5-氨基水杨酸
-
中文名美沙啦嗪(5-氨基水杨酸)
-
英文名5-Aminosalicylic Acid
-
中文别名美沙拉嗪 | 氨水杨酸 | 5-氨基-2-羟基苯甲酸 | 2-羟基-5-氨基苯甲酸 | 马沙拉嗪 | 美沙拉秦 | 3-羧基-4-羟基苯胺
-
英文别名
5-Aminosalicylic Acid Mesalamine 5-AMINOSALICILIC ACID 5-AMINO SALICYLIC ACID Mesalamine (Lialda) Bactylan Pasalon-rakeet 5-amino-2-hydroxybenzoic acid Tubersan Salvis Paracipan EINECS 201-919-1 4-Amino-2-hydroxybenzoic acid MFCD00007877 Sanipirol Lepasen PASA 2-Cyanobenzoic acid Pasmicina Benzoic acid, 4-amino-2-hydroxy- Rezipas ZR CQ DVQ Passodico 5-AMINO-2-HYDROXYBENZOIC ACID FOR SYNTHESIS 5-Aminosalicylicacid 5-AMINOSALICYLIC ACID (MESALAZINE) 5-Aminosalicglic acid Mesalazine Aminosalicylic Acid 5-AMINOSALICYLIC ACID , CRM STANDARD Aminacyl Paser -
常用名5-氨基水杨酸
-
C A S号89-57-6
-
密度1.5±0.1 g/cm3
-
沸点380.8±32.0 °C at 760 mmHg
-
熔点275-280 °C (dec.)(lit.)
-
化学式C7H7NO3
-
结构式
1、 摩尔折射率:39.30
2、 摩尔体积(cm3/mol):102.6
3、 等张比容(90.2K):310.2
4、 表面张力(dyne/cm):83.3
5、 极化率(10-24cm3):15.57
-
闪点184.1±25.1 °C
-
分子量153.135
-
精确质量153.042587
-
P S A83.55000
-
外观形状白色至灰白色粉末
-
储存条件
本品应密封于4℃保存。
-
稳定性
-
水溶解性
-
形态白色至带粉红色的结晶。对光和空气敏感。
-
H L B值
-
粘度
-
PH值
方法1:水杨酸和水混合后,在50℃和搅拌下,缓慢滴加68%硝酸和冰醋酸的混合液。再升温至70~80℃反应。将反应液倾入水中,于5℃放置。过滤,滤饼用热水重结晶,得5-硝基水杨酸固体,收率40%。
在60℃,往盐酸溶液中加入铁粉。加热煮沸后,加入1/4的5-硝基水杨酸。剧烈搅拌后,将其余硝基物和铁粉分批交替加入。加毕,于102℃反应。趁热用50%氢氧化钠调至强碱性,过滤。滤饼用热水洗,滤液和洗液合并后,加入保险粉,用40%硫酸酸化至Ph值4。冷却,过滤,干燥,将其和亚硫酸氢钠溶于热水,和活性炭一起煮沸。热过滤,滤饼用少量热水洗。滤液和洗液合并,在5℃放置。滤集结晶,用冰水充分洗涤,干燥,得白色针状的美沙拉秦结晶,熔点278℃(分解)。
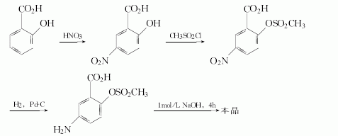
方法2:水杨酸经硝化得5-硝基水杨酸后,再和甲磺酰氯反应以对酚羟基进行保护,然后氢化还原硝基为氨基,最后水解得到美沙拉秦。
