亚胺培南(一水物)
-
中文名亚胺培南(一水物)
-
英文名Imipenem
-
中文别名亚胺培南 | 亚胺培南一水合物 | 亚胺硫霉素一水合物/5-(2-氯苯甲基)-4,5,6,7-四氢噻吩并[3,2-C]吡啶盐酸盐 | 亚胺硫霉素 | (5R,6S)-6-[(1R)-1-羟乙基]-3-[[2-[(亚氨甲基)氨基]乙基]硫]-7-氧代-1-氮杂双环[3.2.0]庚-2-烯-2-羧酸
-
英文别名
1-Azabicyclo[3.2.0]hept-2-ene-2-carboxylic acid, 6-[(1R)-1-hydroxyethyl]-3-[[2-[(iminomethyl)amino]ethyl]thio]-7-oxo-, (5R,6S)-, hydrate (1:1) (5R,6S)-3-((2-(Formimidoylamino)ethyl)thio)-6-((R)-1-hydroxyethyl)-7-oxo-1-azabicyclo(3.2.0)hept-2-ene-2-carboxylic acid monohydrate (5R,6S)-6-[(1R)-1-Hydroxyethyl]-3-({2-[(iminomethyl)amino]ethyl}sulfanyl)-7-oxo-1-azabicyclo[3.2.0]hept-2-en-2-carbonsäurehydrat (5R,6S)-6-[(1R)-1-Hydroxyethyl]-3-({2-[(iminomethyl)amino]ethyl}sulfanyl)-7-oxo-1-azabicyclo[3.2.0]hept-2-ene-2-carboxylic acid hydrate (1:1) Imipenem hydrate N-Formimidoylthienamycin Monohydrate MFCD08458212 Imipenem monohydrate Imipenem, Monohydrate EINECS 264-734-5 1-azabicyclo[3.2.0]hept-2-ene-2-carboxylic acid, 6-[(1R)-1-hydroxyethyl]-3-[[2-[(iminomethyl)amino]ethyl]thio]-7-oxo-, (5R,6S)-, monohydrate acide (5R,6S)-6-[(1R)-1-hydroxyéthyl]-3-({2-[(iminométhyl)amino]éthyl}sulfanyl)-7-oxo-1-azabicyclo[3.2.0]hept-2-ène-2-carboxylique hydrate [5R-[5a,6a(R*)]]-6-(1-Hydroxyethyl)-3-[[2-[(iminomethyl)amino]ethyl]thio]-7-oxo-1-azabicyclo[3.2.0]hept-2-ene-2-carboxylic Acid Monohydrate (5R,6S)-6-[(1R)-1-hydroxyethyl]-3-({2-[(iminomethyl)amino]ethyl}sulfanyl)-7-oxo-1-azabicyclo[3.2.0]hept-2-ene-2-carboxylic acid hydrate Imipenem -
常用名亚胺培南(一水物)
-
C A S号74431-23-5
-
密度1.02 g/mL at 25 °C
-
沸点34.6°C
-
熔点-116.3°C
-
化学式C12H19N3O5S
-
结构式
-
闪点<−30 °F
-
分子量317.36
-
精确质量317.104553
-
P S A148.25000
-
外观形状灰白色无吸湿的晶体
-
储存条件-20°C Freezer
-
稳定性
-
水溶解性
-
形态
-
H L B值
-
粘度
-
PH值
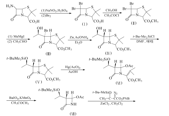
以6-氨基青霉烷酸(6-APA)为原料。二氯甲烷、溴、硫酸和亚硝酸钠混合,加入6-APA。反应完毕再滴加亚硫酸氢钠水溶液中和。分出有机层,用饱和氯化钠洗,得6,6-二溴青霉烷酸(Ⅰ),收率89%。
将(I)加到乙酰氯的甲醇溶液中,反应6h,得6,6-二溴青霉烷酸甲酯 (Ⅱ),收率91%。将(Ⅱ)溶于四氢呋喃,在-78℃下滴加甲基碘化镁,40min后加入乙醛,反应10min,加入饱和氯化铵水溶液终止反应,提取,浓缩,HPLC分离,得化合物(Ⅲ)。
化合物(Ⅲ)、乙醚、锌粉和1mol/L.乙酸铵,室温反应1h。过滤,萃取,浓缩,HPLC分离,得化合物(Ⅳ),收率92%。
化合物(Ⅳ)、二甲基甲酰胺、咪唑和氯化叔丁基硅,搅拌过夜。乙醚稀释提取,洗涤,浓缩,得化合物(V),收率98%。
化合物(V)、冰乙酸和乙酸汞,90℃反应1h。冷却,过滤,浓缩,加入乙酸乙酯。过滤,滤液洗涤,浓缩,得化合物(Ⅳ),收率75%。
化合物(Ⅵ)、丙酮、NaIO4(含少量KMnO4)水溶液和0.033mol/L磷酸缓冲液(pH=7.0),室温反应过夜。过滤,滤液浓缩一半,加氯化钠饱和,乙酸乙酯提取数次。提取液洗涤,浓缩,得化合物(Ⅶ),收率70%。
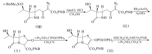
化合物(Ⅶ)、ZnCl2和二氯甲烷混合,滴加2-重氮基-3-叔丁基二甲基硅氧-3-丁烯酸对硝基苄酯的二氯甲烷溶液,再反应1h。用乙酸乙酯稀释,水洗,干燥,浓缩,ⅥC分离,得化合物(Ⅷ),收率80%。
化合物(Ⅷ)溶于甲醇,加入1mol/L,盐酸,反应6h,得化合物(Ⅺ),收率95%。
化合物(Ⅸ)、乙酸乙酯和微量的Rh2(Oac)4,回流10min。过滤,浓缩得化合物(X),收率99%。
化合物(X)、无水乙腈和二异丙基乙基胺混合,滴加氯化二苯基磷酸酯。反应完毕,浓缩至干,得化合物(Ⅺ),收率85%。
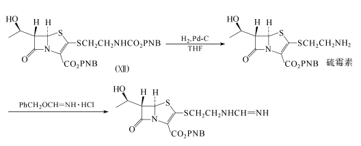
化合物(Ⅺ)溶于乙腈,滴加二异丙基乙基胺,再在0℃以下滴加N-[(对硝基苄氧)羰基]氨基乙硫醇的无水乙腈溶液,反应2h。TLC分离,得化合物(Ⅻ),收率51%。
化合物(Ⅻ)溶于四氢呋喃,加入磷酸缓冲液和。10%钯-炭,氢化得硫霉素。在低温下加入苄氧基甲基亚胺盐酸盐,过滤分离,得亚胺培南,收率10.1%。
| 个人防护装备 | Eyeshields;Gloves;type N95 (US);type P1 (EN143) respirator filter |
|---|---|
| 危害码 (欧洲) | F+,C,F |
| 风险声明 (欧洲) | R12:Extremely Flammable. R14/15:Reacts violently with water, liberating extremely flammable gases . R19:May form explosive peroxides. R22:Harmful if swallowed. R34:Causes burns. R66:Repeated exposure may cause skin dryness or cracking. R67:Vapors may cause |
| 安全声明 (欧洲) | S16-S26-S36/37/39-S43-S45-S7/8-S27 |
| 危险品运输编码 | UN 3399 4.3/PG 1 |
| WGK德国 | 1 |
| 包装等级 | I |
| 危险类别 | 4.3 |

搜索








