依普黄酮
-
中文名7-异丙氧基异黄酮
-
英文名Ipriflavone
-
中文别名(依普黄酮) | 7-羟异黄酮异丙氧醚 | 7-异丙氧基-3-苯基-4H-1-苯并吡喃-4-酮 | 伊普黄酮 | 依普瑞丰 | 依普黄酮 | 依普拉封
-
英文别名
MFCD00221719 Iprosten 3-phenyl-7-(propan-2-yloxy)-4H-chromen-4-one Osteofix 7-Isopropoxyisoflavone 3-phenyl-7-propan-2-yloxychromen-4-one 4-isopropoxyisoflavone 7-Isopropoxy-3-phenyl-4H-1-benzopyran-4-one Ipriflavone (JAN) 7-Isopropoxy-3-phenyl-4H-chromen-4-one Ipriflavone 7-isopropoxy-isoflavone 7-isopropyloxy-isoflavone Osten Yambolap Ipriflavone (Osteofix) FL-113 Osteoquine EINECS 201-641-0 7-Isopropoxy-3-phenylchromone 4H-1-Benzopyran-4-one, 7-(1-methylethoxy)-3-phenyl- -
常用名依普黄酮
-
C A S号35212-22-7
-
密度1.2±0.1 g/cm3
-
沸点435.9±45.0 °C at 760 mmHg
-
熔点116-120 °C(lit.)
-
化学式C18H16O3
-
结构式
-
闪点209.3±15.1 °C
-
分子量280.318
-
精确质量280.109955
-
P S A39.44000
-
外观形状白色结晶粉末
-
储存条件
密封、-18 ºC干燥保存
-
稳定性
-
水溶解性
-
形态白色至带黄白色结晶或结晶性粉末,无臭无味。
-
H L B值
-
粘度
-
PH值
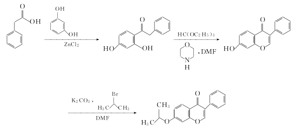
无水氯化锌溶于无水乙醚,再加入间苯二酚。搅拌和冰浴冷却下,通入干燥氯化氢气体至饱和,搅拌下缓慢加入苯乙腈,再通氯化氢,静置.倾去上层乙醚,加入盐酸,搅拌片刻.静置后倾去上层酸液,加入水,搅拌回流.剧烈搅拌下冷却至油状物全部转化为固体颗粒.干燥得化合物.将得到的化合物、无水碳酸钾、2-溴丙烷和二甲基甲酰胺,在110℃搅拌,得到的化合物、原甲酸三乙酯、吗啉、冰乙酸和二甲基甲酰胺,搅拌下加热,反应.得到的粗品用乙醇重结晶,即得依普黄酮.
1. 2,4-二羟基苯基苄基酮的制备
在反应瓶中依次加入苯乙酸49g(0.4mol)、无水氯化锌43.6g(0.36mol),搅拌升温至130~140ºC,于该温度下反应30min.再加入间苯二酚61.6g(0.56mol),再在同温度下搅拌反应2.5h.倾入冰水1000ml中,得褚红色稠厚半固体.放置固化后,用水(50ml×3)洗涤,得红棕色固体2,4-二羟基苯基苄基酮30g,mp106~110ºC.用50%甲醇重结晶,得2,4-二羟基苯基苄基酮26g,收率28.4%,mp112~114ºC.
2. 7-羟基-3-苯基-4H-1-苯并吡喃-4-酮的制备
在反应瓶中加入上步制备的化合物2,4-二羟基苯基苄基酮50g(0.219mol)、DMF20ml、吗啉2.6ml及原甲酸三乙酯39.1g(0.26mol),搅拌加热至80~90ºC,在该温度下保持反应7h.冷至室温,加入氯仿120ml,冷至0ºC冷却2h.析出淡黄色晶体.过滤,滤饼用氯仿(45ml×2)洗涤,抽干,干燥#得粗品7-羟基-3-苯基-4H-1-苯并吡喃-4-酮47.3g,mp207~215ºC.粗品用50%乙醇重结晶,得7-羟基-3-苯基-4H-1-苯并吡喃-4-酮42.5g,mp212~214ºC.
3. 4-(1-甲基乙氧基)-3-苯基-4H-1-苯并吡喃-4-酮(依普黄酮)的合成
在反应瓶中加入上步制备的化合物7-羟基-3-苯基-4H-1-苯并吡喃-4-酮100g(0.42mol)、DMF79ml,无水K2CO3 76g(0.551mol)和溴代异丙烷73g(0.598mol),搅拌加热至75~95ºC,在该温度下保持反应2h.升至100ºC反应100min.反应毕,冷至0ºC,加入异丙醇57ml和水350ml,析出白色结晶.过滤,用水(50ml×4)将滤饼洗至中性(对滤液检测),抽干,干燥,得粗品4-(1-甲基乙氧基)-3-苯基-4H-1-苯并吡喃-4-酮(依普黄酮)106.3g,收率90.4%.将粗品用无水乙醇600ml重结晶,得白色片状晶体97.2g,重结晶回收率90.3%,mp115~116ºC.
