对苯二酚
用作显像剂及染料、药物原料
用作分析试剂,铜、金的还原剂和显影剂
【用途三】
对苯二酚是除草剂喹禾灵、吡氟禾草灵、噻唑禾草灵、噁唑禾草灵、氟吡氯禾灵、乳氟禾草灵的中间体,也是医药和染料中间体。
【用途四】
对苯二酚主要用作照相的显影剂。对苯二酚及其烷基化物广泛用于单体贮运过程添加的阻聚剂,常用的浓度约为200ppm。对苯二酚一甲醚是食用油抗氧剂BHA的中间体;对苯二酚二甲醚是染料、有机颜料和香料的中间体;对苯二酚二乙醚是感光色素、染料的中间体。对苯二酚还用于制取N,N'-二苯基对苯二胺,是用于橡胶及汽油的抗氧剂和抗臭剂。
【用途五】
比色法测定磷、镁、铌、铜、硅和砷等。铱的极谱法和容量法测定。杂多酸的还原剂,铜和金的还原剂。检验磷酸盐、钨酸盐、硝酸盐、亚硝酸盐、硒和碲等。
【用途六】
制取黑白显影剂、蒽醌染料、偶氮染料、橡胶防老剂、稳定剂和抗氧剂。用于ICP-AES、AAS、AFS、ICP-MS、离子色谱等。滴定分析用标准溶液。
-
中文名1,4-苯二酚
-
英文名Hydroquinone
-
中文别名对苯二酚 | 醌醇 | 氢醌 | 1,4-二羟基苯
-
英文别名
1,4-benzenediol MFCD00002339 1,4-dihydroxyanthron 1,4-Benzenediol,1,4-Dihydroxybenzene,HQ p-hydroxy-PhOH p-Benzenediol Hydroquinone 1,4-dihydroxyanthone 1,4-Dihydroxy-benzol 1,4-Dihydroxyxanthon 1,4-Dihydroxybenzene 1,4-Dihydroxy-xanthen-9-on 1,4-dihydroxy-benzene p-dihydroxybenzene EINECS 204-617-8 9H-Xanthen-9-one,1,4-dihydroxy 1,4-dihydroxy-xanthen-9-one -
常用名对苯二酚
-
C A S号123-31-9
-
密度1.3±0.1 g/cm3
-
沸点286.0±0.0 °C at 760 mmHg
-
熔点172-175 °C(lit.)
-
化学式C6H6O2
-
结构式
1、摩尔折射率:30.01
2、摩尔体积(cm3/mol):86.2
3、等张比容(90.2K):237.3
4、表面张力(dyne/cm):57.1
5、极化率(10-24cm3):11.89
-
闪点141.6±14.4 °C
-
分子量110.111
-
精确质量110.036781
-
P S A40.46000
-
外观形状灰白色粉末或白色针状晶体
-
储存条件
1.用聚乙烯塑料袋包装,每袋5kg,每4袋装一木箱;或用圆木箱内衬塑料袋包装,每桶50kg。贮存于阴凉、干燥处,避免日光曝晒,防潮、防热。按有毒物品规定贮运。
2.储存注意事项储存于阴凉、通风的库房。远离火种、热源。包装要求密封,不可与空气接触。应与氧化剂、酸类、碱类、食用化学品分开存放,切忌混储。配备相应品种和数量的消防器材。储区应备有合适的材料收容泄漏物。
-
稳定性
-
水溶解性
-
形态
-
H L B值
-
粘度
-
PH值
用作显像剂及染料、药物原料
用作分析试剂,铜、金的还原剂和显影剂
【用途三】
