罗红霉素
Roxithromycin是半合成的大环内酯类抗生素。
产品名称
-
中文名罗红霉素
-
英文名Roxithromycin
-
中文别名9-[O-(2-甲氧基乙氧基)甲肟]红霉素
-
英文别名
Roxid Overal Forilin MFCD00214389 Roxithromycin Claramid biaxsig RU 965 Assoral roxyithromycin Brilid (3R,4S,5S,6R,7R,9R,10E,11S,12R,13S,14R)-6-{[(2S,3R,4S,6R)-4-(Dimethylamino)-3-hydroxy-6-methyltetrahydro-2H-pyran-2-yl]oxy}-14-ethyl-7,12,13-trihydroxy-4-{[(2R,4R,5S,6S)-5-hydroxy-4-methoxy-4,6-dimethyltetrahydro-2H-pyran-2-yl]oxy}-10-{[(2-methoxyethoxy)methoxy]imino}-3,5,7,9,11,13-hexamethyloxacyclotetradecan-2-one Rulid Surlid -
常用名罗红霉素
-
C A S号80214-83-1
物理性质
-
密度1.3±0.1 g/cm3
-
沸点864.7±75.0 °C at 760 mmHg
-
熔点115- 120ºC
-
化学式C41H76N2O15
-
结构式
-
闪点476.7±37.1 °C
-
分子量837.047
-
精确质量836.524597
-
P S A216.89000
-
外观形状白色结晶粉末
-
储存条件
-
稳定性
-
水溶解性
-
形态无臭味苦白色晶体粉末.
-
H L B值
-
粘度
-
PH值
作用/用途
Roxithromycin是半合成的大环内酯类抗生素。
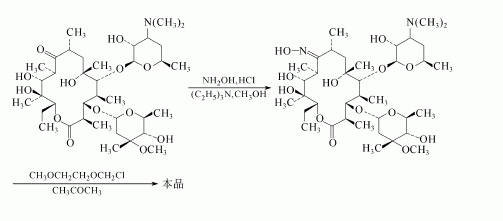
制备方法
以红霉素为原料,和盐酸羟胺在三乙胺和甲醇中反应,生成肟,然后和甲氧基乙氧基甲基氯在丙酮中反应,即得罗红霉素。
安全提醒
MSDS
原料简介
应用范围
毒性和生态
安全信息
| 符号 |
GHS07 |
|---|---|
| 信号词 | Warning |
| 危害声明 | H302 |
| 警示性声明 | P301 + P312 + P330 |
| 个人防护装备 | dust mask type N95 (US);Eyeshields;Gloves |
| 危害码 (欧洲) | Xn:Harmful |
| 风险声明 (欧洲) | R22 |
| 安全声明 (欧洲) | 26 |
| 危险品运输编码 | NONH for all modes of transport |
| RTECS号 | KF4990000 |
| 海关编码 | 2941500000 |
是否危险品
危险性
危险类别码
危险等级
触发危险方式
安全技术说明书
环境影响程度
包装与储运
相关供应商








