盐酸阿扎司琼
【用途一】
镇吐药。为选择性、强效5-HT3受体拮抗剂,对其它受体的亲和力很弱或没有。
镇吐药。为选择性、强效5-HT3受体拮抗剂,对其它受体的亲和力很弱或没有。
【用途二】
抗肿瘤药。
抗肿瘤药。
产品名称
-
中文名阿扎司琼
-
英文名Azasetron
-
中文别名N-(1-氮杂双环[2,2,2]辛-3-基)-6-氯-4-甲基-3-氧代-3,4-二氢-2H-1,4-苯并恶嗪-8-甲酰胺盐酸盐 | (±)-N-1-氮杂双环[2.2.2]辛-3-基-6-氯-3,4-二氢-4-甲基-3-氧-2H-1,4-苯并噁嗪-8-羧酰胺
-
英文别名
Azasetron HCl AZASETRON HYDROCHLORIDE BASE AZASETRONHCL AZASETRON, HCL MFCD00209913 2H-1,4-BENZOXAZINE-8-CARBOXAMIDE,N-1-AZABICYCLO[2.2.2]OCT-3-YL-6-CHLORO-3,4-DIHYDRO-4-METHYL-3-OXO- Serotone Azasetron hydrochloride N-(1-Azabicyclo[2.2.2]oct-3-yl)-6-chloro-4-methyl-3-oxo-3,4-dihydro-2H-1,4-benzoxazine-8-carboxamide 6-Chloro-4-methyl-3-oxo-3,4-dihydro-2H-benzo[1,4]oxazine-8-carboxylic acid (1-aza-bicyclo[2.2.2]oc; t-3-yl)-amide Azasetron UNII:77HC7URR9Z N-(1-AZABICYCLO[2.2.2]OCT-3-YL)-6-CHLORO-4-METHYL-3-OXO-3,4-DIHYDRO-2H-1,4-BENZOXAZINE-8-CARBOXAMIDE HCL NAZASETRON 2H-1,4-Benzoxazine-8-carboxamide, N-1-azabicyclo[2.2.2]oct-3-yl-6-chloro-3,4-dihydro-4-methyl-3-oxo- -
常用名盐酸阿扎司琼
-
C A S号123040-69-7
物理性质
-
密度1.4±0.1 g/cm3
-
沸点558.0±50.0 °C at 760 mmHg
-
熔点301-303°C
-
化学式C17H20ClN3O3
-
结构式
1、 摩尔折射率:89.72
2、 摩尔体积(cm3/mol):245.8
3、 等张比容(90.2K):696.9
4、 表面张力(dyne/cm):64.5
5、 极化率(10-24cm3):35.56
-
闪点291.2±30.1 °C
-
分子量349.812
-
精确质量349.119324
-
P S A61.88000
-
外观形状白色结晶
-
储存条件-20°C Freezer
-
稳定性
-
水溶解性
-
形态
-
H L B值
-
粘度
-
PH值
作用/用途
【用途一】
镇吐药。为选择性、强效5-HT3受体拮抗剂,对其它受体的亲和力很弱或没有。
镇吐药。为选择性、强效5-HT3受体拮抗剂,对其它受体的亲和力很弱或没有。
【用途二】
抗肿瘤药。
抗肿瘤药。
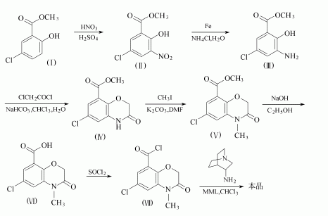
制备方法
5-氯-2-羟基苯甲酸甲酯在硫酸液中用硝酸硝化,然后在水中用铁粉和氯化铵还原为胺。生成的胺和氯乙酰氯,在碳酸氢钠作用下,在氯仿-水混合液中酰化并环合,得到的化合物在二甲基甲酰胺中,碳酸钾存在下,用碘甲烷甲基化,再水解为羧酸。然后和氯化亚砜回流生成酰氯,最后在含N-甲基吗啉氯仿中和3-氨
基奎宁缩合,即得阿扎司琼。
安全提醒
MSDS
原料简介
应用范围
毒性和生态
安全信息
| 风险声明 (欧洲) | R36/37/38:Irritating to eyes, respiratory system and skin . |
|---|---|
| 安全声明 (欧洲) | 22-24/25 |
| WGK德国 | 3 |
| RTECS号 | SP5670000 |
| 海关编码 | 32041300 |
是否危险品
危险性
危险类别码
危险等级
触发危险方式
安全技术说明书
环境影响程度
包装与储运
相关供应商

搜索







