美洛昔康
-
中文名美洛昔康
-
英文名Meloxicam
-
中文别名美罗昔康 | 4-羟基-2-甲基-N-(5-甲基-2-噻唑)-2H-1,2-苯并噻嗪-3-甲酰胺 1,1-二氧化物 | 4-羟基-2-甲基-N-(5-甲基-2-噻唑基)-2H-1,2-苯并噻嗪-3-甲酰胺-1,1-二氧化物 | 4-羟基-2-甲基-N-(5-甲基-2-噻唑基)-2H-L,2-苯并噻嗪-3-羧酰胺1,1-二氧化物
-
英文别名
Meloxicam Metacam Parocin 2H-1,2-Benzothiazine-3-carboxamide, 4-hydroxy-2-methyl-N-(5-methyl-2-thiazolyl)-, 1,1-dioxide 4-Hydroxy-2-methyl-N-(5-methyl-1,3-thiazol-2-yl)-2H-1,2-benzothiazine-3-carboximidic acid 1,1-dioxide Meloxciam 4-hydroxy-2-méthyl-N-(5-méthyl-1,3-thiazol-2-yl)-2H-1,2-benzothiazine-3-carboxamide-1,1-dioxyde 2H-1,2-Benzothiazine-3-carboximidic acid, 4-hydroxy-2-methyl-N-(5-methyl-2-thiazolyl)-, 1,1-dioxide Movatec structure was taken from Chemical Abstracts Index Guide, number 4-Hydroxy-2-methyl-N-(5-methyl-1,3-thiazol-2-yl)-2H-1,2-benzothiazine-3-carboxamide 1,1-dioxide meloxicam (tautomer) MOBIC Mobicox MFCD11046047 Movalis MOBEC -
常用名美洛昔康
-
C A S号71125-38-7
-
密度1.6±0.1 g/cm3
-
沸点581.3±60.0 °C at 760 mmHg
-
熔点255ºC
-
化学式C14H13N3O4S2
-
结构式
1、 摩尔折射率:85.95
2、 摩尔体积(cm3/mol):217.7
3、 等张比容(90.2K):661.7
4、 表面张力(dyne/cm):85.3
5、 极化率(10-24cm3):34.07
-
闪点305.4±32.9 °C
-
分子量351.401
-
精确质量351.034760
-
P S A136.22000
-
外观形状淡黄色固体
-
储存条件
存放在密封容器内,并放在阴凉,干燥处。储存的地方必须远离氧化剂。
-
稳定性
-
水溶解性
-
形态浅黄色粉末。
-
H L B值
-
粘度
-
PH值
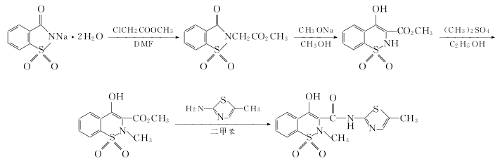
1. 4-羟基-2-甲基-2H-1,2-苯并噻嗪-3-羧酸甲酯1,1-二氧化物和2-氨基-5-甲基噻唑在二甲苯中回流,得到美洛昔康,收率74%。
2. 3-氧代-1,2-苯并异噻唑-2-乙酸甲酯-1,1-二氧化物的制备
在反应瓶中加入DMF45ml和邻磺酰苯酰亚胺钠盐(即市售的含2分子结晶水的糖精钠)24.1g(0.10mol),搅拌溶解,再在搅拌下加入氯乙酸甲酯16.3g(0.15mol),回流反应3~4h.反应毕,冷却至室温,加入冷水85ml, 析出固体过滤,水洗,抽干,干燥得白色固体3-氧代-1,2-苯并异噻唑-2-乙酸甲酯-1,1-二氧化物24.0g,收率94.1%,mp114.5~116 ºC.
3. 4-羟基-2H-1,2-苯并噻嗪-3-羧酸甲酯-1,1-二氧化物的制备
在反应瓶中加入无水甲醇60ml,然后在冰浴冷却和搅拌下分批加入金属钠6.5g(0.28mol)到加完后可稍加热,金属钠全溶后,加热至回流温度,于强烈搅拌下,快速加入3-氧代-1,2-苯并异噻唑-2-乙酸甲酯-1,1-二氧化物的粉状物18g(0.07mol),瞬间反应得到橙黄色浆状物.移去油浴,加入冰72g和浓盐酸28ml混合液,搅拌,用冰浴冷却至10以ºC下,析出白色固体,过滤,水洗,干燥,得白色固体4-羟基-2H-1,2-苯并噻嗪-3-羧酸甲酯-1,1-二氧化物14.4g, 收率80%,mp160~166 ºC.