方法3:苯胺经重氮化得重氮盐,将其加入水杨酸、碳酸钠和40%氢氧化钠的溶液中,在0~6℃剧烈搅拌,并保持Ph值为8。过滤,饱和食盐水洗,压干。溶入40%氢氧化钠溶液,在80~85℃加入保险粉。待溶液完全褪色后,水蒸气蒸馏蒸除苯胺,过滤。滤液用浓盐酸调至Ph值6~6.5,放置过夜。过滤,冷水洗涤,干燥后的粗品溶于水,滴加浓盐酸至溶解,再加入活性炭,加热至沸。过滤,冷却,用稀氢氧化钠调至Ph值2~3。过滤,冷水洗涤,常温真空干燥,得灰白色的美沙拉秦固体,熔点278℃(分解),总收率45.9%。
方法4:对氨基苯酚和适量催化剂,在2.0~3.0MPa的CO2压力和130~190℃下搅拌。冷至室温,加入水和保险粉,搅拌。冷至0~3℃,滤去不溶物,水洗。洗液和滤液合并,用盐酸调至Ph值3~4,过滤,水洗,得美沙拉秦粗品。向粗品加入水、碳酸氢钠和亚硫酸氢钠,热至50~60℃全溶后,加入活性炭煮沸。过滤,冷却,稀盐酸调至Ph值3.5。过滤,水洗,干燥,得灰白色的精品.收率91.1%,含量99.2%。
|
模块1. 化学品 1.1 产品标识符 : 5-氨基水杨酸 产品名称 1.2 鉴别的其他方法 Mesalamine 5-AS
5-Amino-2-hydroxybenzoic acid 1.3 有关的确定了的物质或混合物的用途和建议不适合的用途 仅用于研发。不作为药品、家庭或其它用途。 模块2. 危险性概述 2.1 GHS-分类 急性毒性, 经口 (类别 5) 皮肤刺激 (类别 2) 眼睛刺激 (类别 2A) 特异性靶器官系统毒性(一次接触) (类别 3) 2.2 GHS 标记要素,包括预防性的陈述 象形图 警示词警告 危险申明 H303吞咽可能有害。 H315造成皮肤刺激。 H319造成严重眼刺激。 H335可能引起呼吸道刺激。 警告申明 预防措施 P261避免吸入粉尘/烟/气体/烟雾/蒸气/喷雾. P264操作后彻底清洁皮肤。 P271只能在室外或通风良好之处使用。 P280穿戴防护手套/ 眼保护罩/ 面部保护罩。 事故响应 P302 + P352如果皮肤接触:用大量肥皂和水清洗。 P304 + P340如吸入: 将患者移到新鲜空气处休息,并保持呼吸舒畅的姿势。 P305 + P351 + P338如与眼睛接触,用水缓慢温和地冲洗几分钟。如戴隐形眼镜并可方便地取 出,取出隐形眼镜,然后继续冲洗. P312如感觉不适,呼救中毒控制中心或医生. P321具体处置(见本标签上提供的急救指导)。 P332 + P313如觉皮肤刺激:求医/就诊。 P337 + P313如仍觉眼睛刺激:求医/就诊。 P362脱掉沾污的衣服,清洗后方可再用。 安全储存 P403 + P233存放于通风良的地方。 保持容器密闭。 P405存放处须加锁。 废弃处置 P501将内容物/ 容器处理到得到批准的废物处理厂。 2.3 其它危害物 - 无 模块3. 成分/组成信息 3.1 物 质 : Mesalamine 别名 5-AS 5-Amino-2-hydroxybenzoic acid : C7H7NO3 分子式 : 153.14 g/mol 分子量 组分浓度或浓度范围 Mesalamine <=100% 化学文摘登记号(CAS89-57-6 No.)201-919-1 EC-编号 模块4. 急救措施 4.1 必要的急救措施描述 一般的建议 请教医生。 向到现场的医生出示此安全技术说明书。 吸入 如果吸入,请将患者移到新鲜空气处。 如呼吸停止,进行人工呼吸。 请教医生。 皮肤接触 用肥皂和大量的水冲洗。 请教医生。 眼睛接触 用大量水彻底冲洗至少15分钟并请教医生。 食入 切勿给失去知觉者通过口喂任何东西。 用水漱口。 请教医生。 4.2 主要症状和影响,急性和迟发效应 据我们所知,此化学,物理和毒性性质尚未经完整的研究。 4.3 及时的医疗处理和所需的特殊处理的说明和指示 无数据资料 模块5. 