孟鲁司特
止喘药。选择性白细胞三烯D4受体拮抗剂。
产品名称
-
中文名孟鲁司特
-
英文名Montelukast
-
中文别名莫特司特 | (R-(E))-1-(((1-(3-(2-(7-氯-2-喹啉基)乙烯基)苯基)-3-(2-(1-羟基-1-甲基乙基)苯基)丙基)硫)甲基)环丙基乙酸
-
英文别名
Cyclopropaneacetic acid, 1-[[[(1R)-1-[3-[(E)-2-(7-chloro-2-quinolinyl)ethenyl]phenyl]-3-[2-(1-hydroxy-1-methylethyl)phenyl]propyl]thio]methyl]- [3H]-Montelukast Brondilat (TN) Montelukast (1-{1-{3(R)-[2-(7-chloro-quinolin-2-yl)-vinyl]-phenyl}-3-[2-(1-hydroxy-1-methyl-ethyl)-phenyl]-propylsulfanylmethyl}-cyclopropyl)-acetic acid {1-[({(1R)-1-{3-[(E)-2-(7-Chloroquinolin-2-yl)vinyl]phenyl}-3-[2-(2-hydroxypropan-2-yl)phenyl]propyl}sulfanyl)methyl]cyclopropyl}acetic acid Montair 2-[1-[[(1R)-1-[3-[(E)-2-(7-chloroquinolin-2-yl)ethenyl]phenyl]-3-[2-(2-hydroxypropan-2-yl)phenyl]propyl]sulfanylmethyl]cyclopropyl]acetic acid Singular [R-(E)]-1-[[[1-[3-[2-(7-Chloro-2-quinolinyl)ethenyl]phenyl]-3-[2-(1-hydroxy-1-methylethyl)phenyl]propyl]thio]methyl]cyclopropaneacetic Acid {1-[({(1R)-1-{3-[(E)-2-(7-Chloro-2-quinolinyl)vinyl]phenyl}-3-[2-(2-hydroxy-2-propanyl)phenyl]propyl}sulfanyl)methyl]cyclopropyl}acetic acid Montelukast [INN:BAN] MFCD05662278 Montelukast (INN) {1-[({(1R)-1-{3-[(E)-2-(7-chloroquinolin-2-yl)ethenyl]phenyl}-3-[2-(2-hydroxypropan-2-yl)phenyl]propyl}sulfanyl)methyl]cyclopropyl}acetic acid [14C]-Montelukast UNII-MHM278SD3E -
常用名孟鲁司特
-
C A S号158966-92-8
物理性质
-
密度1.3±0.1 g/cm3
-
沸点750.5±60.0 °C at 760 mmHg
-
熔点N/A
-
化学式C35H36ClNO3S
-
结构式
1、 摩尔折射率:173.71
2、 摩尔体积(cm3/mol):460.7
3、 等张比容(90.2K):1281.2
4、 表面张力(dyne/cm):59.7
5、 极化率(10-24cm3):68.86
-
闪点407.7±32.9 °C
-
分子量586.183
-
精确质量585.210449
-
P S A95.72000
-
外观形状
-
储存条件
-
稳定性
-
水溶解性
-
形态
-
H L B值
-
粘度
-
PH值
作用/用途
止喘药。选择性白细胞三烯D4受体拮抗剂。
制备方法
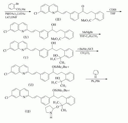
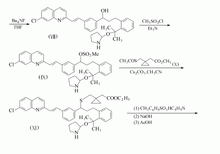
3[2-(7-氯-2-喹啉基)乙烯基]苯甲醛溶于甲苯,在0℃缓慢加入乙烯基溴化镁的甲苯/THF溶液。所得产物和
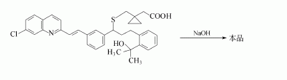
LiOAc/2H2O、LiCl、Pd(OAc)2及邻溴苯甲酸甲酯悬浮于DMF中,反应得2-[3-[2-(7-氯-2-喹啉基)乙烯基]苯基]-3-羰基丙基]苯甲酸甲酯。将该物质用硼化物还原。再进行甲基化、醚化,对二氢吡咯进行加成,在四丁基氟化铵的作用下去叔丁基二甲基硅,以甲磺酰氯进行甲磺酰化,得到甲磺酰产物。该甲磺酰化产物和1-(乙酰硫基甲基)环丙烷乙酸甲酯反应,经水解即得孟鲁司特。将孟鲁司特溶于乙醇,加入等量氢氧化钠,得孟鲁司特单钠盐。
安全提醒
MSDS
原料简介
应用范围
毒性和生态
安全信息
是否危险品
危险性
危险类别码
危险等级
触发危险方式
安全技术说明书
环境影响程度
包装与储运
相关供应商

搜索