4. 4-羟基-2-甲基-2H-1,2-苯并噻嗪-3-羧酸甲酯-1,1-二氧化物的制备
在反应瓶中加入乙醇72ml和4-羟基-2H-1,2-苯并噻嗪-3-羧酸甲酯-1,1-二氧化物14.4g(56.47mmol),搅拌,再加入氢氧化钠3.16g溶于72ml水溶液.放热反应,固体完全溶解后,降温至20ºC以下,滴加硫酸二甲酯11.81g(93.74mmol),滴加过程反应混合物温度保持不超过25ºC,几分钟后析出大量固体,再于25ºC搅拌反应15h.反应毕,冷却至10 ºC以下,过滤,50%乙醇洗涤,抽干,得白色固体4-羟基-2-甲基-2H-1,2-苯并噻嗪-3-羧酸甲酯-1,1-二氧化物粗品,mp168~169ºC.将其溶于乙醇72ml、水72ml、氢氧化钠3.16g的混合液中,过滤,
滤液用稀盐酸调pH至6~7,过滤,50%乙醇洗涤,真空干燥(60 ºC下),得白色固体4-羟基-2-甲基-2H-1,2-苯并噻嗪-3-羧酸甲酯-1,1-二氧化物12.2g,收率80%,mp171~172 ºC.
5. 美洛昔康的合成
在反应瓶中加入4-羟基-2-甲基-2H-1,2-苯并噻嗪-3-羧酸甲酯-1,1-二氧化物5.38g(0.02mol)和2-氨基-5-甲基噻唑2.5g(0.22mol),再加入二甲苯800mol,搅拌溶解,然后升温搅拌回流24h,在回流过程通氮气保护.反应毕,减压蒸馏去大部分二甲苯,冷至室温,过滤,得美洛昔康粗品6.4g,将粗品溶于二氯乙烷100ml,加入活性炭0.5g, 回流30min.趁热过滤,滤液冷却至10 ºC,析出晶体过滤,干燥,得到白色固体5.62g,收率80%,mp254~255ºC (分解)
|
美洛昔康
修改号码:5
模块1. 化学品 产品名称: Meloxicam 修改号码: 5 模块2. 危险性概述 GHS分类 物理性危害未分类
健康危害 急性毒性(经口) 第3级 环境危害未分类 GHS标签元素 图标或危害标志 信号词危险 危险描述吞咽会中毒。 防范说明 [预防]使用本产品时切勿吃东西,喝水或吸烟。 处理后要彻底清洗双手。 [急救措施] 食入:立即呼叫解毒中心/医生。 [储存]存放处须加锁。 [废弃处置] 根据当地政府规定把物品/容器交与工业废弃处理机构。 模块3. 成分/组成信息 单一物质/混和物单一物质 化学名(中文名):美洛昔康 百分比: >96.0%(LC)(T) CAS编码: 71125-38-7 俗名: 4-Hydroxy-2-methyl-N-(5-methyl-2-thiazolyl)-2H-1,2-benzothiazine-3- carboxamide 1,1-Dioxide 分子式: C14H13N3O4S2 美洛昔康 修改号码:5 模块4. 急救措施 吸入: 将受害者移到新鲜空气处,保持呼吸通畅,休息。若感不适请求医/就诊。 皮肤接触: 立即去除/脱掉所有被污染的衣物。用水清洗皮肤/淋浴。 若皮肤刺激或发生皮疹:求医/就诊。 眼睛接触:用水小心清洗几分钟。如果方便,易操作,摘除隐形眼镜。继续清洗。 如果眼睛刺激:求医/就诊。 食入: 立即呼叫解毒中心/医生。漱口。 紧急救助者的防护:救援者需要穿戴个人防护用品,比如橡胶手套和气密性护目镜。 模块5. 消防措施 合适的灭火剂:干粉,泡沫,雾状水,二氧化碳 特殊危险性:小心,燃烧或高温下可能分解产生毒烟。 特定方法:从上风处灭火,根据周围环境选择合适的灭火方法。 非相关人员应该撤离至安全地方。 周围一旦着火:如果安全,移去可移动容器。 消防员的特殊防护用具:灭火时,一定要穿戴个人防护用品。 模块6. 泄漏应急处理 个人防护措施,防护用具, 使用特殊的个人防护用品(针对有毒颗粒的P3过滤式空气呼吸器)。