 
                        水杨酸
                                
					Salicylic acid 抑制 COX-2 活性,抑制作用与转录因子 (NF-κB) 激活无关。
					 
					
				                            
                        产品名称
                           - 
                                   中文名水杨酸
- 
                                   英文名Salicylic acid
- 
                                   中文别名2-羟基苯甲酸 | 2-羟基苯甲酸 | 柳酸,沙利西酸 | 美沙拉嗪杂质F | 柳酸
- 
                                   英文别名Verrugon Acid, Salicylic Duoplant Freezone MFCD00002439 Acid, o-Hydroxybenzoic SAX EINECS 200-712-3 Saligel Hydroxybenzenecarboxylic acid Salonil phenol-carboxylic acid Stri-Dex Benzoic acid, 2-hydroxy- ORTHO-HYDROXYBENZOIC ACID 2-Hydroxybenzenecarboxylic acid 2 Hydroxybenzoic Acid Salicylic acid Acid, 2-Hydroxybenzoic Benzoic acid, o-hydroxy- 2-hydroxy-benzoic acid ortho Hydroxybenzoic Acid Ionil 2-hydroxybenzoic acid Acid, ortho-Hydroxybenzoic o-hydroxybenzoic acid Duofilm Rutranex Keralyt Lamivudine Impurity 3 
- 
                                   常用名水杨酸
- 
                                   C A S号69-72-7
物理性质
                            - 
                                    密度1.4±0.1 g/cm3
- 
                                    沸点336.3±0.0 °C at 760 mmHg
- 
                                    熔点158-161 °C(lit.)
- 
                                    化学式C7H6O3
- 
                                    结构式1、 摩尔折射率:35.06 2、 摩尔体积(cm3/mol):100.3 3、 等张比容(90.2K):284.4 4、 表面张力(dyne/cm):64.4 5、 介电常数:未确定 6、 偶极距(10-24cm3): 7、 极化率:13.90 
- 
                                    闪点144.5±19.1 °C
- 
                                    分子量138.121
- 
                                    精确质量138.031693
- 
                                    P S A57.53000
- 
                                    外观形状白色至灰白色结晶粉末
- 
                                    储存条件1. 应贮存于阴凉、通风、干燥的库房中,远离火源、热源,与易爆品、氧化剂分开存放。 2. 包装采用内衬塑料袋,外套麻袋或聚丙烯编织袋或纤维板桶包装。 3. 与爆炸物、氧化剂隔离。避光保存。 
- 
                                    稳定性
- 
                                    水溶解性
- 
                                    形态白色针状结晶或单斜棱晶,有特殊的酚酸味。在空气中稳定,但遇光渐渐改变颜色。
- 
                                    H L B值
- 
                                    粘度
- 
                                    PH值
作用/用途
                            
                                
					Salicylic acid 抑制 COX-2 活性,抑制作用与转录因子 (NF-κB) 激活无关。
					 
					
				                            
