舒林酸
Sulindac 是一种非甾体类抗炎剂,能够抑制 COX-2 的活性,同时可抑制 COX-2 的过表达。
产品名称
-
中文名舒林酸
-
英文名Sulindac
-
中文别名硫茚酸 | (2)-5-氟-2-甲基-1-[(亚硫酰苯基)亚甲基]-1H-茚-3-醋酸 | (Z)-5-氟-2-甲基-1-[4-(甲亚硫酰苯基)亚甲基]-1H-茚-3-醋酸 | (Z)-5-氟-2-甲基-1-[4-(甲亚硫酰苯基)亚甲基]-1H-茚-3-醋酸
-
英文别名
AFLODAC Imbaral Saldac {5-Fluoro-2-methyl-1-[4-(methylsulfinyl)benzylidene]-1H-inden-3-yl}acetic acid SULREUMA MFCD00599589 Sudac (Z)-2-(3-(4-(methylsulfinyl)benzylidene)-6-fluoro-2-methyl-3H-inden-1-yl)acetic acid Aclin ReuMyl SULINOL mobilin 1H-Indene-3-acetic acid, 5-fluoro-2-methyl-1-[[4-(methylsulfinyl)phenyl]methylene]- Clinoril,Aflodac,Sulreuma Sulindac MK-231 EINECS 253-819-2 (Z)-2-(5-Fluoro-2-methyl-1-(4-(methylsulfinyl)benzylidene)-1H-inden-3-yl)acetic acid (Z)-5-Fluoro-2-methyl-1-[p-(methylsulfinyl)benzylidene]indene-3-acetic acid -
常用名舒林酸
-
C A S号38194-50-2
物理性质
-
密度1.4±0.1 g/cm3
-
沸点581.6±50.0 °C at 760 mmHg
-
熔点182-185°C
-
化学式C20H17FO3S
-
结构式
-
闪点305.6±30.1 °C
-
分子量356.411
-
精确质量356.088257
-
P S A73.58000
-
外观形状黄色固体
-
储存条件
密封、阴凉、干燥保存
-
稳定性
-
水溶解性
-
形态黄色结晶
-
H L B值
-
粘度
-
PH值
作用/用途
Sulindac 是一种非甾体类抗炎剂,能够抑制 COX-2 的活性,同时可抑制 COX-2 的过表达。
制备方法
方法1:4-硝基邻苯二甲酸经氢化还原为4-氨基邻苯二甲酸,经Schiemann反应生成4-氟邻苯二甲酸,酯化为4-氟邻苯二甲酸二乙酯,和丙酸乙酯在钠作用下缩合环合,生成二氢茚,再和有机膦化合物反应,在3位引入乙酸甲酯,接着和对甲亚磺酰基苄基溴进行格氏反应,最后水解得舒林酸
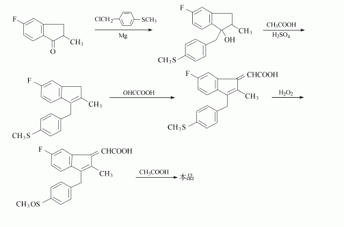
方法4;5-氟-2-甲基-1-氧代-2,3-二氢-1H-茚和对甲硫基苄基氯进行格氏反应,在1位引入对甲硫基苄基,然后在酸性中脱水,在1,2位形成双键,再和乙醛酸反应,在3位引入乙酸基,双氧水氧化,最后酸化使双键移位得到舒林酸。
安全提醒
MSDS
|
舒林酸MSDS英文版
|
原料简介
应用范围
毒性和生态
安全信息
| 符号 |
GHS06, GHS08 |
|---|---|
| 信号词 | Danger |
| 危害声明 | H301-H317-H334-H361 |
| 警示性声明 | Missing Phrase - N15.00950417-P261-P280-P284-P304 + P340-P342 + P311 |
| 个人防护装备 | Eyeshields;Faceshields;full-face particle respirator type N100 (US);Gloves;respirator cartridge type N100 (US);type P1 (EN143) respirator filter;type P3 (EN 143) respirator cartridges |
| 危害码 (欧洲) | Xn:Harmful; |
| 风险声明 (欧洲) | R22 |
| 危险品运输编码 | 3249 |
| RTECS号 | NK8226000 |
| 包装等级 | III |
| 危险类别 | 6.1(b) |
| 海关编码 | 2930909090 |
是否危险品
危险性
危险类别码
危险等级
触发危险方式
安全技术说明书
环境影响程度
包装与储运
相关供应商

搜索











