氨溴索碱
Ambroxol (NA-872) 是一种分泌物化解剂,用于治疗粘液过多相关的呼吸系统疾病。
产品名称
-
中文名氨溴索 盐酸盐
-
英文名ambroxol
-
中文别名溴环己胺醇 | 氨溴素
-
英文别名
Cyclohexanol, 4-[[(2-amino-3,5-dibromophenyl)methyl]amino]- Mucosan Solvolan Pect MFCD00242702 4-[(2-Amino-3,5-dibromobenzyl)amino]cyclohexanol 2-amino-3,5-dibromo-N-[trans-4-hydroxycyclohexyl]benzylamine Mucofar Motosol trans-4-((2-Amino-3,5-dibromobenzyl)amino)cyclohexanol Sufactal N-(trans-4-hydroxy-cyclohexyl)-2-amino-3,5-dibromo-benzylamine Fluibron NA-872 Lindoxyl 4-[[(2-Amino-3,5-dibromophenyl)methyl]amino]cyclohexanol EINECS 242-500-3 -
常用名氨溴索碱
-
C A S号18683-91-5
物理性质
-
密度1.7±0.1 g/cm3
-
沸点468.6±45.0 °C at 760 mmHg
-
熔点233-234ºC
-
化学式C13H18Br2N2O
-
结构式
1、 摩尔折射率:81.32
2、 摩尔体积(cm3/mol):221.8
3、 等张比容(90.2K):625.8
4、 表面张力(dyne/cm):63.3
5、 极化率(10-24cm3):32.23
-
闪点237.2±28.7 °C
-
分子量378.103
-
精确质量375.978577
-
P S A58.28000
-
外观形状
-
储存条件库房通风低温干燥
-
稳定性
-
水溶解性
-
形态结晶
-
H L B值
-
粘度
-
PH值
作用/用途
Ambroxol (NA-872) 是一种分泌物化解剂,用于治疗粘液过多相关的呼吸系统疾病。
制备方法
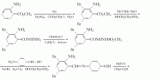
方法1:邻氨基苯甲酸甲酯、二氯乙烷、水和浓硫酸混合,在室温下滴加溴,加毕反应。加入30%双氧水,反应。滴加10%亚硫酸钠至棕色退去。冷至室温,分出有机相,减压浓缩至干。剩余物用甲醇重结晶后得二溴化物,收率95%。该二溴化物和乙二醇单醚、85%水合肼一起回流。冷至室温,滤集结晶,用甲醇重结晶得酰肼化物,收率83.7%。该酰肼化物溶于二氧六环和吡啶中,滴加甲磺酰氯。加毕,继续反应。减压蒸干,甲醇重结晶得甲磺酰肼衍生物,收率98%。反-4-氨基环己醇盐酸盐、氢氧化钠、碳酸钾和乙二醇单甲醚混合,于115℃分批加入甲磺酰肼衍生物,回流。加入水,过滤,四氯乙烯重结晶,得反-4-[(2-氨基-3,5-二溴苯亚甲基)氨基]环己醇,收率74.5%。该化合物和冰醋酸及5%钯-炭在0.196MPa和60℃下加氢。减压蒸干,乙醇重结晶,得氨溴索。将其加入丙酮中,滴加浓盐酸,析出的固体以水重结晶,得白色的盐酸氨溴索结晶,收率79.1%,熔点235~238℃(分解)。以邻氨基苯甲酸甲酯计的总收率为46%。
方法2:化合物(I)和4-氨基环己醇在二甲苯中加热,生成4-[(2-氨基苯甲酰基)氨基]环己醇;氢化铝锂还原后,在冰乙酸中溴化,即得氨溴索。
安全提醒
MSDS
原料简介
应用范围
毒性和生态
安全信息
| 危害码 (欧洲) | Xn:Harmful |
|---|---|
| 风险声明 (欧洲) | R22 |
| 安全声明 (欧洲) | S36 |
| WGK德国 | 3 |
| RTECS号 | GV8423000 |
| 海关编码 | 2922199090 |
是否危险品
危险性
危险类别码
危险等级
触发危险方式
安全技术说明书
环境影响程度
包装与储运
相关供应商

搜索