消防措施 5.1 灭火介质 灭火方法及灭火剂 用水雾,抗乙醇泡沫,干粉或二氧化碳灭火。 5.2 源于此物质或混合物的特别的危害 碳氧化物, 氮氧化物 5.3 给消防员的建议 如必要的话,戴自给式呼吸器去救火。 5.4 进一步信息 无数据资料 模块6. 泄露应急处理 6.1 作业人员防护措施、防护装备和应急处置程序 使用个人防护用品。 避免粉尘生成。 避免吸入蒸气、烟雾或气体。 保证充分的通风。 人员疏散到安全区域。 避免吸入粉尘。 6.2 环境保护措施 不要让产品进入下水道。 6.3 泄漏化学品的收容、清除方法及所使用的处置材料 收集和处置时不要产生粉尘。 扫掉和铲掉。 放入合适的封闭的容器中待处理。 6.4 参考其他部分 丢弃处理请参阅第13节。 模块7. 操作处置与储存 7.1 安全操作的注意事项 避免接触皮肤和眼睛。 避免形成粉尘和气溶胶。 在有粉尘生成的地方,提供合适的排风设备。 7.2 安全储存的条件,包括任何不兼容性 贮存在阴凉处。 使容器保持密闭,储存在干燥通风处。 建议的贮存温度: 2 - 8 °C 对光线敏感 7.3 特定用途 无数据资料 模块8. 接触控制和个体防护 8.1 容许浓度 最高容许浓度 没有已知的国家规定的暴露极限。 8.2 暴露控制 适当的技术控制 根据良好的工业卫生和安全规范进行操作。 休息前和工作结束时洗手。 个体防护设备 眼/面保护 带有防护边罩的安全眼镜符合 EN166要求请使用经官方标准如NIOSH (美国) 或 EN 166(欧盟) 检测与批准的设备防护眼部。 皮肤保护 戴手套取 手套在使用前必须受检查。 请使用合适的方法脱除手套(不要接触手套外部表面),避免任何皮肤部位接触此产品. 使用后请将被污染过的手套根据相关法律法规和有效的实验室规章程序谨慎处理. 请清洗并吹干双手 所选择的保护手套必须符合EU的89/686/EEC规定和从它衍生出来的EN 376标准。 完全接触 物料: 丁腈橡胶 最小的层厚度 0.11 mm 溶剂渗透时间: 480 min 测试过的物质Dermatril® (KCL 740 / Z677272, 规格 M) 飞溅保护 物料: 丁腈橡胶 最小的层厚度 0.11 mm 溶剂渗透时间: 480 min 测试过的物质Dermatril® (KCL 740 / Z677272, 规格 M) , 测试方法 EN374 如果以溶剂形式应用或与其它物质混合应用,或在不同于EN 374规定的条件下应用,请与EC批准的手套的供应商联系。 这个推荐只是建议性的,并且务必让熟悉我们客户计划使用的特定情况的工业卫生学专家评估确认才可. 这不应该解释为在提供对任何特定使用情况方法的批准. 身体保护 防渗透的衣服, 防护设备的类型必须根据特定工作场所中的危险物的浓度和数量来选择。 呼吸系统防护 如须暴露于有害环境中,请使用P95型(美国)或P1型(欧盟 英国 143)防微粒呼吸器。如需更高级别防护,请使用OV/AG/P99型(美国)或ABEK-P2型 (欧盟 英国 143) 防毒罐。 呼吸器使用经过测试并通过政府标准如NIOSH(US)或CEN(EU)的呼吸器和零件。 模块9. 理化特性 9.1 基本的理化特性的信息 a) 外观与性状 形状: 粉末 b) 气味 无数据资料 c) 气味阈值 无数据资料 d) pH值 无数据资料 e) 熔点/凝固点 熔点/凝固点: 275 - 280 °C - 分解 f) 沸点、初沸点和沸程 无数据资料 g) 闪点 无数据资料 h) 蒸发速率 无数据资料 i) 易燃性(固体,气体) 无数据资料 j) 高的/低的燃烧性或爆炸性限度 无数据资料 k) 蒸气压 无数据资料 l) 蒸汽密度 无数据资料 m) 密度/相对密度 无数据资料 n) 水溶性 无数据资料 o) n-辛醇/水分配系数 无数据资料 p) 自燃温度 无数据资料 q) 分解温度 无数据资料 r) 粘度 无数据资料 模块10. 