拉氧头孢
【用途1】
能增加胃粘膜血流,使胃粘液构成成分正常化,增加前列腺素,增强防御因子,促进胃溃疡部位的修复作用。用于胃溃疡。
能增加胃粘膜血流,使胃粘液构成成分正常化,增加前列腺素,增强防御因子,促进胃溃疡部位的修复作用。用于胃溃疡。
产品名称
-
中文名曲昔匹特
-
英文名troxipide
-
中文别名拉氧头孢
-
英文别名
Boc-wld-NH2 n-(tert-butoxycarbonyl)-l-tryptophyl-3-methyl-l-valyl-d-asparagine Boc-trp-leu-asp Boc-trp-leu-asp-NH2 -
常用名拉氧头孢
-
C A S号99777-81-8
物理性质
-
密度N/A
-
沸点N/A
-
熔点179-181.5°
-
化学式C26H37N5O7
-
结构式
1、 摩尔折射率:78.98
2、 摩尔体积(cm3/mol):249.1
3、 等张比容(90.2K):650.0
4、 表面张力(dyne/cm):46.3
5、 极化率(10-24cm3):31.31
-
闪点N/A
-
分子量531.60100
-
精确质量531.26900
-
P S A192.71000
-
外观形状
-
储存条件
-
稳定性
-
水溶解性
-
形态
-
H L B值
-
粘度
-
PH值
作用/用途
【用途1】
能增加胃粘膜血流,使胃粘液构成成分正常化,增加前列腺素,增强防御因子,促进胃溃疡部位的修复作用。用于胃溃疡。
能增加胃粘膜血流,使胃粘液构成成分正常化,增加前列腺素,增强防御因子,促进胃溃疡部位的修复作用。用于胃溃疡。
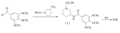
制备方法
3,4,5-三甲氧基苯甲酰氯和3-氨基-N-苄基哌啶反应,得化合物(I),收率67.2%。(I)再氢解脱去苄基,得曲昔派特,收率72.3%。
安全提醒
MSDS
原料简介
应用范围
毒性和生态
安全信息
| 海关编码 | 2924299090 |
|---|
是否危险品
危险性
危险类别码
危险等级
触发危险方式
安全技术说明书
环境影响程度
包装与储运
相关供应商

搜索






