌下,分批小量加入化合物(Ⅲ)(9.36g,30mmo1),并用13.5%氢氧化钠溶液维持反应液的Ph值在7.30~7.60。反应液在冰浴冷却下,搅拌40min后,用6%盐酸调至Ph=6.3。搅拌:10min后,过滤除去沉淀,滤液用6%盐酸调至Ph=2。过滤收集产生的固体,水洗,真空干燥。将该固体悬浮于乙酸乙酯-甲醇(1:1)的混合液中,在40℃下搅拌20mim,过滤除去不溶物,滤液减压浓缩至约50ml。加入500nnl乙醚,在冰箱中放置过夜。过滤收集沉淀,用石油醚洗,干燥。得12.5g化合物(Ⅳ)。收率75%。
化合物(Ⅳ)(7.13g,12.8mmo1)和4-吡啶基乙磺酸(4.9g,26.3mmo1)悬浮于30ml水,加入2mol/L,氢氧化钠水溶液使其溶解,并调至Ph=6.5。加入87.5g碘化钠,在65℃下搅拌70min。冷却,在冰浴冷却和搅拌下,将其滴加到330ml丙酮中,然后冷却过夜。过滤收集固体,溶于水,加入丙酮使再成沉淀。用水和乙醇按前法再沉淀1次。然后将沉淀溶于30℃的400ml水中,用6mol/L盐酸调至Ph=2。搅拌30min后,离心分离除去沉淀。母液用2mol/L氢氧化钠水溶液调至Ph=4,真空30℃以下浓缩至80ml。加入400ml乙醇,过滤收集沉淀。将该沉淀溶于40ml水,用2mol/L盐酸调至Ph=3.3。用120ml Ambelilite XAD-7层析,用水洗脱。收集含产物的洗脱液,减压浓缩。用2mol/L盐酸将浓缩液调至Ph=3.2,在冷却和搅拌下,加入300ml丙酮。过滤收集沉淀,真空干燥。再溶于水中,冻干得2.7g头孢咪唑钠,收率28%。

搜索







