奥氮平
-
中文名奥氮平
-
英文名Olanzapine
-
中文别名奥兰扎平 | 2-甲基-4-(4-甲基-1-哌嗪基)-10H-噻吩并[2,3-b][1,5]苯并二氮杂 | 2-甲基-4-(4-甲基-1-哌嗪基)-10H-thieno[2,3-b][1,5]苯二氮
-
英文别名
10H-thieno2,3-b1,5benzodiazepine, 2-methyl-4-(4-methyl-1-piperazinyl)- Olanzapine 2-Methyl-4-(4-methyl-1-piperazinyl)- 10H-thieno[2,3-b][1,5]benzodiazepine 2-Methyl-4-(4-methylpiperazin-1-yl)-10H-thieno[2,3-b][1,5]benzodiazepine 2-Methyl-4-(4-methylpiperazin-1-yl)-10H-benzo[b]thieno[2,3-e][1,4]diazepine 2-méthyl-4-(4-méthylpipérazin-1-yl)-10H-thiéno[2,3-b][1,5]benzodiazépine 2-Methyl-4-(4-methyl-1-piperazinyl)- 10H-thieno[2,3-b][1,5]benzodiazepine LY-170053 Integrol Oltal Larmac ZYPREXA OLANZAPINE FORM I 2-Methyl-4-(4-methyl-1-piperazinyl)-10H-thieno[2,3-b][1,5]benzodiazepine 2-methyl-4-(4-methylpiperazin-1-yl)-10H-thieno2,3-b1,5benzodiazepine lanzac Oleanz 10H-Thieno[2,3-b][1,5]benzodiazepine, 2-methyl-4-(4-methyl-1-piperazinyl)- 2-Methyl-4-(4-methylpiperazin-1-yl)-10H-thieno[2,3-b][1,5]benzodiazepin Oliza MFCD00866702 EINECS 200-835-2 -
常用名奥氮平
-
C A S号132539-06-1
-
密度1.3±0.1 g/cm3
-
沸点476.0±55.0 °C at 760 mmHg
-
熔点195°C
-
化学式C17H20N4S
-
结构式
1、 摩尔折射率:92.15
2、 摩尔体积(cm3/mol):235.9
3、 等张比容(90.2K):633.7
4、 表面张力(dyne/cm):52.0
5、 极化率(10-24cm3):36.53
-
闪点241.7±31.5 °C
-
分子量312.432
-
精确质量312.140869
-
P S A59.11000
-
外观形状淡黄色结晶粉末
-
储存条件-20°C Freezer
-
稳定性
-
水溶解性
-
形态
-
H L B值
-
粘度
-
PH值
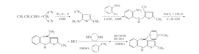
1. 4-氨基-2-甲基-10H-噻吩并[2,3-b][1,5]苯并二氮杂革盐酸盐和N-甲基哌嗪,在二甲亚砜和甲苯中,氮气保护下回流20h,得到奥氮平。
2. 2-氨基-3-氰基-5-甲基噻吩的制备
在反应瓶中加入硫21.8g(0.68mol)、丙醛47.3g(0.81mol)和DMA135ml,搅拌溶解,5~10ºC滴加三乙胺57.6g(0.61mol),约30min加完,于18~20ºC搅拌1h.滴加丙二腈45g(0.68mol)的DMF90ml溶液,约1h加完,继续于15~20ºC搅拌反应1h.将反应液倾入冰水中,产生黄色沉淀,稍放置,过滤,水洗,干燥,得黄色固体2-氨基-3-氰基-5-甲基噻吩70g,收率74.6%,mp99~100ºC.
3. 2-(邻硝基苯氨基)-3-氰基-5-甲基噻吩的制备
在反应瓶中加入邻氯硝基苯28.2g(0.2mol)、2-氨基-3-氰基-5-甲基噻吩27.6g(0.2mol)、LiOH12.4g(0.3mol)和DMF150ml,于70 ºC搅拌反应6h.冷却,倒入碎冰中,用二氯甲烷(500×3)提取,用2mol/L盐酸100ml洗,水(200ml×2)洗,无水MgSO4干燥,减压蒸除回收溶剂,剩余物用乙醇重结晶,得黄色结晶2-(邻硝基苯氨基)-3-氰基-5-甲基噻吩35g, 收率70%,mp99~101ºC.
4. 2-甲基-4-氨基-10H-噻吩并[2,3-b][1,5]苯二氮杂盐酸盐的制备
在反应瓶中加入乙醇600ml和2-(邻硝基苯氨基)-3-氰基-5-甲基噻吩60g(0.23mol),于50 ºC搅拌10min.于10min内加入二水氯化亚锡170g(0.75mol)的6mol/L盐酸500ml的溶液,搅拌回流1h.减压蒸除乙醇,自然冷却,析晶,过滤,用少量水洗滤饼,再用少量丙酮洗至呈黄色,抽干,干燥,得黄色固体2-甲基-4-氨基-10H-噻吩并[2,3-b][1,5]苯二氮杂盐酸盐50g,收率82%,mp>250ºC.
5. 奥氮平的合成
在反应瓶中加入2-甲基-4-氨基-10H-噻吩并[2,3-b][1,5]苯二氮杂盐酸盐50g(0.19mol)、无水哌嗪200g(2.3mol)、DMSO250ml和甲苯250ml,搅拌溶解,搅拌回流20h.冷至50 ºC,倾入冰水1000ml中,放置析晶,过滤,水洗,抽干,干燥,得黄色固体.将固体加到反应瓶中,再加入DMSO500ml、37%甲醛14.6g(0.18mol)和98%甲酸8.5g(0.18mol),于80 ºC搅拌2h.倾入冰水中析晶,过滤,水洗,干燥得粗品奥氮平50g,用乙醇500ml重结晶,得奥氮平纯品40g,收率68%,mp193~195 ºC.
|
奥氮平MSDS英文版
|
| 符号 |
GHS07 |
|---|---|
| 信号词 | Warning |
| 危害声明 | H315-H319 |
| 警示性声明 | P305 + P351 + P338 |
| 危害码 (欧洲) | Xi,Xn,F |
| 风险声明 (欧洲) | 36/38-36-20/21/22-11 |
| 安全声明 (欧洲) | S22-S24/25 |
| 危险品运输编码 | UN 2811 6.1 / PGIII |
| WGK德国 | 3 |
| 海关编码 | 2934999090 |

搜索