远离溢出物/泄露 紧急措施:处并处在上风处。 泄露区应该用安全带等圈起来,控制非相关人员进入。 环保措施:防止进入下水道。 控制和清洗的方法和材料:清扫收集粉尘,封入密闭容器。注意切勿分散。附着物或收集物应该立即根据合适的 法律法规处置。 模块7. 操作处置与储存 处理 技术措施:在通风良好处进行处理。穿戴合适的防护用具。防止粉尘扩散。处理后彻底清洗双手 和脸。 注意事项:如果可能,使用封闭系统。如果粉尘或浮质产生,使用局部排气。 操作处置注意事项:避免接触皮肤、眼睛和衣物。 贮存 储存条件:保持容器密闭。冷藏储存。 存放处须加锁。 远离不相容的材料比如氧化剂存放。 热敏 包装材料:依据法律。 模块8. 接触控制和个体防护 工程控制:尽可能安装封闭体系或局部排风系统。同时安装淋浴器和洗眼器。 个人防护用品 呼吸系统防护: 防尘面具,自携式呼吸器(SCBA),供气呼吸器等。使用通过政府标准的呼吸器。依 据当地和政府法规。 手部防护:防渗手套。 眼睛防护:护目镜。如果情况需要,佩戴面具。 皮肤和身体防护:防渗防护服。如果情况需要,穿戴防护靴。 模块9. 理化特性 固体 外形(20°C): 外观: 晶体-粉末 美洛昔康 修改号码:5 模块9. 理化特性 颜色: 微浅黄色-浅黄绿色 气味:无资料 pH:无数据资料 熔点: 255°C 沸点/沸程无资料 闪点:无资料 爆炸特性 爆炸下限:无资料 爆炸上限:无资料 密度:无资料 溶解度: [水]无资料 [其他溶剂]无资料 模块10. 稳定性和反应性 化学稳定性:一般情况下稳定。 危险反应的可能性:未报道特殊反应性。 须避免接触的物质氧化剂 危险的分解产物: 一氧化碳, 二氧化碳, 氮氧化物 (NOx), 硫氧化物 模块11. 毒理学信息 急性毒性: orl-rat LDLo:7.5 mg/kg 对皮肤腐蚀或刺激:无资料 对眼睛严重损害或刺激:无资料 生殖细胞变异原性:无资料 致癌性: IARC =无资料 NTP =无资料 生殖毒性:无资料 RTECS 号码: DL0702000 模块12. 生态学信息 生态毒性: 鱼类:无资料 甲壳类:无资料 藻类:无资料 残留性 / 降解性:无资料 潜在生物累积 (BCF):无资料 土壤中移动性 log水分配系数:无资料 土壤吸收系数 (Koc):无资料 亨利定律无资料 constant(PaM3/mol): 模块13. 废弃处置 如果可能,回收处理。请咨询当地管理部门。建议在可燃溶剂中溶解混合,在装有后燃和洗涤装置的化学焚烧炉中 焚烧。废弃处置时请遵守国家、地区和当地的所有法规。 美洛昔康 修改号码:5 模块14. 运输信息 联合国分类: 第1项 毒害品。 UN编号: 2811 正式运输名称: 有毒固体, 有机物, 不另作详细说明 包装等级: III 模块15. 法规信息 《危险化学品安全管理条例》(2002年1月26日国务院发布,2011年2月16日修订): 针对危险化学品的安全使用、 生产、储存、运输、装卸等方面均作了相应的规定。 模块16 - 其他信息 N/A |
| 符号 |
GHS06 |
|---|---|
| 信号词 | Danger |
| 危害声明 | H301 |
| 警示性声明 | P301 + P310 |
| 危害码 (欧洲) | Xn: Harmful; |
| 风险声明 (欧洲) | R22 |
| 安全声明 (欧洲) | 26 |
| 危险品运输编码 | UN 2811 6.1/PG 3 |
| WGK德国 | 3 |
| RTECS号 | DL0702000 |
| 包装等级 | III |
| 海关编码 | 2934999090 |

搜索