                        制备方法
                            
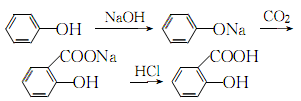
                                1. 苯酚与氢氧化钠反应生成苯酚钠,蒸馏脱水后,通二氧化碳进行羧基化反应,制得水杨酸钠盐,再用硫酸酸化,而得粗品。粗品经升华精制得成品。原料消耗定额:苯酚(98%)704kg/t、烧碱(95%)417kg/t、硫酸(95%)500kg/t、二氧化碳(99%)467kg/t。该法分为常压法和中压法。   (1)常压法 将苯酚与50%的氢氧化钠溶液配制成苯酚钠,使游离碱在1%以内,减压脱水后,加苯酚作溶剂共沸脱水。然后苯酚钠在溶剂苯酚中通入干燥的二氧化碳羧化,再用硫酸酸化即得成品。  
![69-72-7 preparation]() 将苯酚用50%液碱中和,真空干燥,然后将釜温冷却至100℃,慢慢通入干燥的二氧化碳,当釜内压力达0.7-0.8Mpa时,停止通二氧化碳,此时生成碳酸苯酚酯钠,然后在130-140℃下发生分子内重排异构化,变为水杨羧钠,再用硫酸酸化,得水杨酸粗品。将粗品在减压下升华,即得水杨酸精品,含量99%,收率达98%以上。   消耗定额(kg/t):苯酚(98%)704,烧碱(95%)417,硫酸(95%)500,二氧化碳(99%)467。   (3) 制法 苯酚与氢氧化钠反应生成酚钠盐,然后再与二氧化碳合成邻羟基苯甲酸钠,经酸化制得水杨酸:
   将苯酚用50%液碱中和,真空干燥,然后将釜温冷却至100℃,慢慢通入干燥的二氧化碳,当釜内压力达0.7-0.8Mpa时,停止通二氧化碳,此时生成碳酸苯酚酯钠,然后在130-140℃下发生分子内重排异构化,变为水杨羧钠,再用硫酸酸化,得水杨酸粗品。将粗品在减压下升华,即得水杨酸精品,含量99%,收率达98%以上。   消耗定额(kg/t):苯酚(98%)704,烧碱(95%)417,硫酸(95%)500,二氧化碳(99%)467。   (3) 制法 苯酚与氢氧化钠反应生成酚钠盐,然后再与二氧化碳合成邻羟基苯甲酸钠,经酸化制得水杨酸:   
![69-72-7 preparation]() 粗品用水溶解后经活性炭脱色,再重结晶提纯。   (4) 将相同物质量的苯酚和50%的氢氧化钠在105~130℃下反应生成酚钠,控制游离碱1%以内。反应结束后,减压脱水,再用苯酚为溶剂共沸脱水。冷却至100℃后,通入干燥的二氧化碳进行3h羧化反应,温度由128℃升至200℃。待温度下降后,回收溶剂苯酚,2~3h后,再通入二氧化碳羧化2h,减压回收苯酚。( 羧化的另一种方法是在140~180℃通二氧化碳,控制反应压力为0.7~0.8MPa进行羧化反12h。 )羧化反应结束后,加水溶解水杨酸钠,调成50%的溶液,边搅拌边加入7%~8%的硫酸溶液,使ph值达1~2,冷却、过滤、甩干,用水洗涤数次,甩干后,再用蒸馏水加热溶解,加入少
   粗品用水溶解后经活性炭脱色,再重结晶提纯。   (4) 将相同物质量的苯酚和50%的氢氧化钠在105~130℃下反应生成酚钠,控制游离碱1%以内。反应结束后,减压脱水,再用苯酚为溶剂共沸脱水。冷却至100℃后,通入干燥的二氧化碳进行3h羧化反应,温度由128℃升至200℃。待温度下降后,回收溶剂苯酚,2~3h后,再通入二氧化碳羧化2h,减压回收苯酚。( 羧化的另一种方法是在140~180℃通二氧化碳,控制反应压力为0.7~0.8MPa进行羧化反12h。 )羧化反应结束后,加水溶解水杨酸钠,调成50%的溶液,边搅拌边加入7%~8%的硫酸溶液,使ph值达1~2,冷却、过滤、甩干,用水洗涤数次,甩干后,再用蒸馏水加热溶解,加入少
量活性炭,煮沸,趁热过滤,滤液冷却重复用蒸馏水溶解,过滤、甩干数次,即可得纯品水杨酸。所得水杨酸粗品也可用减压升华精制。过程反应式为:![69-72-7 preparation]() 2. 烟草:OR,44;OR,26;FC,9;FC,54;BU,26;FC,40。
   2. 烟草:OR,44;OR,26;FC,9;FC,54;BU,26;FC,40。                            
                         将苯酚用50%液碱中和,真空干燥,然后将釜温冷却至100℃,慢慢通入干燥的二氧化碳,当釜内压力达0.7-0.8Mpa时,停止通二氧化碳,此时生成碳酸苯酚酯钠,然后在130-140℃下发生分子内重排异构化,变为水杨羧钠,再用硫酸酸化,得水杨酸粗品。将粗品在减压下升华,即得水杨酸精品,含量99%,收率达98%以上。   消耗定额(kg/t):苯酚(98%)704,烧碱(95%)417,硫酸(95%)500,二氧化碳(99%)467。   (3) 制法 苯酚与氢氧化钠反应生成酚钠盐,然后再与二氧化碳合成邻羟基苯甲酸钠,经酸化制得水杨酸:
   将苯酚用50%液碱中和,真空干燥,然后将釜温冷却至100℃,慢慢通入干燥的二氧化碳,当釜内压力达0.7-0.8Mpa时,停止通二氧化碳,此时生成碳酸苯酚酯钠,然后在130-140℃下发生分子内重排异构化,变为水杨羧钠,再用硫酸酸化,得水杨酸粗品。将粗品在减压下升华,即得水杨酸精品,含量99%,收率达98%以上。   消耗定额(kg/t):苯酚(98%)704,烧碱(95%)417,硫酸(95%)500,二氧化碳(99%)467。   (3) 制法 苯酚与氢氧化钠反应生成酚钠盐,然后再与二氧化碳合成邻羟基苯甲酸钠,经酸化制得水杨酸:   
 粗品用水溶解后经活性炭脱色,再重结晶提纯。   (4) 将相同物质量的苯酚和50%的氢氧化钠在105~130℃下反应生成酚钠,控制游离碱1%以内。反应结束后,减压脱水,再用苯酚为溶剂共沸脱水。冷却至100℃后,通入干燥的二氧化碳进行3h羧化反应,温度由128℃升至200℃。待温度下降后,回收溶剂苯酚,2~3h后,再通入二氧化碳羧化2h,减压回收苯酚。( 羧化的另一种方法是在140~180℃通二氧化碳,控制反应压力为0.7~0.8MPa进行羧化反12h。 )羧化反应结束后,加水溶解水杨酸钠,调成50%的溶液,边搅拌边加入7%~8%的硫酸溶液,使ph值达1~2,冷却、过滤、甩干,用水洗涤数次,甩干后,再用蒸馏水加热溶解,加入少
   粗品用水溶解后经活性炭脱色,再重结晶提纯。   (4) 将相同物质量的苯酚和50%的氢氧化钠在105~130℃下反应生成酚钠,控制游离碱1%以内。反应结束后,减压脱水,再用苯酚为溶剂共沸脱水。冷却至100℃后,通入干燥的二氧化碳进行3h羧化反应,温度由128℃升至200℃。待温度下降后,回收溶剂苯酚,2~3h后,再通入二氧化碳羧化2h,减压回收苯酚。( 羧化的另一种方法是在140~180℃通二氧化碳,控制反应压力为0.7~0.8MPa进行羧化反12h。 )羧化反应结束后,加水溶解水杨酸钠,调成50%的溶液,边搅拌边加入7%~8%的硫酸溶液,使ph值达1~2,冷却、过滤、甩干,用水洗涤数次,甩干后,再用蒸馏水加热溶解,加入少
量活性炭,煮沸,趁热过滤,滤液冷却重复用蒸馏水溶解,过滤、甩干数次,即可得纯品水杨酸。所得水杨酸粗品也可用减压升华精制。过程反应式为:
 2. 烟草:OR,44;OR,26;FC,9;FC,54;BU,26;FC,40。
   2. 烟草:OR,44;OR,26;FC,9;FC,54;BU,26;FC,40。                            安全提醒
                            MSDS
                            | 
 