对苯二酚是除草剂喹禾灵、吡氟禾草灵、噻唑禾草灵、噁唑禾草灵、氟吡氯禾灵、乳氟禾草灵的中间体,也是医药和染料中间体。
【用途四】
对苯二酚主要用作照相的显影剂。对苯二酚及其烷基化物广泛用于单体贮运过程添加的阻聚剂,常用的浓度约为200ppm。对苯二酚一甲醚是食用油抗氧剂BHA的中间体;对苯二酚二甲醚是染料、有机颜料和香料的中间体;对苯二酚二乙醚是感光色素、染料的中间体。对苯二酚还用于制取N,N'-二苯基对苯二胺,是用于橡胶及汽油的抗氧剂和抗臭剂。
【用途五】
比色法测定磷、镁、铌、铜、硅和砷等。铱的极谱法和容量法测定。杂多酸的还原剂,铜和金的还原剂。检验磷酸盐、钨酸盐、硝酸盐、亚硝酸盐、硒和碲等。
【用途六】
制取黑白显影剂、蒽醌染料、偶氮染料、橡胶防老剂、稳定剂和抗氧剂。用于ICP-AES、AAS、AFS、ICP-MS、离子色谱等。滴定分析用标准溶液。
1.将苯胺、二氧化锰和硫酸按摩尔比为1∶3∶4加入反应釜内,加料时应在夹套中通冷冻水控制温度在10℃以下。搅拌下反应10h,反应温度逐渐升至25℃左右,生成苯醌。然后在反应物内通入水蒸气进行水蒸气蒸馏,蒸出的苯醌与水蒸气经部分冷凝后流入还原釜,再加入与苯醌的摩尔比为1∶0.7的铁粉,加热至90~100℃,搅拌下反应3~4h,还原反应的产物为对苯二酚。还原产物经过滤除去氧化铁渣后,进行减压脱水浓缩。然后加入焦亚硫酸钠、活性炭、锌粉,加热至沸腾进行脱色。趁热过滤后,滤液缓缓降温至30℃以下,对苯二酚以针状结晶析出,经离心脱水后,加入沸腾床于80℃下进行干燥,即得成品。
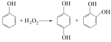
2.苯酚羟基化法 采用过氧化氢作羟基化剂,反应在催化量的无机强酸或二价铁盐或钴盐存在下进行。总反应式为:
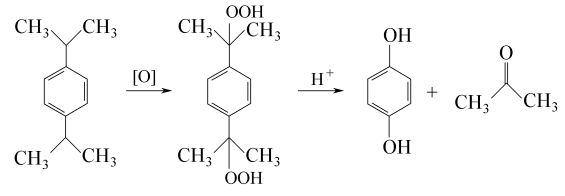
3.二异丙苯氧化法 利用过氧化物进行氧化反应,制得氢醌。其反应式如下:
4.照相级氢醌的制法 是用活性炭对溶解于无盐水中而形成的氢醌溶液进行脱色处理,然后于5~10℃下重新结晶,经离心分离后置于非氧化气氛中干燥制成。
2.对环境的影响: 一、健康危害 侵入途径:吸入、食入、经皮吸收。 健康危害:毒性比酚大,对皮肤、粘膜有强烈的腐蚀作用,可抑制中枢神经系统或损害肝、皮肤功能。 急性中毒:吸入高浓度蒸气,可致头痛、头昏、乏力、视物模糊、肺水肿等;误服可出现头痛、头晕、耳鸣、苍白、紫绀、恶心、呕吐、腹育、呼吸困难、心动过速、尺厥、谵妄和虚脱 ,严重者呕血、血尿、溶血性黄疸,甚至可致死。 慢性影响:长期低浓度吸入,可致头痛、头晕、咳嗽、食欲减退、恶心、呕吐等。皮肤可引起皮炎。 二、毒理学资料及环境行为 急性毒性:LD50320mg/kg(大鼠经口);人经口5000mg/kg,死亡。 刺激性:人经皮:250mg (24小时),轻度刺激。 亚急性和慢性毒性:动物亚急性中毒表现为溶血性黄疸、贫血、白细胞增多、红细胞脆性增加、低血糖、皮毛无光泽和明显的恶病质。 致突变性:微生物致突变性:鼠伤寒沙门氏菌2umol/皿。微核试验:人淋巴细胞75umol/L。性染色体缺失和不分离:人淋巴细胞6mg/kg。DNA损伤:人骨髓500mol/L。 生殖毒性:大鼠经口最低中毒剂量(TDL0):2500mg/kg(孕1~22天),致植入后的死亡率(51天,雄性),影响睾丸、附睾、输精管、前列腺、精囊等,对雄性生育指数有影响。 