依那普利
-
中文名依那普利
-
英文名Enalapril
-
中文别名(S)-1-(N-(1-(乙氧羰基)-3-苯丙基)-L-丙氨酰基)-L-脯氨酸
-
英文别名
Enacard [3H]-Eletriptan N-[(S)-1-(ethoxycarbonyl)-3-phenylpropyl]-L-alanyl-L-proline Eletriptan [INN:BAN] Acesistem Eletriptan Lotrial EINECS 278-375-7 Naprilene (R)-5-(2-phenylsulphonylethyl)-3-(N-methylpyrrolidin-2-ylmethyl)-1H-indole L-Proline, N-((1S)-1-(ethoxycarbonyl)-3-phenylpropyl)-L-alanyl- Enalapril 1-[N-[(S)-1-Carboxy-3-phenylpropyl]-1-alanyl]-L-proline 1'-Ethyl Ester enalaprila MFCD00865774 N-{(1S)-1-[(ethyloxy)carbonyl]-3-phenylpropyl}-L-alanyl-L-proline Reniten N-[(2S)-1-Ethoxy-1-oxo-4-phenyl-2-butanyl]alanyl-L-proline Eletriptan (INN) Enap Renitec N-[1-(S)-(ethoxycarbonyl)-3-phenylpropyl]alanylproline 3-(N-methyl-2(R)-pyrrolidinylmethyl)-5-(2-phenylsulphonylethyl)-1H-indole Hipoartel Amprace Relpax olivin Xanef N-[(2S)-1-Ethoxy-1-oxo-4-phenylbutan-2-yl]-L-alanyl-L-proline eletriptanum L-Proline, N-[(1S)-1-(ethoxycarbonyl)-3-phenylpropyl]alanyl- Enapren N-[(1S)-1-(ethoxycarbonyl)-3-phenylpropyl]-L-alanyl-L-proline Enaloc Renivace Glioten L-Proline, N-[(1S)-1-(ethoxycarbonyl)-3-phenylpropyl]-L-alanyl- N-[(2S)-1-Ethoxy-1-oxo-4-phenyl-2-butanyl]-L-alanyl-L-proline Pres Innovace (R)-3-((1-methylpyrrolidin-2-yl)methyl)-5-(2-(phenylsulfonyl)ethyl)-1H-indole -
常用名依那普利
-
C A S号75847-73-3
-
密度1.2±0.1 g/cm3
-
沸点582.3±50.0 °C at 760 mmHg
-
熔点143-144.5ºC
-
化学式C20H28N2O5
-
结构式
1、 摩尔折射率:99.53
2、 摩尔体积(cm3/mol):312.5
3、 等张比容(90.2K):836.4
4、 表面张力(dyne/cm):51.2
5、 极化率(10-24cm3):39.45
-
闪点306.0±30.1 °C
-
分子量376.447
-
精确质量376.199829
-
P S A170.54000
-
外观形状
-
储存条件
-
稳定性
-
水溶解性
-
形态
-
H L B值
-
粘度
-
PH值
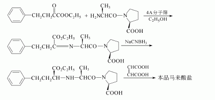
方法1:α-氧代苯丁酸乙酯和L-丙氨酰-L-脯氨酸二肽在4A分子筛作用下缩合,生成Schiff’s碱,再用氰硼氢化钠还原即得依那普利,如进一步和马来酸成盐可得马来酸依那普利。
方法2:也可用α-溴代苯丁酸乙酯和L-丙氨酰-L-脯氨酸二肽在二甲基甲酰胺溶液中,三乙胺作用下缩合,一步即可得到依那普利。
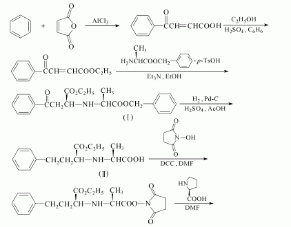
方法3:上述方法均需苯丁酸的衍生物,在原料受限制时可采用下面的方法。
用丁烯二酸酐对苯进行酰化,生成伊苯甲酰丙烯酸,收率90.1%。
β-苯甲酰丙烯酸、无水乙醇、苯和浓硫酸,回流分水。氢氧化钠溶液中和,饱和氯化钠和水洗,干燥,过滤。滤液减压浓缩,蒸馏收集148~150℃/133Pa的馏分,得β-苯甲酰丙烯酸乙酯,收率97.3%。
β-苯甲酰丙烯酸乙酯、丙氨酸苄酯对甲苯磺酸盐、无水乙醇和三乙胺混合,在室温下搅拌。过滤出固体,烘干得化合物(I),收率75%。
化合物(I)、硫酸、冰乙酸和10%钯-炭催化剂,通氢。过滤,滤液减压浓缩至干,碱处理后洗涤。用乙酸乙酯重结晶,得化合物(Ⅱ),收率52.6%。
化合物(Ⅱ)和N-羟基琥珀酰亚胺溶于二甲基甲酰胺,冰浴冷却下分批加入二环己基碳化二亚胺(DCC),在室温下搅拌。冰浴冷却下加入L-脯氨酸四甲基铵盐的二甲基甲酰胺溶液,反应。滤去固体,用酸碱处理后,用乙酸乙酯提取。提取液干燥,减压浓缩。残液溶于乙腈,加入马来酸的乙腈溶液,充分搅拌后放置过夜。滤得固体,用乙腈重结晶,得白色针状结晶的马来酸依那普利,收率46.7%。
上面的化合物(11)直接和脯氨酸叔丁酯,在DCC存在下缩合,然后水解脱去叔丁醇得到依那普利。
|
依那普利MSDS英文版
|
| 符号 |
GHS07, GHS08 |
|---|---|
| 信号词 | Warning |
| 危害声明 | H317-H361 |
| 警示性声明 | P280 |
| 安全声明 (欧洲) | S22-S24/25 |
| 危险品运输编码 | NONH for all modes of transport |
| RTECS号 | TW3665500 |

搜索











