阿雷地平
-
中文名阿雷地平
-
英文名MPC1304
-
中文别名2,6-二甲基-4-(2-硝基苯基)-1,4-二氢-3,5-吡啶二羧酸甲基2-氧丙基酯
-
英文别名
Sapresta aranidipine Mpc-1304 MPC1304 -
常用名阿雷地平
-
C A S号86780-90-7
-
密度1.284 g/cm3
-
沸点530ºC at 760 mmHg
-
熔点155°
-
化学式C19H20N2O7
-
结构式
1、 摩尔折射率:87.90
2、 摩尔体积(cm3/mol):272.2
3、 等张比容(90.2K):709.4
4、 表面张力(dyne/cm):46.0
5、 极化率(10-24cm3):34.84
-
闪点274.3ºC
-
分子量388.37100
-
精确质量388.12700
-
P S A127.52000
-
外观形状
-
储存条件
-
稳定性
-
水溶解性
-
形态
-
H L B值
-
粘度
-
PH值
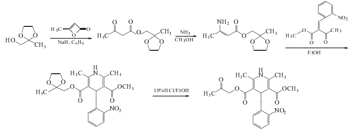
化合物(I)和3-氨基丁烯酸[2,2-(亚乙基二氧基)丙基]酯在乙醇中回流,缩合环合得到化合物(Ⅱ),再酸性水解得到产物。
1. 乙酰乙酸(2,2-亚乙基二氧基)丙基酯的制备
在反应瓶中加入纯苯100ml和2,2-亚乙基二氧基丙醇20g(0.169mol),搅拌混合,加入50%的氢化钠(NaH)100mg,在搅拌回流下再滴加乙酰基乙烯酮20g(0.238mol),滴毕,继续搅拌回流反应2h.将反应液蒸除溶剂后,再减压蒸馏,收集90ºC/800Pa(6mmHg)馏分,得乙酰乙酸(2,2-亚乙基二氧基)丙基酯21.5g,收率70%左
右,产物为无色油状物.
2. 氨基丁烯酸[2,2-(亚乙基二氧基)丙基]酯的制备
在反应瓶中加入甲醇100ml和上步制备的化合物19g(0.094mol),在冰浴冷却下搅拌通入氨气((鼓泡)反应2.5h. 反应毕,将反应液蒸除溶剂,剩余物再减压蒸馏,收集120ºC/667Pa(5mmHg)馏分,得氨基丁烯酸[2,2-(亚乙基二氧基)丙基]酯淡黄色油状物16g,收率84%左右.
2. 甲基-2,2-亚乙基二氧丙基-2,6-二甲基-4-(2-硝基苯基)-1,4-二氢吡啶-3,5-二羧酸酯的制备
在反应瓶中加入乙醇120ml、上步制备的化合物氨基丁烯酸[2,2-(亚乙基二氧基)丙基]酯7.5g(0.04mol)和2-硝基亚秝基乙酰乙酸甲酯10g(0.40mol),搅拌加热至回流,搅拌回流反应10h.然后将反应液静置过夜.析出结晶沉淀,过滤,滤饼用异丙醇/己烷重结晶,得黄色棱状结晶甲基-2,2-亚乙基二氧丙基-2,6-二甲基-4-(2-硝基苯基)-1,4-二氢吡啶-3,5-二羧酸酯11.0g左右#收率63%左右.mp156ºC.
3. 1,4-二氢-2,6-二甲基-4-(2-硝基苯基)-3,5-吡啶二羧酸甲基-2-氧丙基酯(!阿雷地平)的合成
在反应瓶中加入乙醇35ml(含10%盐酸5ml)和上步制备的化合物甲基-2,2-亚乙基二氧丙基-2,6-二甲基-4-(2-硝基苯基)-1,4-二氢吡啶-3,5-二羧酸酯8.2g(18.98mol),搅拌加热至回流,搅拌回流反应6h.将反应液溶剂蒸除#
剩余物加乙醚析晶#过滤后#滤饼用乙酸乙酯/己烷重结晶#得黄色棱状结晶1,4-二氢-2,6-二甲基-4-(2-硝基苯基)-3,5-吡啶二羧酸甲基-2-氧丙基酯(!阿雷地平)约4.8g,收率65%左右,mp55ºC.

搜索