致癌性:IARC致癌性评论:动物不明确,人类无可靠数据。 危险特性:遇明火、高热可燃。与强氧化剂可发生反应。受高热分解放出有毒的气体。 燃烧(分解)产物:一氧化碳、二氧化碳。 3.现场应急监测方法: 4.实验室监测方法: 气相色谱法,参照《分析化学手册》(第四分册,色谱分析),化学工业空气中:样品经滤器收集后,用酸洗脱,再用高压液相色谱法测定(NIOSH法)高效液相色谱法测定焦化废水中的酚类化合物[刊]/张万让等//新疆环境保护1989,(1).-49~52 5.环境标准:
6.应急处理处置方法: 一、泄漏应急处理 隔离泄漏污染区,周围设警标志,建议应急处理人员戴好防毒面具,穿化学防护服。不要直接接触泄漏物,避免扬尘,用清洁的铲子收集于干燥净洁有盖的容器中,运至废物场所。也可以用大量水冲洗,经稀释的洗水放入废水系统。如大量泄漏,收集回收或无害处理后废弃。 废弃物处置方法:用焚烧法。焚烧炉排出的气体通过洗涤器除去有害成份。 二、防护措施 呼吸系统防护:空气中浓度超标时,必须佩带防毒面具。紧急事态抢救或逃生时,佩带自给式呼吸器。 眼睛防护:戴化学安全防护眼镜。 防护服:穿相应的防护服。 手防护:戴防化学品手套。 其它:工作现场禁止吸烟、进食和饮水。工作后,彻底清洗。单独存入被毒物污染的衣服,洗后再用。注意个人清洁卫生。 三、急救措施 皮肤接触:立即脱去污染的衣着,用甘油、聚乙烯乙二醇或聚乙烯乙二醇和酒精混合液(7:3)抹擦。然后用水彻底冲洗。或立即用水冲洗至少15分钟。就医。 眼睛接触:立即提起眼睑,用流动清水或生理盐水冲洗至少15分钟。就医。 吸入:迅速脱离现场至空气新鲜处。保持呼吸道通畅。呼吸困难时给输氧。呼吸停止时,立即进行人工呼吸。就医。 食入:患者清醒时立即给饮植物油15~30ml。催吐,尽快彻底洗胃。就医。 灭火方法:雾状水、泡沫、二氧化碳、干粉、砂土。 废弃物处置方法:用焚烧法。焚烧炉排出的气体通过洗涤器除去有害成份。 |
| 符号 |
GHS05, GHS07, GHS08, GHS09 |
|---|---|
| 信号词 | Danger |
| 危害声明 | H302-H317-H318-H341-H351-H410 |
| 警示性声明 | P273-P280-P305 + P351 + P338-P501 |
| 个人防护装备 | Eyeshields;Faceshields;full-face particle respirator type N100 (US);Gloves;respirator cartridge type N100 (US);type P1 (EN143) respirator filter;type P3 (EN 143) respirator cartridges |
| 危害码 (欧洲) | Xn:Harmful |
| 风险声明 (欧洲) | R22;R40;R41;R43;R50;R68 |
| 安全声明 (欧洲) | S26-S36/37/39-S61 |
| 危险品运输编码 | 2662 |
| WGK德国 | 3 |
| RTECS号 | MX3500000 |
| 包装等级 | III |
| 危险类别 | 9 |
| 海关编码 | 2907221000 |

搜索