稳定性和反应活性 10.1 反应性 无数据资料 10.2 稳定性 无数据资料 10.3 危险反应 无数据资料 10.4 应避免的条件 发光。 10.5 不相容的物质 酸, 酰基氯, 酸酐, 氯甲酸酯, 强氧化剂 10.6 危险的分解产物 其它分解产物 - 无数据资料 模块11. 毒理学资料 11.1 毒理学影响的信息 急性毒性 半数致死剂量 (LD50) 经口 - 大鼠 - 2,800 mg/kg 备注: 行为的:嗜睡(全面活力抑制)。 行为的:食物摄取(动物)。 胃肠的:其他变化 半数致死剂量 (LD50) 经皮 - 兔子 - > 5,000 mg/kg 皮肤刺激或腐蚀 无数据资料 眼睛刺激或腐蚀 无数据资料 呼吸道或皮肤过敏 无数据资料 生殖细胞致突变性 无数据资料 致癌性 IARC: 此产品中没有大于或等于 0。1%含量的组分被 IARC鉴别为可能的或肯定的人类致癌物。 生殖毒性 无数据资料 特异性靶器官系统毒性(一次接触) 吸入 - 可能引起呼吸道刺激。 特异性靶器官系统毒性(反复接触) 无数据资料 吸入危险 无数据资料 潜在的健康影响 吸入吸入可能有害。 引起呼吸道刺激。 摄入如服入是有害的。 皮肤通过皮肤吸收可能有害。 造成皮肤刺激。 眼睛造成严重眼刺激。 接触后的征兆和症状 据我们所知,此化学,物理和毒性性质尚未经完整的研究。 附加说明 化学物质毒性作用登记: VO1400000 模块12. 生态学资料 12.1 生态毒性 无数据资料 12.2 持久性和降解性 无数据资料 12.3 潜在的生物累积性 无数据资料 12.4 土壤中的迁移性 无数据资料 12.5 PBT 和 vPvB的结果评价 无数据资料 12.6 其它不良影响 无数据资料 模块13. 废弃处置 13.1 废物处理方法 产品 将剩余的和不可回收的溶液交给有许可证的公司处理。 与易燃溶剂相溶或者相混合,在备有燃烧后处理和洗刷作用的化学焚化炉中燃烧 受污染的容器和包装 按未用产品处置。 模块14. 运输信息 14.1 联合国危险货物编号 欧洲陆运危规: -国际海运危规: -国际空运危规: - 14.2 联合国运输名称 欧洲陆运危规: 非危险货物 国际海运危规: 非危险货物 国际空运危规: 非危险货物 14.3 运输危险类别 欧洲陆运危规: -国际海运危规: -国际空运危规: - 14.4 包裹组 欧洲陆运危规: -国际海运危规: -国际空运危规: - 14.5 环境危险 欧洲陆运危规: 否国际海运危规国际空运危规: 否 海洋污染物(是/否): 否 14.6 对使用者的特别提醒 无数据资料 模块 15 - 法规信息 N/A 模块16 - 其他信息 N/A |
| 符号 |
GHS07 |
|---|---|
| 信号词 | Warning |
| 危害声明 | H315-H319-H335 |
| 警示性声明 | P261-P305 + P351 + P338 |
| 个人防护装备 | dust mask type N95 (US);Eyeshields;Gloves |
| 危害码 (欧洲) | Xi |
| 风险声明 (欧洲) | 36/37/38 |
| 安全声明 (欧洲) | S26-S36-S24/25 |
| 危险品运输编码 | NONH for all modes of transport |
| WGK德国 | 2 |
| RTECS号 | VO1400000 |
| 海关编码 | 29225000 |

搜索