 
 
 
 
 
 
 
 
 
 
 
 
 
 
 
 
 
 
 
 
 
 
 
 
 
 
 
 
 
 
 
 | |||||||||||||||||||||||||||||||||||||||||||||||||||||||||||||||||||||||||||||||||||||||||||||||||||||||||||||||||||||||||||||||||||||||||||||||||||||||||||||||||||||||||||||||||||||||||||||||||||||||||||||||||||||||||||||||||||||||||||||||||||||||
原料简介
                            应用范围
                            毒性和生态
                            安全信息
                            | 符号 |     GHS05, GHS07 | 
|---|---|
| 信号词 | Danger | 
| 危害声明 | H302-H318 | 
| 警示性声明 | P280-P301 + P312 + P330-P305 + P351 + P338 + P310 | 
| 个人防护装备 | dust mask type N95 (US);Eyeshields;Gloves | 
| 危害码 (欧洲) | Xn:Harmful | 
| 风险声明 (欧洲) | R22;R36/37/38;R41 | 
| 安全声明 (欧洲) | S26-S39-S37/39 | 
| 危险品运输编码 | NONH for all modes of transport | 
| WGK德国 | 1 | 
| RTECS号 | VO0525000 | 
| 海关编码 | 2918211000 | 
是否危险品
                            危险性
                            危险类别码
                            危险等级
                            触发危险方式
                            安全技术说明书
                            环境影响程度
                            包装与储运
                            相关供应商
     
        
 
                                     
                    
 
                 
            








 
                             
                 
                        