|
依普黄酮
修改号码:5
模块1. 化学品 产品名称: Ipriflavone 修改号码: 5 模块2. 危险性概述 GHS分类 物理性危害未分类
健康危害未分类 环境危害未分类 GHS标签元素 图标或危害标志无 信号词无信号词 危险描述无 防范说明无 模块3. 成分/组成信息 单一物质/混和物单一物质 化学名(中文名):依普黄酮 百分比: >98.0%(GC) CAS编码: 35212-22-7 俗名: 7-Isopropoxyisoflavone 分子式: C18H16O3 模块4. 急救措施 吸入: 将受害者移到新鲜空气处,保持呼吸通畅,休息。若感不适请求医/就诊。 皮肤接触: 立即去除/脱掉所有被污染的衣物。用水清洗皮肤/淋浴。 若皮肤刺激或发生皮疹:求医/就诊。 眼睛接触:用水小心清洗几分钟。如果方便,易操作,摘除隐形眼镜。继续清洗。 如果眼睛刺激:求医/就诊。 食入: 若感不适,求医/就诊。漱口。 紧急救助者的防护:救援者需要穿戴个人防护用品,比如橡胶手套和气密性护目镜。 模块5. 消防措施 合适的灭火剂:干粉,泡沫,雾状水,二氧化碳 依普黄酮 修改号码:5 模块5. 消防措施 特定方法:从上风处灭火,根据周围环境选择合适的灭火方法。 非相关人员应该撤离至安全地方。 周围一旦着火:如果安全,移去可移动容器。 消防员的特殊防护用具:灭火时,一定要穿戴个人防护用品。 模块6. 泄漏应急处理 个人防护措施,防护用具, 使用个人防护用品。远离溢出物/泄露处并处在上风处。 紧急措施:泄露区应该用安全带等圈起来,控制非相关人员进入。 环保措施:防止进入下水道。 控制和清洗的方法和材料:清扫收集粉尘,封入密闭容器。注意切勿分散。附着物或收集物应该立即根据合适的 法律法规处置。 模块7. 操作处置与储存 处理 技术措施:在通风良好处进行处理。穿戴合适的防护用具。防止粉尘扩散。处理后彻底清洗双手 和脸。 注意事项:如果粉尘或浮质产生,使用局部排气。 操作处置注意事项:避免接触皮肤、眼睛和衣物。 贮存 储存条件:保持容器密闭。存放于凉爽、阴暗处。 远离不相容的材料比如氧化剂存放。 包装材料:依据法律。 模块8. 接触控制和个体防护 工程控制:尽可能安装封闭体系或局部排风系统,操作人员切勿直接接触。同时安装淋浴器和洗 眼器。 个人防护用品 呼吸系统防护:防尘面具。依据当地和政府法规。 手部防护:防护手套。 眼睛防护:安全防护镜。如果情况需要,佩戴面具。 皮肤和身体防护:防护服。如果情况需要,穿戴防护靴。 模块9. 理化特性 固体 外形(20°C): 外观: 晶体-粉末 颜色:白色类白色 气味:无资料 pH:无数据资料 熔点: 117°C 沸点/沸程无资料 闪点:无资料 爆炸特性 爆炸下限:无资料 爆炸上限:无资料 密度:无资料 溶解度: [水]无资料 [其他溶剂]无资料 依普黄酮 修改号码:5 模块10. 稳定性和反应性 化学稳定性:一般情况下稳定。 危险反应的可能性:未报道特殊反应性。 须避免接触的物质氧化剂 危险的分解产物: 一氧化碳, 二氧化碳 模块11. 毒理学信息 急性毒性: orl-rat LD50:>2500 mg/kg scu-rat LD50:>2500 mg/kg orl-mus LD50:3185 mg/kg ipr-rat LD50:>10 g/kg 对皮肤腐蚀或刺激:无资料 对眼睛严重损害或刺激:无资料 生殖细胞变异原性:无资料 致癌性: IARC =无资料 NTP =无资料 生殖毒性:无资料 RTECS 号码: DJ3100500 模块12. 生态学信息 生态毒性: 鱼类:无资料 甲壳类:无资料 藻类:无资料 残留性 / 降解性:无资料 潜在生物累积 (BCF):无资料 土壤中移动性 log水分配系数:无资料 土壤吸收系数 (Koc):无资料 亨利定律无资料 constant(PaM3/mol): 模块13. 废弃处置 如果可能,回收处理。请咨询当地管理部门。建议在可燃溶剂中溶解混合,在装有后燃和洗涤装置的化学焚烧炉中 焚烧。废弃处置时请遵守国家、地区和当地的所有法规。 模块14. 运输信息 联合国分类:与联合国分类标准不一致 UN编号:未列明 模块15. 法规信息 《危险化学品安全管理条例》(2002年1月26日国务院发布,2011年2月16日修订): 针对危险化学品的安全使用、 生产、储存、运输、装卸等方面均作了相应的规定。 依普黄酮 修改号码:5 模块16 - 其他信息 N/A |
| 危害码 (欧洲) | Xi |
|---|---|
| 风险声明 (欧洲) | R36/37/38 |
| 安全声明 (欧洲) | S24/25 |
| 危险品运输编码 | NONH for all modes of transport |
| WGK德国 | 2 |
| RTECS号 | DJ3100500 |
| 海关编码 | 2932999099 |

搜索







