盐酸布那唑嗪
为αl-受体阻滞药,几乎不影响心率。用于原发性、肾性、嗜铬细胞瘤引起的高血压。
产品名称
-
中文名盐酸布那唑嗪
-
英文名Bunazosin hydrochloride
-
中文别名1-(4-氨基-6,7-二甲氧基喹唑啉-2-基)-4-丁酰基六氢-1H-1,4-二氮杂卓盐酸盐 | 1-[4-(4-氨基-6,7-二甲氧基喹唑啉-2-基)-1,4-二氮杂环庚烷-1-基]丁-1-酮盐酸盐
-
英文别名
1-Butanone, 1-[4-(4-amino-6,7-dimethoxy-2-quinazolinyl)hexahydro-1H-1,4-diazepin-1-yl]-, hydrochloride (1:1) 1-[4-(4-Amino-6,7-dimethoxy-2-quinazolinyl)-1,4-diazepan-1-yl]-1-butanone hydrochloride (1:1) 1-[4-(4-amino-6,7-dimethoxyquinazolin-2-yl)-1,4-diazepan-1-yl]butan-1-one hydrochloride (1:1) Detantol Detantol-R Bunzaosin Hcl Bunazosin Hcl 1H-1,4-Diazepine, 1-(4-amino-6,7-dimethoxy-2-quinazolinyl)hexahydro-4-(1-oxobutyl)-, monohydrochloride E-643 -
常用名盐酸布那唑嗪
-
C A S号52712-76-2
物理性质
-
密度1.221g/cm3
-
沸点620.6ºC at 760mmHg
-
熔点280-282°
-
化学式C19H28ClN5O3
-
结构式
-
闪点329.1ºC
-
分子量409.910
-
精确质量409.188080
-
P S A93.81000
-
外观形状
-
储存条件库房通风低温干燥
-
稳定性
-
水溶解性
-
形态
-
H L B值
-
粘度
-
PH值
作用/用途
为αl-受体阻滞药,几乎不影响心率。用于原发性、肾性、嗜铬细胞瘤引起的高血压。
制备方法
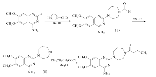
方法1:4-氨基-2-氯-6,7-二甲氧基喹唑啉和1-甲酰基高哌嗪,在丁醇中回流;生成的化合物(I)在9%盐酸中回流,得化合物(Ⅱ),收率80.4%。再和丁酰氯在丙酮中反应,得布那唑嗪。
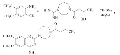
方法2:2-氨基-4,5-二甲氧基苯腈、化合物(Ⅲ)和甲醇钠,在二甲亚砜中回流,得布那唑嗪。
安全提醒
MSDS
原料简介
应用范围
毒性和生态
安全信息
| 海关编码 | 2933990090 |
|---|
是否危险品
危险性
危险类别码
危险等级
触发危险方式
安全技术说明书
环境影响程度
包装与储运
相关供应商

搜索







