磺胺
Sulfanilamide是细菌二氢蝶酸合成酶抑制剂,IC50为320 μM。
产品名称
-
中文名磺胺
-
英文名Sulfanilamide
-
中文别名对氨基苯磺酰胺 | 利鲁唑 | 4-氨基苯磺酰胺 | 结晶磺胺
-
英文别名
EINECS 200-563-4 Sulphonamide Sulfamine MFCD00007939 Sulfanilamide Sulfonylamide 4-aminobenzene sulfonic acid amide 4-aminobenzene sulfonamide 4-aminobenzenesulfonamide Bacteramid Streptasol p-Aminobenzenesulfonamide para-aminobenzenesulfonamide 4-aminophenylsulfonamide Sulphanilamide p-aminophenylsulfonamide -
常用名磺胺
-
C A S号63-74-1
物理性质
-
密度1.4±0.1 g/cm3
-
沸点400.5±47.0 °C at 760 mmHg
-
熔点164-166 °C(lit.)
-
化学式C6H8N2O2S
-
结构式
1、 摩尔折射率:42.80
2、 摩尔体积(cm3/mol):120.6
3、 等张比容(90.2K):340.9
4、 表面张力(dyne/cm):63.7
5、 极化率(10-24cm3):16.97
-
闪点196.0±29.3 °C
-
分子量172.205
-
精确质量172.030655
-
P S A94.56000
-
外观形状白色至淡黄色结晶粉末
-
储存条件
1.存在阴凉、通风、干燥处,防热、防晒、防潮。按一般化学品规定贮运。
2.采用内衬塑料袋外套麻袋,或内衬塑料袋、中层用牛皮纸袋、外套纤维布袋包装。一般每袋40kg。贮存在阴凉、通风、干燥处,防热、防晒、防潮。按一般化学品规定贮运。
-
稳定性
-
水溶解性
-
形态白色颗粒或粉末状结晶,无臭,味微苦。
-
H L B值
-
粘度
-
PH值
作用/用途
Sulfanilamide是细菌二氢蝶酸合成酶抑制剂,IC50为320 μM。
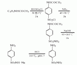
制备方法
1.由乙酰苯胺经氯磺化、胺化、水解、中和制得。
原料消耗定额:乙酰苯胺(99%)1032kg/t、氯磺酸(96%)4521kg/t、液氨(99.8%)535kg/t、
液碱(30%)863kg/t。
安全提醒
MSDS
|
||||||||||||||||||||||||||||||||||||||||||||||||||||||||||||||||||||||||||||||||||||||||||||||||||||||||||||||||||||||||||||||||||||||||||||||||||||||||||||||||||||||||||||||||||||||||||||||||||||||||||||||||||||||||||||||||||||||||||||||||||||||||||
原料简介
应用范围
毒性和生态
安全信息
| 个人防护装备 | Eyeshields;Gloves;type N95 (US);type P1 (EN143) respirator filter |
|---|---|
| 危害码 (欧洲) | Xn |
| 风险声明 (欧洲) | R40 |
| 安全声明 (欧洲) | S24/25 |
| 危险品运输编码 | NONH for all modes of transport |
| WGK德国 | 3 |
| RTECS号 | WO8400000 |
| 海关编码 | 2935009090 |
是否危险品
危险性
危险类别码
危险等级
触发危险方式
安全技术说明书
环境影响程度
包装与储运
相关供应商

搜索







